创维50V6E液晶电视(8A19机芯)电路原理图
                
                    
                    分类:电子电工
                    日期:
                    点击:0
                 
             
            
                        ) 
                        ) 
                        ) 
                        ) 
                        ) 
                        ) 
                        ) 
                        ) 
                        ) 
                        ) 
            
            5
4
3
2
1
D
D
C
C
B
B
A
A
5, +12V_NOR转
转
转
转 +0. 9V_VDDEE
(
(
(
( D C- D C价
价
价
价以
以
以
以 0 . 1 2 U S D  规
规
规
规以
以
以
以规
规
规
规 规
规
规
规
最
最
最
最 偏
偏
偏
偏 2 A  
 
 
 
 
2 00K-2MHZ   输
输
输
输 电
电
电
电
满
满
满
满电
电
电
电输
输
输
输输
输
输
输4V-16V  轻
轻
轻
轻轻
轻
轻
轻轻
轻
轻
轻轻
轻
轻
轻 
 
 
 优
优
优
优优
优
优
优)
)
)
)
考考 可
D C -DC两的 的两 两 .,输输更5 V 外
,最偏最轻不最最 过2 .5A
1 、
、
、
、+12 V_ N OR转
转
转
转 + 5V
(
(
(
( D C- D C价
价
价
价以
以
以
以 0 . 1 1 U S D  规
规
规
规以
以
以
以 规
规
规
规 规
规
规
规 最
最
最
最
偏
偏
偏
偏
3 A 
 
 
 500KHZ  输
输
输
输 电
电
电
电
满
满
满
满
电
电
电
电输
输
输
输输
输
输
输4.5V-16V  轻
轻
轻
轻轻
轻
轻
轻轻
轻
轻
轻轻
轻
轻
轻 
 
 
 优
优
优
优优
优
优
优)
)
)
)
L :Power off
H :Power on
需需实轻最实需 满 需需电 实
实PD原计, 满考考LDO两的的 两两
 
优优
 L DO价以 0. 1 8 6 4 R MB   SOT-223   规以 规规最偏1A
Vout=1.25x(1+(R2/R1))
R1=R1P22+R1P29R2=R1P30
以群会进进
以群会进进
考考 可
D C -DC两的 的两 两 .,输输更5 V 外
,最偏最轻不最最 过1 .5A
2、
、
、
、+12V_ NOR转
转
转
转 +1. 5V_ DDR
3
(
(
(
( D C- D C价
价
价
价以
以
以
以 0 . 0 6 U S D  规
规
规
规以
以
以
以规
规
规
规
规
规
规
规
最
最
最
最 偏
偏
偏
偏 2 A 
  500KHZ 输
输
输
输 电
电
电
电 满
满
满
满
电
电
电
电输
输
输
输输
输
输
输4.7V-16V 轻
轻
轻
轻轻
轻
轻
轻轻
轻
轻
轻轻
轻
轻
轻 
 
 
 优
优
优
优优
优
优
优)
)
)
)
3、
、
、
、+12 V_ N OR转
转
转
转 +0. 9V _ CPU
4、
、
、
、+12 V_ N OR转
转
转
转 +3. 3V_ S TB
10mA
150mA
Imax=0.4W/(3.3V-0.9V)=167mA
150ohm与1.2K已
已已 。 2015.5.29
v=0.8*{(270+150)/1200+1}=1.08V
1.533V
满 电 满 满
3.344v
1 2 0 1  : 以群
2 9 3 6  : 以群
v=0.894*{(270+0/1200+1}=1.095V
FB5
FB5
FB2
FB2
PWR_ON/OFF
PWR_ON/OFF
FB1
CPU_PWM
FB10
VDDEE_PWM
CPU_PWM
PWR_ON/OFF
VDDEE_PWM
DDR_STB
SW3
DDR_STB
SW3
SW1
EN1
EN1
SW1
FB1
SW2
EN2
EN2
SW2
FB10
PWR_ON/OFF
PWR_ON/OFF
EN1
+12V_NOR
+0.9V_VDDEE
+12V_NOR
+5V
+3.3V_STB
+3.3V_AO
+3.3V_STB
+3.3V_BD
+1.8V_AO
+3.3V_STB
+1.8V_AVDD
+3.3V_BD
+1.8V_IOVREF
+1.8V_AO
+0.9V_CPU
+0.9V_VDDEE
+3.3V_AFE
+3.3V_BD
+1.8V_EMMC
3V3
+1.8V_AFE
+1.5V_DDR3
+12V_NOR
+0.9V_CPU
+12V_NOR
+3.3V_STB
+12V_NOR
+0.9V_AVDD
+3.3V_BD
+3.3V_BD
+0.9V_COREAO
+3.3V_AO
+3.3V_AO
+3.3V_TUNER
+5V
+3.3V_AO
CPU_PWM
PWR_ON/OFF
VDDEE_PWM
DDR_STB
Title
Size
Document Number
Rev
Date:
Sheet
o f
C
1
1
Thursday, September 10, 2015
Title
Size
Document Number
Rev
Date:
Sheet
o f
C
1
1
Thursday, September 10, 2015
Title
Size
Document Number
Rev
Date:
Sheet
o f
C
1
1
Thursday, September 10, 2015
C2P0
100nF
U2P6
AS2936M5/TR-HF
VIN
1
GND
2
EN
3
NC4
4
VOUT
5
R4P10
1.8KΩ
R4P9
82KΩ
R0P13
22KΩ
R7P0
100KΩ
R0P8
10KΩ
C1P9
10uF
C1P126
4.7uF
C2P46
100nF
C1P120
100nF
C5P13
NC/1uF
C1P124
100nF
L0P8
10uH
R6P5
33KΩ
R1P37
33KΩ
R6P9
NC/0Ω
R6P17 10KΩ
R2P21
22Ω
R7P2
4.7KΩ
MP1470GJ-Z
U0P4
SW
2
GND
1
FB
4
IN
3
EN
5
BST
6
R1P29
200Ω
R0P15
27KΩ
FB36
60Ω/100MHz
C1P119
10uF
R6P15 10KΩ
L0P10
10uH
C523
100pF
U2P2
AS1117L/TR-HF
IN
3
OUT
2
ADJ
1
OUT
4
R2P20
10KΩ
C1P123
1uF
R5P10
100KΩ
R6P6
10KΩ
C5P5
10uF
C2P27
100nF
R7P7
4.7KΩ
C2P22
22uF
C1P81
22uF
C2P45
22uF
C2P47
10uF
R2P27
0Ω
C2P50
NC/22uF
R2P25
100KΩ
FB0P8
60Ω/100MHz
R6P14 100KΩ
R1P33
120Ω
C1P1141uF
R1P0
2.4KΩ
C2P2
100nF
MP1494DJ-LF-Z
U0P7
IN
2
AAM
1
BST
5
EN/SYNC
6
FB
8
SW
3
VCC
7
GND
4
R1P52
1.2KΩ
C4P13
100nF
C1P117
22uF
C3P10
100nF
R0P12
82KΩ
R0P10
100KΩ
C8P7
100nF
R1P38
1.8KΩ
C1P95
10uF
C1P94
100nF
C2P44
100nF
C1P93
4.7uF
C2P21
10uF
R6P10 100KΩ
C1P109
100nF
R0P7
1KΩ
R1P47
10KΩ
C2P39
10uF
C2P25
10uF
R1P40
1.2KΩ
Q0P5
KMBT3904
1
2
3
C1P116
10uF
C4P12
NC/22pF
MP1470GJ-Z
U0P10
SW
2
GND
1
FB
4
IN
3
EN
5
BST
6
C8P6
1uF
C553 100pF
Q0P4
AO3401A
1
2
3
C1P125
100nF
R1P32
68Ω
C2P26
100nF
R6P12
10KΩ
FB35
60Ω/100MHz
R2P0
0Ω
R1P30
120Ω
L2P1
2.3uH
C1P108
100nF
R221
10KΩ
R1P54
0Ω
U2P7
AS2936M5/TR-HF
VIN
1
GND
2
EN
3
NC4
4
VOUT
5
C8P9
10uF
C1P78
22uF
C1P77
100nF
C1P96
100nF
R2P19
10KΩ
R1P53
270Ω
R6P16
10KΩ
C5P8
1uF
R1P41
270Ω
R1P39
33KΩ
R1P43
10KΩ
C1P74
4.7uF
R7P8
4.7KΩ
C2P23
100nF
C8P5
100nF
C1P110
10uF
R0P16
10KΩ
R1P22
68Ω
R0P14
100KΩ
C1P1181uF
MP1470GJ-Z
U0P11
SW
2
GND
1
FB
4
IN
3
EN
5
BST
6
RS19
22KΩ
C2P24
100nF
C8P4
1uF
L0P3
2.3uH
C2P49
22uF
R1P35
200Ω
C1T51
100nF
Q0P3
KMBT3904
1
2
3
C1P122
4.7uF
DW11
ESD
C1P111
10uF
C2P1
10uF
C2P48
100nF
R2P22
82KΩ
Q0P2
AO3401A
1
2
3
R3P11
22Ω
R0P17
30KΩ
R6P13 10KΩ
R7P5
4.7KΩ
U2P3
AS1117L/TR-HF
IN
3
OUT
2
ADJ
1
OUT
4
R1P42
0Ω
U2P5
AS1117L-3.3/TR-HF
IN
3
OUT
2
ADJ
1
OUT
4
FB0P11
60Ω/100MHz
C1P121
100nF
FB0P10
60Ω/100MHz
R2P28 22Ω
R7P4
100KΩ
C2P3
22uF
C8P10
NC/10uF
R5P11
100KΩ
R2P24
82KΩ
C1T49
100nF
R1P36
0Ω
C5P11
1uF
C5P10
1uF
C1P112
10uF
R7P3
4.7KΩ
R0P9
6.8KΩ
C5P12
1uF
MP1495DJ-LF-Z
U0P9
IN
2
AAM
1
BST
5
EN/SYNC
6
FB
8
SW
3
VCC
7
GND
4
C1T48
NC/10uF
C2P42
100nF
C5P7
10uF
L0P9
2.3uH
C8P8
1uF
R3P12
22Ω
R1P5
10KΩ
R6P11 10KΩ
R5P9
10KΩ
R0P11
51KΩ
R6P8
NC/0Ω
C2P43
10uF
R2P26
0Ω
C1P75
100nF
DW12
ESD
C5P6
100nF
C1T50
10uF
C4P11
10uF
R3P10
22Ω
C2P40
22uF
C4P10
100nF
R7P1
4.7KΩ
C1P113
22uF
RD94
100KΩ
C1P76
10uF
RS20
0Ω
C1P115
10uF
FB0P3
60Ω/100MHz
FB0P9
60Ω/100MHz
R5P12
51KΩ
DW10
ESD
C1P7
1uF
5
4
3
2
1
D
D
C
C
B
B
A
A
L :Power off
H :Power on
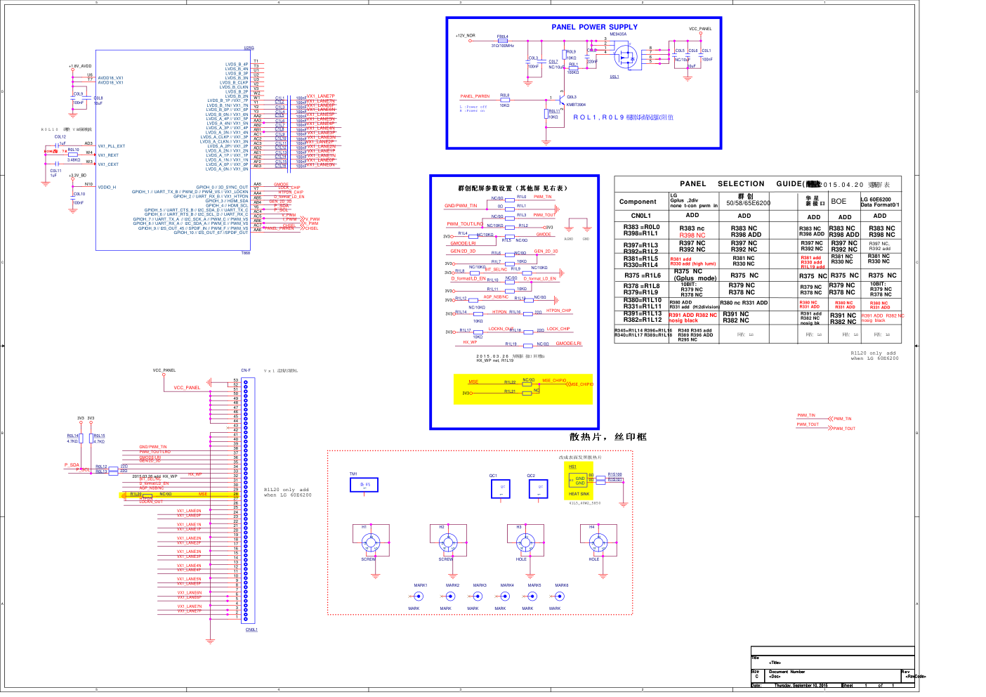
R O L 1 , R 0 L 9 需需需需情情优根的值
PANEL POWER SUPPLY
50/58/65E6200
LG 60E6200
Data Format0/1
ADD
R383 NC
R398 NC
R397 NC,
R392 add
R381 NC
R330 NC
R375  NC
10BIT:
R379 NC
R378 NC 
R391 ADD R382 NC 
nosig black
华
华
华
华 华
华
华
华
更
更
更
更 两
两
两
两 接
接
接
接
ADD
R380 NC
R331 ADD
R383 NC
R398 ADD
R381 add  
R330 add 
R1L19 add
R379 NC 
R378 NC
R397 NC
R392 NC
R375  NC
R380 NC
R331 ADD
R380 NC
R331 ADD
R391 add
R382 NC 
nosig bk
2 0 1 5 . 0 4 . 2 0  更更更屏 以
R398 NC
R381 add 
R330 add (high lumi)
PANEL 
SELECTION 
GUIDE(更
更
更
更屏
屏
屏
屏满
满
满
满的
的
的
的以
以
以
以)
LG
Gplus ,2div
none t-con pwm in
群
群
群
群 群
群
群
群
Component
CN0L1
ADD
ADD
R383 =R0L0
R398=R1L1
R383 nc
R383 NC
R398 ADD
R397=R1L3
R392=R1L2
R397 NC
R392 NC
R397 NC
R392 NC
R381=R1L5
R330=R1L4 
R381 NC
R330 NC
R375 =R1L6
R375  NC
(Gplus mode)
R375  NC
R378 =R1L8
R379=R1L9
10BIT:
R379 NC
R378 NC 
R379 NC 
R378 NC
R380=R1L10 
R331=R1L11
R380 ADD
R331 add (H:2division)R380 nc R331 ADD
R391=R1L13
R382=R1L12
R391 ADD R382 NC 
nosig black
R391 NC 
R382 NC
R345=R1L14 R396=R1L16 
R340=R1L17 R389=R1L18
R381 NC
R330 NC
BOE
R383 NC
R398 ADD
R397 NC
R392 NC
R375  NC
R379 NC 
R378 NC
R391 NC 
R382 NC
ADD
2015.03.26 add HX_WP
V x 1 走走走走走。
散
散
散
散散
散
散
散靠
靠
靠
靠,
,
,
,丝
丝
丝
丝丝
丝
丝
丝丝
丝
丝
丝
R340 R345 add
R389 R396 ADD
R295 NC
的左
LG
的左
LG
的左
LG
的左
LG
R1L20 only add 
when LG 60E6200
R1L20 only add 
when LG 60E6200
41L5_40W2_5H50
AGND
GND
2 0 1 5 . 0 3 . 2 6  更华华更 两接 屏 会会:
HX_WP net, R1L19
群
群
群
群群
群
群
群更
更
更
更屏
屏
屏
屏以
以
以
以群
群
群
群原
原
原
原 靠
靠
靠
靠 (
(
(
( 其
其
其
其 其
其
其
其 屏
屏
屏
屏 其
其
其
其 左
左
左
左 以
以
以
以 )
)
)
)
R 0 L 1 0  进进 V BO驱驱满恒
网网以面电改散散靠
BOM 网
网
网
网2.7K
PANEL_PWREN
HTPDN
VX1_LANE7P
VX1_LANE7N
VX1_LANE6P
VX1_LANE6N
VX1_LANE5P
VX1_LANE5N
VX1_LANE4P
VX1_LANE4N
VX1_LANE3P
VX1_LANE3N
VX1_LANE2P
VX1_LANE2N
VX1_LANE0P
VX1_LANE0N
VX1_LANE1P
VX1_LANE1N
LOCKN_OUT
VCC_PANEL
PWM_TOUT/LRO
GMODE/LRI
GEN/2D_3D
BIT_SEL/NC
D_format/LD_EN
AGP_NSB/NC
GND/PWM_TIN
P_SDA
P_SCL
HX_WP
MSE
VX1_LANE0N
VX1_LANE1N
VX1_LANE1P
VX1_LANE0P
VX1_LANE3P
VX1_LANE3N
VX1_LANE2P
VX1_LANE2N
VX1_LANE5P
VX1_LANE5N
VX1_LANE4P
VX1_LANE4N
VX1_LANE7P
VX1_LANE7N
VX1_LANE6P
VX1_LANE6N
V_PWM
I_PWM
CHSEL
PANEL_PWREN
P_SDA
P_SCL
GEN_2D_3D
D_format_LD_EN
HTPDN_CHIP
LOCK_CHIP
GMODE
PWM_TIN
PWM_TOUT
HX_WP
GMODE/LRI
PWM_TOUT
PWM_TOUT/LRO
GMODE
GEN/2D_3D
BIT_SEL/NC
D_format/LD_EN
AGP_NSB/NC
GMODE/LRI
PWM_TIN
GND/PWM_TIN
LOCKN_OUT
LOCK_CHIP
HTPDN
HTPDN_CHIP
D_format_LD_EN
GEN_2D_3D
MSE
MSE_CHIPIO
VCC_PANEL
+12V_NOR
VCC_PANEL
3V3
3V3
+1.8V_AVDD
+3.3V_BD
3V3
3V3
3V3
3V3
3V3
3V3
3V3
3V3
3V3
V_PWM
I_PWM
CHSEL
PWM_TOUT
PWM_TIN
MSE_CHIPIO
Title
Size
Document Number
Rev
Date:
Sheet
o f
C
1
1
Thursday, September 10, 2015
Title
Size
Document Number
Rev
Date:
Sheet
o f
C
1
1
Thursday, September 10, 2015
Title
Size
Document Number
Rev
Date:
Sheet
o f
C
1
1
Thursday, September 10, 2015
R0L14
4.7KΩ
H1
SCREW
1
2
3
4
5
R1L2
NC/10KΩ
R1L7
10KΩ
C1L15
100nF
C1L5
100nF
R0L9
10KΩ
R1L21
NC
C0L2
220nF
R1L4
NC/10KΩ
R1L1
0Ω
C1L12
100nF
R1L18
22Ω
R1S100
0Ω
C1L2
100nF
R0L11
10KΩ
R1L22
NC/0Ω
C0L12
1uF
CN-F
CN0L1
1
2
3
4
5
6
7
8
9
10
11
12
13
14
15
16
17
18
19
20
21
22
23
24
25
26
27
28
29
30
31
32
33
34
35
36
37
38
39
40
41
42
43
44
45
46
47
48
49
50
51
52
53
R1L13
NC/0Ω
MARK4
MARK
R1S101
0Ω
C1L7
100nF
C1L14
100nF
R1L12
NC/10KΩ
C1L6
100nF
R0L15
4.7KΩ
C0L7
NC/10uF
G
S
D
U0L1
ME9435A
5
4
1
6
7
8
3
2
R0L1
100KΩ
MARK5
MARK
R1L19
NC/0Ω
R1L17
10KΩ
R1L11
10KΩ
C0L11
1uF
C1L8
100nF
H2
SCREW
1
2
3
4
5
C1L16
100nF
R1L14
10KΩ
C1L3
100nF
R1L20
NC/0Ω
MARK6
MARK
Q0L3
KMBT3904
1
2
3
C0L5
NC/10uF
R0L12
22Ω
R1L9
NC/10KΩ
C0L8
10uF
H4
HOLE
1
2
3
4
5
R1L8
NC/10KΩ
R0L10
3.48KΩ
C1L9
100nF
R1L16
22Ω
MARK3
MARK
T868
U25G
LVDS_A_0N // VX1_0N
AE3
LVDS_A_0P // VX1_0P
AF2
LVDS_B_3N
U2
LVDS_B_3P
U1
LVDS_B_4N
T3
LVDS_B_4P
T1
LVDS_A_1N // VX1_1N
AE2
LVDS_A_1P // VX1_1P
AE1
LVDS_A_2N // VX1_2N
AD2
LVDS_A_2P// VX1_2P
AC3
LVDS_A_CLKN // VX1_3N
AC2
LVDS_A_CLKP // VX1_3P
AC1
LVDS_A_3N // VX1_4N
AB1
LVDS_A_3P // VX1_4P
AB2
LVDS_A_4N// VX1_5N
AA3
LVDS_A_4P // VX1_5P
AA2
LVDS_B_0N // VX1_6N
Y3
LVDS_B_0P // VX1_6P
Y2
LVDS_B_1N// VX1_7N
Y1
LVDS_B_1P //VX1_7P
W1
LVDS_B_2N
W2
LVDS_B_2P
V3
LVDS_B_CLKN
V2
LVDS_B_CLKP
U3
VX1_CEXT
W3
VX1_REXT
W4
AVDD18_VX1
T7
AVDD18_VX1
U6
GPIOH_0 // 3D_SYNC_OUT
AA5
GPIOH_1 // UART_TX_B // PWM_D // PWM_VS // VX1_LOCKN
Y7
GPIOH_2 // UART_RX_B // VX1_HTPDN
AA4
GPIOH_3 // HDMI_SDA
AB5
GPIOH_4 // HDMI_SCL
AB4
GPIOH_5 // UART_CTS_B // I2C_SDA_D // UART_TX_C
Y6
GPIOH_6 // UART_RTS_B // I2C_SCL_D // UART_RX_C
AC4
GPIOH_7 // UART_TX_A  // I2C_SCK_A // PWM_C // PWM_VS
AC5
GPIOH_8 // UART_RX_A //  I2C_SDA_A // PWM_E // PWM_VS
AB6
GPIOH_9 // I2S_OUT_45 // SPDIF_IN // PWM_F // PWM_VS
AC7
GPIOH_10 // I2S_OUT_67 //SPDIF_OUT
AA6
VDDIO_H
N10
VX1_PLL_EXT
AD3
FB0L4
31Ω/100MHz
H3
HOLE
1
2
3
4
5
C1L4
100nF
C0L6
10uF
R0L13
22Ω
R1L10
NC/0Ω
C0L9
100nF
R0L8
10KΩ
条 码
TM1
1
R1L6
NC/0Ω
C1L11
100nF
MARK1
MARK
R1L3
NC/0Ω
QC
QC1
1
C1L13
100nF
C1L1
100nF
R1L5
NC/0Ω
C0L1
100nF
C0L3
100nF
HS
HS1
HEAT SINK
GND
GND
R1L0
NC/0Ω
QC
QC2
1
MARK2
MARK
C1L10
100nF
C0L10
100nF
5
4
3
2
1
D
D
C
C
B
B
A
A
AUDIO  OUT  OP2
Close to MST IC
with wide trace
AV1-IN
靠靠靠靠靠
AV-OUT
B 面
CB
filter
内靠内内内电器
此此内内满分即此需此靠信 满情情优
器 分值
A 面
P C B  
L a y o u t 注注: C 9 T 2 / 1uF必必靠 靠靠靠修12以
75 ohm Line
DIF IN&OUT
AG C靠靠  
M X L 6 6 1 功靠
AG C靠靠  
靠靠靠功靠
靠靠
t u n er靠靠功靠
1 2 0 6 请请
LINE_OUT_R
LINE_OUT_L
EPHONE_MUTE
AV_AUR-OUT
AV_AUL-OUT
EPHONE_MUTE
AUDIO_OUT_MUTE
AV1_AUR
AV1_AUL
AV1_AUR
AV1
AV1_AUL
AV1_AUR_IN
AV1_AUL_IN
CVBS1_IN
CVBS1_INN
AV1
DIFN
VDAC1_OUT
CVBS1_IN
DIFP
AV_OUT
VDAC1_OUT
AV_AUL-OUT
AV_AUR-OUT
AV_OUT
T_SCL
T_SDA
I2C_DATA2
I2C_CLK2
AV_OUT
AV_AUL-OUT
AV_AUR-OUT
ADC_IF_AGC
TS_RESET
LINE_OUT_R
LINE_OUT_L
AUDIO_OUT_MUTE
AV1_AUL_IN
AV1_AUR_IN
I2C_DATA2
I2C_CLK2
CVBS1_IN
T_IF+
T_IF-
T_SDA
RF_IN_M
T_SCL
ADC_IF_AGC
TS_RESET
DIFN
DIFP
T_IF-
T_IF+
CVBS1_INN
+3.3V_BD
+3.3V_BD
+1.8V_AFE
+3.3V_BD
+3.3V_TUNER
+3.3V_TUNER
+1.8V_TUNER
+3.3V_TUNER
+1.8V_TUNER
+3.3V_TUNER
+3.3V_TUNER
+1.8V_TUNER
+3.3V_TUNER
+3.3V_TUNER
ADC_IF_AGC
TS_RESET
LINE_OUT_R
LINE_OUT_L
AUDIO_OUT_MUTE
I2C_DATA2
I2C_CLK2
AV1_AUL_IN
AV1_AUR_IN
CVBS1_IN
CVBS1_INN
Title
Size
Document Number
Rev
Date:
Sheet
o f
C
1
1
Thursday, September 10, 2015
Title
Size
Document Number
Rev
Date:
Sheet
o f
C
1
1
Thursday, September 10, 2015
Title
Size
Document Number
Rev
Date:
Sheet
o f
C
1
1
Thursday, September 10, 2015
C154
100nF
C7T5
2.2nF
R1J50
20KΩ
C1V2
10uF
C5T0
NC/33pF
C2T5
1nF
R3V0
27KΩ
R2V11
75Ω
C7T7
4.7nF
C5T2
10nF
R2T1
NC/0Ω
L1T1
330nH
C155
4.7uF
C7T2
47pF
R1J42
75Ω
C6T7
470pF
N1
N2
L2T1
75Ω/45~870MHz
4
3
2
1
C3V3
470pF
R2V5
NC/10KΩ
C7T9
4.7nF
C161
100nF
R2V10
0Ω
MXL661
U0T5
VDD_3p3
1
LNA_INP
2
LNA_INN
3
VDD_1p8
4
AGC_2/GPO_3
5
AGC_1
6
GND_XTAL
21
XTAL_X
20
XTAL_N
19
CLK_OUT
18
SDA
17
SCL
16
VDD_IO
15
AS
24
RESET_N
23
VDD_1p8
22
IF_OUTPUT_2/GPO_1
7
IF_OUTPUT_2/GPO_2
8
IF_OUTP1
9
IF_OUTN1
10
VDD_3p3
11
VDD_1p8
12
VDD_1p2
13
GND_DIG
14
EPAD
25
C7T0
100nF
FB0T1
NC/60Ω/100MHz
C2V10
NC/47pF
R2T3
NC/0Ω
C8T9
100nF
C3V2
4.7uF
C1V0
1uF
C163
1uF
JA0T2
Shield
1
2
3
4
C5T8
NC/33pF
R149
10KΩ
C2V12
220pF
AV1_AUL
C9T5
100nF
AV1_GND
C2T0
NC/47pF
R1A1
100Ω
+
CE3J2
220uF
C3T10
4.7nF
R146
0Ω
R1T8
100Ω
C162
100nF
R3T4
4.7KΩ
L2V1 2.2uH
C8T0
4.7nF
C3V1
47pF
DRV632PWR
U0V1
+INR
1
-INR
2
OUTR
3
GND
4
/MUTE
5
VSS
6
CN
7
CP
8
VDD
9
GND
10
UVP
11
OUTL
12
-INL
13
+INL
14
R1T5
470KΩ
C2V7
100nF
C7T6
4.7nF
R2V6
4.7KΩ
R3T14
100Ω
AV_OUT_GND
C4J1
2.2uF
AV_OUT
AV1
C2V8
470pF
AV_L_OUT
WHITE
YELLOW
RED
JA1J5
RCA SOCKET
1
2
3
4
5
6
L1T7
NC/33nH
C2V9
4.7uF
R1T9
1KΩ
C7T1
47pF
R3T3
4.7KΩ
R1J52
10KΩ
RV6J14
NC/ESD
R2V7
27KΩ
C7T8
4.7nF
RV6J7
NC/ESD
C3V5
10uF
C158
1uF
L2T7
120nH
C3J5 47nF
RV6J13
NC/ESD
C9T0
100nF
R1T14
NC/4.7KΩ
C9T3
4.7nF
CVBS2_IN
R1A30
NC/0Ω
X0T2
16MHz
1
2
C8T1
4.7nF
C164
100nF
R1J48
10KΩ
C3V0
47pF
R3T6
100Ω
C2T1
NC/47pF
R1A2
4.7KΩ
RV6J9
NC/ESD
R142
560Ω
R2V4
NC/10KΩ
R2T4
1KΩ
C5T1
1uF
C3T0
10pF
RV2V0
NC/ESD
JA0T4
RF SOCKET
1
1
2
2
3
3
4
4
RV6J2
NC/ESD
C3T8
4.7nF
R3T5
100Ω
FB8
100Ω/100MHz
L1T6
NC/33nH
R1T4
0Ω
R143
37.4Ω
L2T6
120nH
AV1_AUR
C3J7
33pF
WHITE
YELLOW
RED
JA1J6
RCA SOCKET
1
2
3
4
5
6
C167
100nF
R1T16
0Ω
C3J13
33pF
C3T7
4.7nF
R1T15
NC/0Ω
R3V1
4.7KΩ
R1T10
NC/0Ω
L2T4
2.2nH
C3T9
4.7nF
FB0T3
1KΩ/100MHz
T868
U25E
DADC_REF_ADC_DPLL
E20
DADC_VCOM
E22
DADC_VIN
A26
DADC_VIP
B25
DADC_VREFN
F20
DADC_VREFP
G20
CADC_VCOM
C24
CADC_VREFN
F21
CADC_VREFP
E21
AFE_CVBS0
D22
AFE_CVBS1
C25
AFE_CVBS2
D23
AFE_VREF
B26
AVDD18_V
J20
VDAC_COMP
F19
VDAC_RSET
E19
VDAC_VREF
D19
VDAC_IOUT
D20
R1A3
4.7KΩ
LV1
1.8uH
C177
100nF
C172
100nF
C171
1uF
C2T9
NC/5.6pF
C3V4
10uF
D0T2
BAV99
1
2
3
C2V11
220pF
Q1A2
KMBT3904
1
2
3
C9T4
4.7nF
C7T3
100nF
AV_R_OUT
C4J3
2.2uF
C2T6 1nF
C6T4
100nF
R2V8
27KΩ
R3T15
100Ω
R2V9
27KΩ
R1J46
20KΩ
C1V1
1uF
C9T2
1uF
R1T7
0Ω
R156
0Ω
5
4
3
2
1
D
D
C
C
B
B
A
A
SEPARATE GROUND
Place On Top Layer
1 、 E S D器需即器器优器,目 目 原 原 原一 外目:
       4100-L18002-T0,18 V/ 2 PF,请 请 0402。
2 、与 USB2 .0向分 外 , US B 3 D- 和USB3D+
两两
       即可两两 可 USB2. 0两接两2、
3 以。
3、R1J 84, R1J 88 更 USB2. 0 和 USB3.0 共 外。
USB3.0-1
USB2.0-1
1、
卧模 USB2. 0: 6100- 089110- 0 410
2 、 E S D器需即器器优器,目 目 原 原 原一 外目:
      4100-L18002-T0,18 V/ 2 PF,请 请 0402。
3 、 C5 J 6,
C5 J7目使一在外外。
4 、 R1 J 7 4,
R1 J 78使一外 外两目0欧。
不 不
H:Enable
U S B 过
过
过
过恒
恒
恒
恒过
过
过
过过
过
过
过满
满
满
满电
电
电
电
R 2 0 9  R 2 1 0 靠靠靠靠功靠
TXVP
RXVN
REGOUT2
RXVP
RXVP
TXVN
RXVN
REGOUT1
RXVN
RXVP
TXVP
TXVN
RXVP1
RXVN1
TXVN1
TXVP1
RMII_MDC
RMII_MDIO
RMII_CRS_DV
RMII_RXERR
RMII_RXD1
RMII_RXD0
RMII_TXD0
RMII_TXD1
RMII_TXEN
iInK
I2S_OUT
RXVN1
LINE_OUT_L
I2S_LRCLK
ACT
RXVP1
I2S_SCLK
TXVP1
LINE_OUT_R
MCLK
AV1_AUR_IN
AV1_AUL_IN
I2S_IN
TXVN1
I2C_DATA1
RMII_CLK50
SARADC_OUT
OSC_BUFOUT
I2C_CLK1
USB3_TXP
USB3_RXM
USB3_TXM
USB3_RXP
USB3_DP
USB3_DM
USB2_DM0
USB2_DP0
USB2_DM0
USB3_TXP
USB3_TXM
USB3_RXP
USB3_RXM
USB2_DP0
USB3_DM
USB3_DP
USB_WIFI_DM
USB_WIFI_DP
USB_BT_DM
USB_BT_DP
AV1_AUR_IN
AV1_AUL_IN
USB_BT_DM
USB_BT_DP
USB_WIFI_DM
USB_WIFI_DP
LINE_OUT_L
LINE_OUT_R
TXVN
TXVP
+3.3V_BD
Audio5V
+3.3V_RMII
ETH_2.0V
+3.3V_RMII
Audio5V
+3.3V_RMII
+5V_USB
+5V_USB
+5V_USB
+3.3V_AFE
+1.8V_AVDD
+3.3V_RMII
+3.3V_RMII
+5V
+3.3V_AFE
+5V_USB
+0.9V_AVDD
+0.9V_AVDD
ETH_2.0V
+3.3V_BD
+5V
+5V
+5V_USB
+5V
+5V_USB
RMII_MDIO
RMII_MDC
RMII_RXD1
RMII_RXD0
RMII_RXERR
RMII_CRS_DV
RMII_TXD1
RMII_TXD0
RMII_TXEN
RMII_CLK50
LINE_OUT_L
LINE_OUT_R
AV1_AUL_IN
AV1_AUR_IN
I2S_OUT
I2S_LRCLK
I2S_SCLK
MCLK
OSC_BUFOUT
SARADC_OUT
I2C_DATA1
I2C_CLK1
I2S_IN
USB_BT_DM
USB_BT_DP
USB_WIFI_DM
USB_WIFI_DP
AV1_AUL_IN
AV1_AUR_IN
USB_BT_DM
USB_BT_DP
USB_WIFI_DM
USB_WIFI_DP
LINE_OUT_L
LINE_OUT_R
Title
Size
Document Number
Rev
Date:
Sheet
o f
C
1
1
Thursday, September 10, 2015
Title
Size
Document Number
Rev
Date:
Sheet
o f
C
1
1
Thursday, September 10, 2015
Title
Size
Document Number
Rev
Date:
Sheet
o f
C
1
1
Thursday, September 10, 2015
R1N4
56Ω
C260
10uF
R0N2
NC/4.7KΩ
USB_DP1
C3J10
1uF
R213
1KΩ
JA5J0
NETWORK SOCKET
TX+
1
TX-
2
RX+
3
4
4
5
5
RX-
6
7
7
8
8
GND
9
GND
10
GND
11
GND
12
C1N6
1nF
FB0N5 NC/100Ω/100MHz
X2
25MHz
1
2
3
AV2_AUR_IN
R0N18
22Ω
+5V_USB1
RV7J2
ESD
R215
200Ω
FB0N2
60Ω/100MHz
U0J3
AP1621A
VOUT
1
GND
2
FLG
3
EN/EN
4
VIN
5
R1J94
0Ω
DW4
ESD
R1J74
2.2Ω
C0N29
10uF
R1N12
75Ω
C1N4
1nF
U2P4
AS1117L/TR-HF
IN
3
OUT
2
ADJ
1
OUT
4
RV8J4
ESD
C259
100nF
R0N12
22Ω
R0N11
22Ω
R214
200Ω
C0N27 4.7uF
C1N8
100nF
C1P128
100nF
R0N16
22Ω
R1N14
NC/0Ω
R3J12
24KΩ
C1P129
4.7uF
+5V_USB5
TD
RD
TX
RX
TN0J1
TRANSFORMER
1
2
3
4
5
6
7
8
9
10
11
12
13
14
15
16
R0N24
1.8KΩ
R212
200Ω
DW5
ESD
C1N7
1nF
R0N19
22Ω
C0N25
4.7uF
R2J108
2.2Ω
R1N11
75Ω
C5J7
NC/5pF
R1N1
56Ω
R1N5
5.1Ω
C7J2
100nF
R1N6
5.1Ω
C256
10uF
R0N6
22Ω
link
C1N5 100nF
C0N3
NC/10pF
C0N7
22pF
R1P49
120Ω
R0N17
22Ω
RV4
NC/ESD
R218
200Ω
R0N4
22Ω
R211
1KΩ
FB0N1
60Ω/100MHz
C1N3
1nF
C268
10uF
FB0N4 NC/100Ω/100MHz
DW6
ESD
R1N13
75Ω
C1P130
100nF
R0N9
100Ω
R0N7
1.5KΩ
U10
AML/PMU4
RXD1
1
RXD0
2
RXEN
3
MDIO
4
MDC
5
DIDD18
6
REFCLK
7
TXEN
8
TXD0
9
TXD1
10
SDA
11
SCL
12
I2SIN
13
I2SOUT
14
LRCLK
15
BCLK
16
MCLK
17
OSCINN
18
OSCINP
19
DVDD33
20
RXN
21
RXP
22
TXN
23
TXP
24
ETHACT
25
ETHLIN
26
ATP
27
EXRES
28
REFC
29
ETHVDD
30
VSYS5
31
AVDD18
32
LOLN
33
LOLP
34
LORP
35
LORN
36
REFN
37
REFP
38
VMID
39
AIR4
40
AIR3
41
AIR2
42
AIR1
43
AIL1
44
AIL2
45
AIL3
46
AIL4
47
IRQ
48
EGND
49
R2J107
2.2Ω
C1N2
1nF
AV2_AUL_IN
C5J2
100nF
T868
U25F
AVDD09_USB3
L16
AVDD18_USB
H15
AVDD33_USB2
M14
AVDD33_USB3
K15
USB30_DM
A11
USB30_DP
B11
USB30_RX_M
C9
USB30_RX_P
B9
USB30_TX_M
B10
USB30_TX_P
A10
USB30_TXRTUNE
F14
USB30_VBUS
E14
USBA_DM
B8
USBA_DP
A8
USBA_ID
D13
USBA_TXRTUNE
F13
USBA_VBUS
E13
USBB_DM
AF5
USBB_DP
AE5
USBB_TXRTUNE
AD4
USBB_VBUS
Y5
USBC_DM
AE4
USBC_DP
AF4
USBC_TXRTUNE
Y4
USBC_VBUS
W5
R1N7
5.1Ω
R1N2
56Ω
R0N8
22Ω
R0N14
22Ω
R0N15
22Ω
C0N5
10pF
C5J10
100nF
R0N13
22Ω
TX+
C0N30
2.2uF
R1J90
0Ω
C1N1
1nF
C1N9
100nF
R1P51
200Ω
JA2J2
USB SOCKET
VBUS
1
D-
2
D+
3
GND
4
SHELL
5
SHELL
6
100M
R0N10
10Ω
RV7
NC/ESD
DW3
ESD
DW7
ESD
C0N34
10uF
FB39
NC/100Ω/100MHz
C0N4
NC/10pF
RV7J1
ESD
FB17
100Ω/100MHz
TX-
R1N8
5.1Ω
C255
100nF
C5J8
10uF
+
CE3J1
220uF
C0N36
NC/10pF
RV6
NC/ESD
C0N2
4.7uF
C0N33
100nF
RV8J3
ESD
C3J12
100nF
C267
100nF
R1J78
2.2Ω
RX+
R0N1
NC/22Ω
R1N3
56Ω
C0N28
100nF
C0N35
100nF
R0N5
22Ω
FB16
100Ω/100MHz
C3J11
100nF
R1N9
0Ω
C5J6
NC/5pF
USB_GND1
C7J3
100nF
R0N21 NC/0Ω
C0N26
1uF
C0N32
1uF
C0N31
1uF
FB0N3
NC/100Ω/100MHz
R0N3
22Ω
U11
CS0809V
1
1
2
2
3
3
4
4
5
5
6
6
R3J10
100KΩ
R0N23
100KΩ
R3J11
47KΩ
USBID
R1P48
0Ω
C0N1
1nF
C0N6
22pF
C5J9
10uF
JA2J6
USB3.0 SOCKET
VBUS
1
D-
2
D+
3
GND
4
SSRX-
5
SSRX+
6
GND_DRAIN
7
SSTX-
8
SSTX+
9
GND
10
GND
11
RX-
R0N20
0Ω
R2J109
4.7KΩ
USB_DN1
R1N10
75Ω
RV8
NC/ESD
R0N22 NC/0Ω
5
4
3
2
1
D
D
C
C
B
B
A
A
to AMP and PHY and EEP
RMII_CLK50
SD-CMD
SD-D0
SD-D1
SD-CLK
SD-D2
SD-D3
SD-IN
CTR_WIFI_OUT
RMII_MDC
RMII_MDIO
RMII_CRS_DV
RMII_RXERR
RMII_RXD1
RMII_RXD0
RMII_TXD0
RMII_TXD1
RMII_TXEN
I2S_OUT
I2S_LRCLK
I2S_SCLK
I2S_MCLK
I2S_IN
I2C_DATA1
I2C_CLK1
I2C_DATA1_EEP
I2C_CLK1_EEP
SYS_EEP_WP
BLK_ON
AMP_RST
CPU_PWM
BLK_PWM
TS_RESET
AMP_MUTE
CTR_BT_OUT
MSE_CHIPIO
+3.3V_BD
+3.3V_BD
+3.3V_BD
+3.3V_BD
+0.9V_VDDEE
+0.9V_VDDEE
+0.9V_CPU
+0.9V_CPU
+3.3V_BD
+3.3V_BD
CTR_WIFI_OUT
CPU_PWM
RMII_MDIO
RMII_MDC
RMII_RXD1
RMII_RXD0
RMII_RXERR
RMII_CRS_DV
RMII_TXD1
RMII_TXD0
RMII_TXEN
RMII_CLK50
I2S_LRCLK
I2S_SCLK
I2S_MCLK
I2S_IN
I2S_OUT
SD-D1
SD-D0
SD-CLK
SD-CMD
SD-D3
SD-D2
I2C_DATA1_EEP
I2C_CLK1_EEP
SD-IN
I2C_DATA1
I2C_CLK1
SYS_EEP_WP
BLK_PWM
BLK_ON
AMP_RST
TS_RESET
AMP_MUTE
CTR_BT_OUT
MSE_CHIPIO
Title
Size
Document Number
Rev
Date:
Sheet
o f
B
1
1
Thursday, September 10, 2015
Title
Size
Document Number
Rev
Date:
Sheet
o f
B
1
1
Thursday, September 10, 2015
Title
Size
Document Number
Rev
Date:
Sheet
o f
B
1
1
Thursday, September 10, 2015
C541
10uF
C538
100nF
C535
100nF
C540
10uF
C533
100nF
C539
100nF
C527
100nF
R2M22
4.7KΩ
T868
U25B
CARD_0 // SD_D1_B // SDXC_D1_B // JTAG_TDI
A2
CARD_1 // SD_D0_B // SDXC_D0_B // JTAG_TDO
B2
CARD_2 // SD_CLK_B // SDXC_CLK_B // JTAG_CLK
B3
CARD_3 // SD_CMD_B // SDXC_CMD_B // JTAG_TMS
C3
CARD_4 // SD_D3_B // SDXC_D3_B // UART_TX_AO_A
C4
CARD_5 // SD_D2_B // SDXC_D2_B // UART_RX_AO_A
D4
CARD_6
E5
CARD_7
D5
CARD_8
E6
GPIOX_13 // LCD_G5 // DVIN_G5 // ENC_13 // UART_RX_A // TSIN_D1_B
J2
GPIOX_14 // LCD_G6 // DVIN_G6 // END_14 // UART_CTS_A // TSIN_D2_B
J3
GPIOX_15 // LCD_G7 // DVIN_G7 // ENC_15 // UART_RTS_A  // TSIN_D3_B
K1
GPIOX_16 // LCD_B0 // TCON_CPV // DVIN_B0 // ENC_16 (ENET_0) // TSIN_D4_B // DVP_D0
K2
GPIOX_17 // LCD_B1 //  DVIN_B1 // ENC_17 (ENET_1) // TSIN_D5_B // DVP_D1
K3
GPIOX_18 // LCD_B2 // DVIN_B2 // TSIN_D6_B // DVP_D2
L1
GPIOX_19 // LCD_B3 // DVIN_B3  // TSIN_D7_B // DVP_D3
L2
GPIOX_20 // LCD_B4 // DVIN_B4 // TSIN_CLK_B // I2S_AM_CLK // I2S_LR_CLK_IN//UART_CTS_C // DVP_D4
L3
GPIOX_21 // LCD_B5 // DVIN_B5 // TSIN_SOP_B // I2S_LR_CLK // I2S_LR_CLK_IN //UART_RTS_C // DVP_D5
L4
GPIOX_22 // LCD_B6 // DVIN_B6 // TSIN_D_VALID_B // I2S_AO_CLK // I2S_AO_CLK_IN // DVP_D6
L5
GPIOX_23 // LCD_B7 // DVIN_B7 // TSIN_FAIL_B // I2S_OUT_01 // DVP_D7
M3
GPIOX_24 // LCD_VS // TCON_STV1 // SPDIF_OUT // I2S_OUT_23 // DVIN_VS // ISO7816_DET
M5
GPIOX_25 // LCD_HS // TCON_STH1  // SPDIF_IN // I2S_IN_01 // DVIN_HS // ISO7816_RESET
M6
GPIOX_26 // TCON_CPH1 // DVIN_CLK // PWM_C // PWM_VS // ISO7816_CLK
M2
GPIOX_27 //TCON_OEH1// LCD_DE // TCON_VCOM // DVIN_DE // ISO7816_DATA
N6
GPIOX_0 // SD_D0_A // SDXC_D0_A // I2C_SDA_C // UART_TX_C // LCD_R0 // TCON_OEV1 // DVIN_R0 // ENC_0 // TSOUT_FAIL
F2
GPIOX_1 // SD_D1_A // SDXC_D1_A // I2C_SCK_C // UART_RX_C // LCD_R1 // DVIN_R1 // ENC_1 // TSOUT_D_VALID
F3
GPIOX_2 // SD_D2_A // SDXC_D2_A // LCD_R2 // DVIN_R2 // ENC_2 // TSOUT_SOP
G1
GPIOX_3 // SD_D3_A // SDXC_D3_A // LCD_R3 // DVIN_R3 // ENC_3 // TSOUT_CLK
G2
GPIOX_4 // SDXC_D4_A // PCM_OUT_A // UART_TX_A // LCD_R4 // DVIN_R4 // ENC_4 // TSOUT_D0
G3
GPIOX_5 // SDXC_D5_A // PCM_IN_A // UART_RX_A  // LCD_R5 // DVIN_R5 // ENC_5// TSOUT_D1
G4
GPIOX_6 // SDXC_D6_A // PCM_FS_A // UART_CTS_A // LCD_R6 // RVIN_R6 // ENC_6 // TSOUT_D2
G5
GPIOX_7 // SDXC_D7_A // PCM_CLK_A // UART_RTS_A // LCD_R7 // DVIN_R7 // ENC_7 // TSOUT_D3
H4
GPIOX_8 // SD_CLK_A // SDXC_CLK_A // LCD_G0 // TCON_VCOM // DVIN_G0  // ENC_8  // TSOUT_D4
H1
GPIOX_9 // SD_CMD_A // SDXC_CMD_A // LCD_G1 // DVIN_G1 // ENC_9 // PWM_A // TSOUT_D5
H5
GPIOX_10 // XTAL_32K_OUT // LCD_G2 // DVIN_G2 // ENC_10 // PWM_E // PWM_VS // TSOUT_D6
H2
GPIOX_11 // XTAL_24M/12M_OUT // LCD_G3 // DVIN_G3 // ENC_11 // PWM_B // TSOUT_D7
H3
GPIOX_12 // LCD_G4 // DVIN_G4 // ENC_12 // UART_TX_A (LONG FIFO) // TSIN_D0_B
H6
VDDIO_CARD
K9
VDDIO_X
L10
GPIOY_0 //  TSIN_FAIL_A // ISO7816_DET
B1
GPIOY_1 // TSIN_D_VALID_A // DVP_HS // ISO7816_RESET
C1
GPIOY_2 // TSIN_SOP_A // DVP_VS // ISO7816_CLK
C2
GPIOY_3 // TSIN_CLK_A // DVP_CLK // ISO7816_DATA // PWM_A // PWM_VS
D2
GPIOY_4 // TSIN_D0_A // DVP_D0 // SPI_MOSI
D3
GPIOY_5 // TSIN_D1_A // DVP_D1 // SPI_MISO
E4
GPIOY_6 // TSIN_D2_A // DVP_D2 // SPI_SCLK
D1
GPIOY_7 // TSIN_D3_A // DVP_D3 // SPI_SS0 // UART_TX_C // I2C_SDA_C // PWM_B  // PWM_VS
E3
GPIOY_8 // TSIN_D4_A // DVP_D4 // SPI_SS1 // UART_RX_C // I2C_SCK_C // PWM_D
E2
GPIOY_9 // TSIN_D5_A // DVP_D5 // PWM_F  // PWM_VS // SPI_SS2
E1
GPIOY_10 // TSIN_D6_A // DVP_D6 // I2C_SDA_B // UART_TX_B
F5
GPIOY_11 // TSIN_D7_A // DVP_D7 // I2C_SCK_B // UART_RX_B
F6
GPIOY_12 // PWM_A // PWM_VS // I2C_SDA_B // UART_TX_B
G7
GPIOY_13 // PWM_B  // PWM_VS // I2C_SCK_B // UART_RX_B
G6
GPIOZ_0 // I2S_OUT_23
L23
GPIOZ_1 // I2S_AM_CLK //GEN_CLK
M21
GPIOZ_2 // I2S_AO_CLK // I2S_AO_CLK_IN
L24
GPIOZ_3 // I2S_LR_CLK // I2S_LR_CLK_IN
L22
GPIOZ_4 // I2S_OUT_01
K26
GPIOZ_5 // I2S_IN_01
K25
GPIOZ_6 //  XTAL_24M/12M_OUT // XTAL_24M_OVER_2_OUT // PHY_REF_CLK_25MHZ
L21
GPIOZ_7 // ETH_RX_CLK (RMII_50MHZIN/OUT/RGMII_RX_CLKIN/OUT)
K24
GPIOZ_8 // ETH_RX_DV
J25
GPIOZ_9 // ETH_RXD0
K22
GPIOZ_10 // ETH_RXD1
K23
GPIOZ_11 // ETH_RXD2 // UART_TX_A
J24
GPIOZ_12 // ETH_RXD3 // UART_RX_A // PWM_C
K21
GPIOZ_13 // RGMII_TX_CLK
H25
GPIOZ_14 // ETH_TX_EN // XTAL_32K_OUT
H26
GPIOZ_15 // ETH_TXD0
J22
GPIOZ_16 // ETH_TXD1
H24
GPIOZ_17 // ETH_TXD2 // PWM_B  // PWM_VS // I2C_SCK_A // UART_TX_A
G26
GPIOZ_18 // ETH_TXD3 // PWM_A //PWM_VS //  I2C_SDA_A // UART_RX_A
J21
GPIOZ_19 // ETH_MDIO // UART_CTS_A
G25
GPIOZ_20 // ETH_MDC // UART_RTS_A
G24
VDDIO_Y
M10
VDDIO_Z
M19
VCCK
F8
VCCK
J8
VCCK
N8
VCCK
J12
VCCK
L12
VCCK
J10
VCCK
K7
VCCK
M7
VCCK
P7
VCCK
H9
VCCK
J6
VCCK
L6
VCCK
K4
VCCK
K11
VDD_EE
U14
VDD_EE
N18
VDD_EE
R18
VDD_EE
U18
VDD_EE
W18
VDD_EE
N12
VDD_EE
R12
VDD_EE
U12
VDD_EE
U16
VDD_EE
U10
VDD_EE
N15
VDD_EE
R15
VDD_EE
V15
VDD_EE
R9
VDD_EE
V9
VDD_EE
K19
VDD_EE
T19
VDD_EE
K13
VDD_EE
D17
VSS
L18
VSS
M18
VSS
P18
VSS
T18
VSS
C12
VSS
M12
VSS
P12
VSS
T12
VSS
T25
VSS
AB3
VSS
AF3
VSS
C16
VSS
D16
VSS
E16
VSS
F16
VSS
M16
VSS
N16
VSS
P16
VSS
R16
VSS
T16
VSS
C10
VSS
P10
VSS
R10
VSS
T10
VSS
C23
VSS
V7
VSS
AA7
VSS
AB7
VSS
C20
VSS
AB20
VSS
T2
VSS
E15
VSS
L15
VSS
M15
VSS
P15
VSS
T15
VSS
L9
VSS
M9
VSS
N9
VSS
P9
VSS
T9
VSS
C22
VSS
M22
VSS
AE22
VSS
K6
VSS
V6
VSS
W6
VSS
AE6
VSS
C19
VSS
H19
VSS
P19
VSS
AA19
VSS
L13
VSS
M13
C534
100nF
C531
100nF
R220
100Ω
C528
100nF
C530
100nF
C536
100nF
R2M23
4.7KΩ
C529
100nF
C532
100nF
C537
100nF
5
4
3
2
1
D
D
C
C
B
B
A
A
IR&Key_CONNECT
UART0
更网 网0欧欧
Wifi_CONNECT
更网 网 0 欧欧
BlueTeeth_CONNECT
恒恒样恒合修满满外外注注 分满电:
R2S1 R2S6  1%精 ;
 
外外使使使 满 电 外 R 2 S14  R2S15  NC
BL-CONTROL
H :OFF
L :ON
I R  
外3 . 3 V供满
屏屏 屏
PWM控控
POWER_ON
POWERSTB: 
L poweron
H poweroff
如如
R 0 S 15偏偏,
会
会
会PWR_ON满电偏电电电电电满满样 电电 修电电电 电电电电;
R 0 S 1 5 偏偏两偏,会会会会电 功 会会 会 。建建在10K左左。  
KEY2_OUT
LED
KEY1_IN
KEY1_OUT
KEY2_IN
LED_OUT
IR
IR_IN
KEY2_OUT
KEY1_OUT
IR
LED_OUT
U0RX
U0TX
U0RX
U0TX
USB_WIFI_DP
USB_WIFI_DM
USB_WIFI_D-
USB_WIFI_D+
CTR_WIFI_OUT
CTR_WIFI
USB_BT_D-
USB_BT_DM
USB_BT_DP
CTR_BT_OUT
USB_BT_D+
CTR_BT
IPWM
V-PWM
BL_ADJ
ON/OFF
VPWM
CHSEL
I-PWM
CH_SEL
BL-ADJUST
PWR_ON/OFF
BLK_ON/OFF
BL_EN
IPWM
I_PWM
VPWM
V_PWM
BL-ADJUST
BLK_PWM
PWM_TIN
BLK_ON
BLK_ON/OFF
PWM_TOUT
PWM_TIN
PWM_TOUT
CHSEL
BLK_ON
BLK_PWM
POWERSTB
PWR_ON/OFF
POWERSTB
PWR_ON/OFF
CTR_WIFI_OUT
CTR_BT_OUT
+1.8V_AO
+3.3V_AO
+3.3V_AO
+3.3V_AO
+3.3V_AO
+3.3V_AO
5V_WIFI
5V_BT
+12V_NOR
+24V_NOR
3V3
3V3
3V3
3V3
+3.3V_BD
+3.3V_BD
+5V
+3.3V_BD
+12V_NOR
+5V
5V_WIFI
+5V
+5V
5V_BT
+5V
USB_BT_DP
USB_BT_DM
USB_WIFI_DP
USB_WIFI_DM
LED
IR_IN
KEY2_IN
KEY1_IN
U0TX
U0RX
CTR_BT_OUT
CTR_WIFI_OUT
PWM_TOUT
PWM_TIN
CHSEL
BLK_ON
BLK_PWM
POWERSTB
PWR_ON/OFF
I_PWM
V_PWM
Title
Size
Document Number
Rev
Date:
Sheet
o f
C
1
1
Thursday, September 10, 2015
Title
Size
Document Number
Rev
Date:
Sheet
o f
C
1
1
Thursday, September 10, 2015
Title
Size
Document Number
Rev
Date:
Sheet
o f
C
1
1
Thursday, September 10, 2015
R4S10
NC/0Ω
R5S12
4.7KΩ
R1S1
0Ω
Q0S8
KMBT3904
1
2
3
R3S2
100Ω
Q1S3
KMBT3904
1
2
3
R1S7
NC/0Ω
CN0S1
CN_M
1
2
3
4
5
6
7
8
9
10
11
12
13
14
C0S10
10uF
R5S11
100KΩ
PWR-ON/OFF
R1S5
0Ω
R2S2
10KΩ
R1S22
NC/0Ω
USB_WIFI_D+
CTR_BT1
C0S2
33pF
R2S4
330Ω
R5S10
4.7KΩ
+5V_USB_WIFI
LED_OUT
IR_OUT
Q1S2
AO3401A
1
3
2
R2S11
NC/4.7KΩ
R0S16
NC/33KΩ
C0S11
10nF
CH-SEL
R5S8
10KΩ
USB_BT_D-1
R1S16
4.7KΩ
C0S5
100nF
FB40
100Ω/100MHz
RV3
ESD
C8P11
220nF
D0S5
NC/ESD
R0S2
NC/4.7KΩ
+24V_NOR
BL-ON/OFF
R1P6
47KΩ
+5V_USB_BT1
CS16
100nF
C0S13
NC/100nF
R5S9
10KΩ
3V3_STB
R2S14
NC/0Ω
R5S6
4.7KΩ
+3V3_AO
R4S11
NC/0Ω
R5S5
100KΩ
R3S6
100Ω
R3S0
20KΩ
R4S5
10KΩ
C552
10uF
D0S6
NC/ESD
R289
NC/0Ω
C0S9
100nF
CN_M
CN0S3
1
2
3
4
5
6
D0S7
ESD
KEY1_OUT
R5S7
4.7KΩ
R2S15
NC/0Ω
Q1S1
AO3401A
1
3
2
C551
100nF
I_PWM
R2S10
NC/10KΩ
D1A1
LS4148
R3S4
0Ω
D0S8
ESD
R1S17
NC/0Ω
R0S9
10KΩ
R1S4
NC/0Ω
Q0S9
KMBT3904
1
2
3
R1S3
0Ω
R2S12
NC/10KΩ
CN_M
CN0S6
1
2
3
4
5
6
7
R2S3
10KΩ
R2S13
NC/4.7KΩ
FB29
60Ω/100MHz
R1S20
100Ω
Q0S3
NC/KMBT3904
B
1
E
2
C
3
C0S12
100nF
RV14
ESD
Q0S1
NC/KMBT3904
B
1
E
2
C
3
CTR_WIFI
R4S0
0Ω
R2S6
NC/10KΩ
USB_BT_D+1
R1S19
1KΩ
RV13
ESD
R0S13
1KΩ
R2S5
NC/10KΩ
R3S8
0Ω
RV15
ESD
R1S12
4.7KΩ
R2S1
NC/10KΩ
R1S18
10KΩ
R1S21
NC/0Ω
+12V_NOR
BL_ADJ
R0S12
NC/0Ω
V_PWM
C0S1
NC/2.2uF
Q0S2
KMBT3904
1
2
3
R0S14
10KΩ
R0S10
51KΩ
Q1S0
KMBT3904
1
2
3
R3S9
100Ω
Q0S5
KMBT3904
1
2
3
R3S1
100Ω
KEY2_OUT
C1S1
100nF
C0S3
100nF
C0S6
10uF
R1S8
100Ω
+
CE1P6
100uF
C1S2
10uF
C0S7
100nF
R1S11
4.7KΩ
R2S8
4.7KΩ
R1S2
10KΩ
R1S9
100Ω
CN_M
CN0S2
1
2
3
4
5
6
7
8
9
C8P12
220nF
USB_WIFI_D-
RV1
ESD
R3S5
0Ω
R1P55
47KΩ
R1S6
NC/0Ω
FB27
60Ω/100MHz
C0S4
100nF
R0S15
10KΩ
R2S9
100Ω
RV2
ESD
CN-F
CN0S10
1
2
3
4
5
6
5
4
3
2
1
D
D
C
C
B
B
A
A
AMP_RST=0  MUTE
AMP_MUTE=0  MUTE
1、
电
源
输入 端
1 nF电容
吸
收
P V D D 尖
峰
电
流
,
选 型时 耐
压
值
需
留
有
余
量
,
建
议
使用06 03封装。
 
 
如
图 中C8A5/C1A08/C1A01/C9 A3。
2、
输
出
电 感 前
的
R C 网
络
吸
收
输
出
过
冲, 防
止
瞬
态响
应失
真
;
同
时
为PWM提
供
到地的通
路
 
 
而
消
耗
功
率, 故
在24V供
电
时
330pF 电
容
建 议采用0603封装。如图 中
C8A8/C9A7C1A04/C1A17。
L
R
TAS5707
TAS5707
TAS5707
TAS5707
静
音
电
路
静
音
电
路
静
音
电
路
静
音
电
路
Close to SOC IC
说
明:
1、
布
板
时输
出
L C 回
路 面 积
需
尽
可能
小; 注意散
热问
题。
2、
输
出端
R C网 络
、
L C 回
路
的
参
数
在
实
际设计中
可根
据需要
做相
应
调整。
3、
左
右
声
道
间
电
感
在
布
板
时
保
持
尽 可能大的距
离,
边到
边
距
离
至
少9mm,
   防
止
通
道
间
串
扰
。
4、
原
理
图
中
参
数
供
参
考
,
根
据
实
际
设
计
需要,
相关
参数可
做调
整
。
F0A3 由5A/32V网网 3A/32V
R 6 A 4 , C 9 A 6  靠靠靠靠靠功 靠,网改E MI
AMP_RST#
AMP_PDN#
AMP_PDN#
AUDIO_OUT_MUTE
AMP_MUTE
AMP_RST#
I2S_LRCLK
I2S_SCLK
I2S_IN
I2C_DATA1
I2C_CLK1
AMP_RST
SCLK
I2S_MCLK
AUDIO_OUT_MUTE
MCLK
MCLK
SCLK
AMP_RST#
AMP_PDN#
VDD_AMP
+3.3V_AMP
+3.3V_AMP
+3.3V_AMP
VDD_AMP
VDD_AMP
VDD_AMP
+24V_NOR
VDD_AMP
+3.3V_BD
+3.3V_AMP
VDD_AMP
+12V_NOR
+3.3V_AMP
+3.3V_AO
AMP_MUTE
AMP_RST
I2S_LRCLK
I2S_SCLK
I2S_IN
I2C_DATA1
I2C_CLK1
I2S_MCLK
AUDIO_OUT_MUTE
MCLK
Title
Size
Document Number
Rev
Date:
Sheet
of
Custom
1
1
Thursday, September 10, 2015
Title
Size
Document Number
Rev
Date:
Sheet
of
Custom
1
1
Thursday, September 10, 2015
Title
Size
Document Number
Rev
Date:
Sheet
of
Custom
1
1
Thursday, September 10, 2015
C1A14
100nF
ZD0A1
7.5V
C8A4
470nF
R1A12
100Ω
C8A3
33nF
TP0A9
C9A2
33nF
R1A31
100Ω/NC
R6A3
NC/0Ω
C1A53
2.2uF
R1A09 4.7KΩ
R1A32
4.7KΩ/NC
R1A19 4.7KΩ
C8A5
1nF
C1A02
100nF
R7A4
22Ω
R7A1
0Ω
C7A8
4.7nF
+
CE0A5
220uF
L0A8
22uH
L0A7
22uH
D0A9
LS4148
R6A1
22Ω
R1A11
470KΩ
TP0A10
R1A06 1KΩ
C9A4
100nF
C1A15
33nF
C1A09
100nF
R1A17
4.7KΩ
D1A2
LS4148
R6A9
0Ω
C1A4
10uF
R1A15
4.7KΩ
R7A3
0Ω
R1A14
10KΩ
C9A5
470nF
R6A8
0Ω
C8A9
470nF
R6A2
10KΩ
R7A2
22Ω
R1A10 470KΩ
C8A0 1uF
D0A8
BAV70
1
2
3
R1A05
33KΩ
C7A9
4.7nF
L0A9
22uH
C9A8
4.7uF
C1A00
33nF
C9A6
22pF
C9A3
1nF
C1A3
10uF
C9A7
330pF
C1A12
1uF
Q1A5
KMBT3904
1
2
3
R6A5
22Ω
C9A1
100nF
R1A08 NC/1KΩ
TP0A11
Q1A3
MMBT3906
B
1
E
2
C
3
FB0A4
60Ω/100MHz
C1A04
330pF
R1A18
4.7KΩ
C8A1
47nF
L1A0
22uH
R6A4
10Ω
C1A51
2.2uF
TP0A8
R1A13
150KΩ
FB0A3 60Ω/100MHz
C1A01
1nF
R7A0
0Ω
R6A10
NC/0Ω
C1A06
22pF
Q1A4
KMBT3904
1
2
3
C1A08
1nF
R1A16
10KΩ
C9A9
100nF
U0A3
TAS5707PHPR
OUT_A
1
PVDD_A
2
PVDD_A
3
BST_A
4
GVDD_OUT
5
SSTIMER
6
OC_ADJ
7
NC8
8
AVSS
9
PLL_FLTM
10
PLL_FLTP
11
VR_ANA
12
AVDD
13
/FAULT
14
MCLK
15
OSC_RES
16
DVSS
17
VR_DIG
18
/PDN
19
LRCLK
20
SCLK
21
SDIN
22
SDA
23
SCL
24
/RESET
25
/STEST
26
DVDD
27
DVSS
28
GND
29
AGND
30
VREG
31
GVDD_OUT
32
BST_D
33
PVDD_D
34
PVDD_D
35
OUT_D
36
PGND_CD
37
PGND_CD
38
OUT_C
39
PVDD_C
40
PVDD_C
41
BST_C
42
BST_B
43
PVDD_B
44
PVDD_B
45
OUT_B
46
PGND_AB
47
PGND_AB
48
GND
49
R1A07
20KΩ
CN_M
CN0A5
1
2
R5A9
470Ω
C7A7
NC/2.2nF
C8A2
47nF
C1A03
470nF
R5A8
22.1KΩ
C2A11
22uF
+
CE0A7
220uF
C8A6
100nF
R6A7
10KΩ
C1A16
470nF
CN_M
CN0A6
1
2
C1A11
100nF
F0A3
3A/32V
C1A17
330pF
C1A05
470nF
R6A6
18.2KΩ
R6A0
470Ω
C1A07
22pF
C8A8
330pF
5
4
3
2
1
D
D
C
C
B
B
A
A
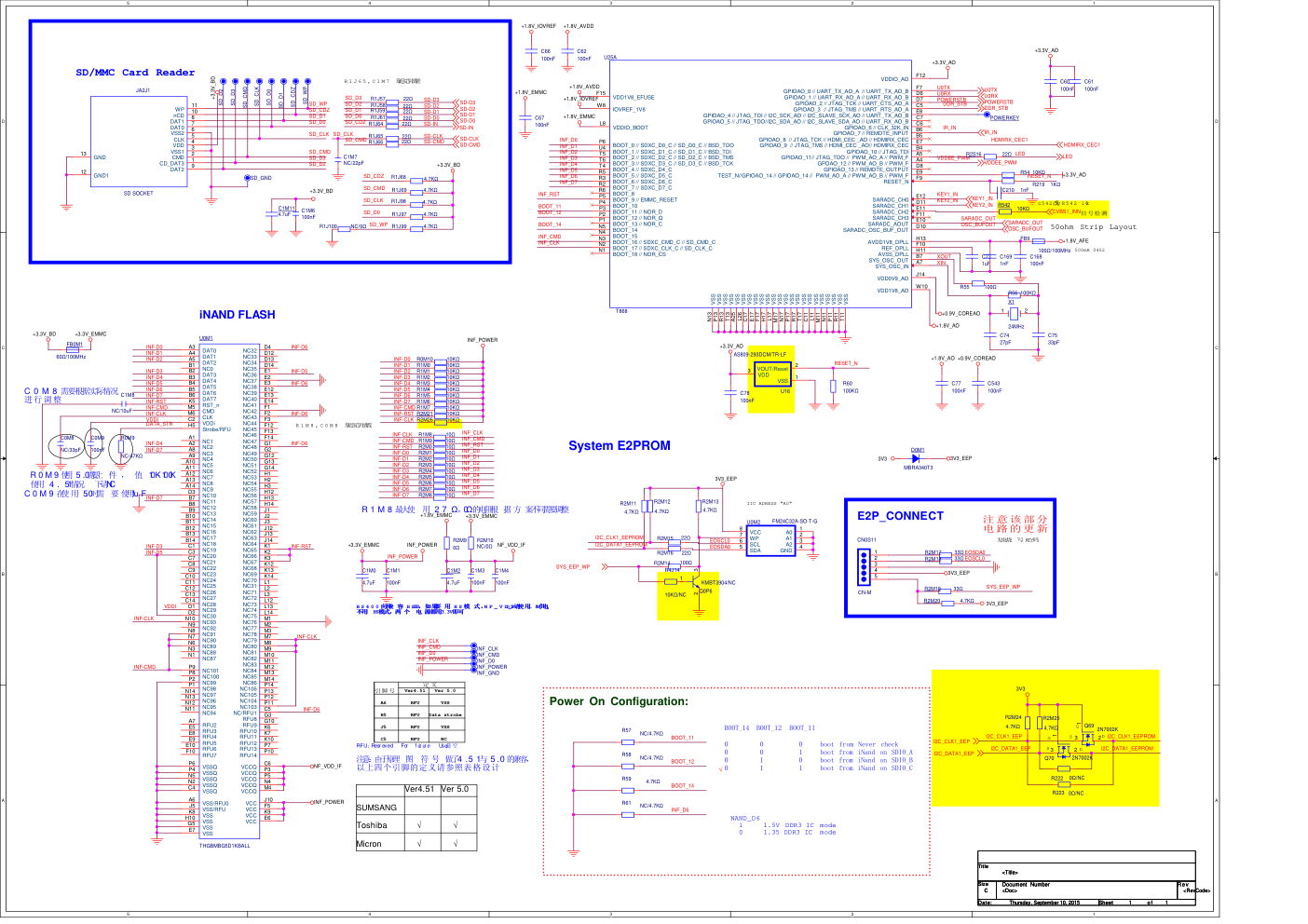
SD/MMC Card Reader
R 1 J 6 5 , C 1 M 7  靠靠靠靠靠功靠
50ohm Strip Layout
SUMSANG
Toshiba
Micron
Ver4.51 Ver 5.0
√
√
√
iNAND FLASH
H S 4 0 0 向
向
向
向向
向
向
向向
向
向
向 分
分
分
分 H S200,
,
,
,如
如
如
如如
如
如
如满
满
满
满 外
外
外
外 H S 模
模
模
模 模
模
模
模 ,
,
,
,N F _ V DD_IF请
请
请
请外
外
外
外 外
外
外
外1. 8V供
供
供
供满
满
满
满,
,
,
,
不
不
不
不外
外
外
外
HS模
模
模
模模
模
模
模,
,
,
,两
两
两
两 两
两
两
两
满
满
满
满 满
满
满
满两
两
两
两外
外
外
外3.3V即
即
即
即即
即
即
即
R 1 M 8 , C 0 M 8  靠靠靠靠靠功靠。
BOOT_14  BOOT_12  BOOT_11
0         0          0     boot from Never check
0         0          1     boot from iNand on SDIO_A
0         1          0     boot from iNand on SDIO_B
0         1          1     boot from iNand on SDIO_C
NAND_D6
  1     1.5V DDR3 IC mode
  0     1.35 DDR3 IC mode
Power On Configuration:
√
信原信信
System E2PROM
E2P_CONNECT
电满无
无 KEY码
注 注 注 注 分
满 电 两 更 更
500mA 0402
R 0 M 9 外外 5 .0需满上 需 , 值 10K- 100K
外外 4 . 51情情
向请NC
C 0 M 9 在外 外 5.0外需 满 外外1u F
C 0 M 8 需满需需需需情情
电进 进 进
√
注注:由分原原 原
原 原 由由4 .5 1与 5 .0 两向分,
以上以两会以两以以请以以以以原原
Ver4.51
Ver 5.0
会以 原
A6
H5
J5
C5
以 以
VSS
Data strobe
VSS
NC
RFU
RFU
RFU
RFU
RFU:Resr eved
 For
 f ut ur e
 Use,悬悬
R 1 M 8 最偏外
外 2 7 Ω,0Ω两满的需 需 的 的不的需满进进
IIC ADRESS "A0"
S
G
D
S
G
D
c542网
更 R542 10k
SD-D3
SD-D0
SD_D1
SD-CLK
SD-IN
SD-D1
SD_D0
SD_D1
SD_D2
SD_D3
SD_CDZ
SD_CMD
SD_CDZ
SD_CLK
SD_CMD
SD_WP
SD_D3
SD-CMD
SD-D2
SD_D2
SD_CMD
SD_D0
SD_CLK
SD_CDZ
SD_CLK
SD_D0
SD_WP
INF_CLK
IR_IN
POWERSTB
XOUT
VDDEE_PWM
LED
HDMIRX_CEC1
U0RX
U0TX
KEY1_IN
KEY2_IN
RESET_N
BOOT_12
INF_RST
SARADC_OUT
OSC_BUFOUT
BOOT_14
DDR_STB
INF_CMD
XIN
BOOT_11
INF_POWER
INF_D3
INF_D2
INF_D1
INF_D0
INF_RST
INF_CMD
INF_CLK
INF_D5
INF_D4
INF_D6
INF_D7
INF-D1
INF-D0
INF-D7
INF-D6
INF-D5
INF-D4
INF-D3
INF-D2
INF-CMD
INF-D2
INF-D1
INF-D0
INF-D7
INF-D6
INF-CLK
INF-CMD
INF-D5
INF-D4
INF-D3
INF-RST
INF_D3
INF_D2
INF_D1
INF_D0
INF_D5
INF_D4
INF_D6
INF_D7
BOOT_11
INF_D6
BOOT_14
BOOT_12
SYS_EEP_WP
EOSCL0
EOSDA0
INF-CMD
INF-D6
INF-D3
INF-D1
INF-D2
INF-D0
INF-D7
INF-CMD
INF-RST
INF-D5
INF-D4
VDDI
INF-CLK
DATA_STR
INF-D5
INF-D3
INF-D4
INF-D5
INF-D6
INF-D6
INF-D6
INF-D6
INF-D7
INF-D7
INF-D6
INF-RST
INF-CLK
INF-CLK
VDDI
INF_CLK
INF_POWER
INF_D0
INF_CMD
INF-RST
RESET_N
I2C_CLK1_EEPROM
I2C_DATA1_EEPROM
I2C_CLK1_EEPROM
I2C_CLK1_EEP
I2C_DATA1_EEP
I2C_DATA1_EEPROM
INF-CLK
EOSDA0
EOSCL0
+3.3V_BD
+3.3V_BD
+3.3V_BD
+1.8V_EMMC
+1.8V_IOVREF
+0.9V_COREAO
+1.8V_AO
+3.3V_AO
+1.8V_AO
INF_POWER
+3.3V_EMMC
INF_POWER
NF_VDD_IF
+1.8V_EMMC
+3.3V_EMMC
+3.3V_BD
+3.3V_EMMC
+3.3V_AO
+3.3V_AO
+1.8V_AVDD
+3.3V_AO
+1.8V_AFE
+1.8V_EMMC
+1.8V_IOVREF
+1.8V_AVDD
3V3_EEP
3V3
3V3_EEP
3V3_EEP
+0.9V_COREAO
INF_POWER
NF_VDD_IF
3V3_EEP
3V3
POWERSTB
IR_IN
KEY2_IN
KEY1_IN
VDDEE_PWM
CVBS1_INN
OSC_BUFOUT
SARADC_OUT
DDR_STB
LED
U0TX
U0RX
SD-D3
SD-D2
SD-D1
SD-D0
SD-CLK
SD-CMD
SD-IN
HDMIRX_CEC1
SYS_EEP_WP
I2C_CLK1_EEP
I2C_DATA1_EEP
Title
Size
Document Number
Rev
Date:
Sheet
o f
C
1
1
Thursday, September 10, 2015
Title
Size
Document Number
Rev
Date:
Sheet
o f
C
1
1
Thursday, September 10, 2015
Title
Size
Document Number
Rev
Date:
Sheet
o f
C
1
1
Thursday, September 10, 2015
T868
U25A
BOOT_0 // SDXC_D0_C // SD_D0_C // BSD_TDO
P6
BOOT_1 // SDXC_D1_C // SD_D1_C // BSD_TDI
U4
BOOT_10
P4
BOOT_11 // NOR_D
P3
BOOT_12 // NOR_Q
P2
BOOT_13 // NOR_C
P1
BOOT_14
N5
BOOT_15
N4
BOOT_16 // SDXC_CMD_C // SD_CMD_C
N3
BOOT_17 // SDXC_CLK_C // SD_CLK_C
N2
BOOT_18 // NOR_CS
N1
BOOT_2 // SDXC_D2_C // SD_D2_C // BSD_TMS
T5
BOOT_3 // SDXC_D3_C // SD_D3_C // BSD_TCK
T6
BOOT_4 // SDXC_D4_C
T4
BOOT_5 // SDXC_D5_C
R5
BOOT_6 // SDXC_D6_C
R3
BOOT_7 // SDXC_D7_C
R2
BOOT_8
R6
BOOT_9 // EMMC_RESET
P5
VDDIO_AO
F12
VDD0V9_AO
J14
IOVREF_1V8
W8
TEST_N//GPIOAO_14 // GPIOAO_14 //  PWM_AO_A // PWM_AO_B // PWM_F
E9
AVDD1V8_DPLL
H13
AVSS_DPLL
H11
VDDIO_BOOT
L8
GPIOAO_13 // REMOTE_OUTPUT
D8
GPOAO_12 // PWM_AO_B // PWM_F
A4
GPIOAO_11// JTAG_TDO //  PWM_AO_A // PWM_F
A5
GPIOAO_10 // JTAG_TDI
B4
GPIOAO_9  // JTAG_TMS // HDMI_CEC _AO// HDMIRX_CEC
E7
GPIOAO_8  // JTAG_TCK // HDMI_CEC _AO // HDMIRX_CEC
B5
GPIOAO_7 // REMOTE_INPUT
B6
GPIOAO_6 // CLK_32K_IN
C6
GPIOAO_5 // JTAG_TDO//I2C_SDA_AO // I2C_SLAVE_SDA_AO // UART_RX_AO_B
C7
GPIOAO_4 // JTAG_TDI // I2C_SCK_AO // I2C_SLAVE_SCK_AO // UART_TX_AO_B
E8
GPIOAO_3  // JTAG_TMS // UART_RTS_AO_A
C5
GPIOAO_2 // JTAG_TCK // UART_CTS_AO_A
D7
GPIOAO_1 // UART_RX_AO_A // UART_RX_AO_B
D6
GPIOAO_0 // UART_TX_AO_A  // UART_TX_AO_B
F7
SYS_OSC_IN
A7
SYS_OSC_OUT
B7
SARADC_CH0
E12
SARADC_CH1
D11
SARADC_CH2
E11
SARADC_CH3
F11
SARADC_AOUT
E10
SARADC_OSC_BUF_OUT
D10
RESET_N
F9
REF_DPLL
F10
VDD1V8_EFUSE
F15
VDD1V8_AO
W10
VSS
N13
VSS
P13
VSS
R13
VSS
T13
VSS
A25
VSS
L26
VSS
C17
VSS
E17
VSS
F17
VSS
H17
VSS
L17
VSS
M17
VSS
N17
VSS
P17
VSS
R17
VSS
T17
VSS
C11
VSS
L11
VSS
M11
VSS
N11
VSS
P11
VSS
R11
VSS
T11
R1M2
10KΩ
C60
100nF
R4J14
10KΩ/NC
FM24C32A-SO-T-G
U0M2
A0
1
A1
2
A2
3
SCL
6
WP
7
SDA
5
VCC
8
GND
4
INF_CMD
R59
4.7KΩ
C75
33pF
INF_GND
R1M9
10Ω
C66
100nF
R60
100KΩ
R2M4
10Ω
SD_D0
R2M18
33Ω
R2M13
4.7KΩ
R2M25
4.7KΩ
Q69 2N7002K
1
2
3
R56 100KΩ
SD_D1
U16
AS809-293DCM/TR-LF
VSS
1
VOUT/Reset
2
VDD
3
R1M1
10KΩ
SD_WP
R61
NC/4.7KΩ
C62
100nF
R2M1
10Ω
CN-M
CN0S11
1
2
3
4
5
R2M15
22Ω
R55
100Ω
C73
1uF
R1M4
10KΩ
SD_D3
C1M7
NC/22pF
R1M8
10Ω
R2M16
22Ω
R2M12
4.7KΩ
R1M0
10KΩ
R1J58
22Ω
R1M7
10KΩ
SD_CMD
R2M2
10Ω
R2M20
4.7KΩ
R2M11
4.7KΩ
C543
100nF
C1M6
100nF
R2M7
10Ω
R1M3
10KΩ
R1M6
10KΩ
R2M17
33Ω
R2M19
33Ω
R2M14
100Ω
Q70
2N7002K
1
2
3
R1J57
22Ω
R1J98
4.7KΩ
INF_D0
R2M3
10Ω
R1J68
4.7KΩ
C61
100nF
R2M6
10Ω
C1M0
4.7uF
C1M3
100nF
R2M0
10Ω
R1J59
22Ω
R1J99
4.7KΩ
R2S16
22Ω
Q0P6
KMBT3904/NC
1
2
3
C1M8
NC/10uF
C1M2
4.7uF
R1J64
22Ω
FB0M1
60Ω/100MHz
R1J97
4.7KΩ
C1M11
4.7uF
R2M10
NC/0Ω
R223 0Ω/NC
U0M1
THGBMBG5D1KBALL
DAT0
A3
DAT1
A4
DAT2
A5
DAT3
B2
DAT4
B3
DAT5
B4
DAT6
B5
DAT7
B6
VDDi
C2
VSSQ
C4
VCCQ
C6
VCC
E6
VSS
E7
VCC
F5
VSS
G5
VSS
H10
VCC
J10
RST_n
K5
VSS
K8
VCC
K9
VCCQ
M4
CMD
M5
CLK
M6
VSSQ
N2
VCCQ
N4
VSSQ
N5
VCCQ
P3
VSSQ
P4
VCCQ
P5
VSSQ
P6
NC1
A1
NC2
A2
NC3
A8
NC4
A9
NC5
A10
NC6
A11
NC7
A12
NC8
A13
NC9
A14
NC11
B7
NC12
B8
NC13
B9
NC14
B10
NC15
B11
NC16
B12
NC17
B13
NC18
B14
NC19
C1
NC20
C3
NC21
C7
NC22
C8
NC23
C9
NC24
C10
NC25
C11
NC26
C12
NC27
C13
NC28
C14
NC29
D1
NC30
D2
NC10
D3
NC31
L1
NC32
D4
NC33
D12
NC34
D13
NC35
D14
NC36
E1
NC37
E2
NC38
E3
NC39
E12
NC40
E13
NC41
E14
NC42
F1
NC43
F2
NC44
F3
NC45
F12
NC46
F13
NC47
F14
NC48
G1
NC49
G2
NC50
G12
NC51
G13
NC52
G14
NC53
H1
NC54
H2
NC55
H3
NC56
H12
NC57
H13
NC58
H14
NC59
J1
NC60
J2
NC61
J3
NC62
J12
NC63
J13
NC64
J14
NC65
K1
NC66
K2
NC67
K3
NC68
K12
NC69
K13
NC70
K14
NC71
L2
NC72
L3
NC73
L12
NC74
L13
NC75
L14
NC76
M1
NC77
M2
NC78
M3
NC79
M7
NC80
M8
NC81
M9
NC82
M10
NC83
M11
NC84
M12
NC85
M13
NC86
M14
NC87
N1
NC88
N3
NC89
N6
NC90
N7
NC91
N8
NC92
N9
NC93
N10
NC94
N11
NC95
N12
NC96
N13
NC97
N14
NC98
P1
NC99
P2
NC100
P8
NC101
P9
NC103
P11
NC104
P12
NC105
P13
NC106
P14
VSS/RFU0
A6
RFU2
A7
NC/RFU1
C5
RFU3
E5
RFU4
E8
RFU5
E9
RFU6
E10
RFU7
F10
RFU8
G3
RFU9
G10
Strobe/RFU
H5
VSS/RFU
J5
RFU10
K6
RFU11
K7
RFU12
K10
RFU13
P7
RFU14
P10
NC0
B1
FB9
100Ω/100MHz
R542
10KΩ
R222
0Ω/NC
R0M10
10KΩ
C77
100nF
C1M4
100nF
R1J65
22Ω
R2M8
10Ω
SD_D2
SD_CLK
C169
1nF
R2M26
10KΩ
R2M9
0Ω
R1M5
10KΩ
D0M1
MBRA340T3
R0M9
NC/47KΩ
INF_CLK
R1J66
22Ω
C67
100nF
C210
1nF
R2M5
10Ω
R58
NC/4.7KΩ
C1M1
100nF
SD_GND
R54 10KΩ
C0M9
100nF
R219
1KΩ
R2M21
10KΩ
R57
NC/4.7KΩ
R2M24
4.7KΩ
C168
100nF
X1
24MHz
1
2
C0M8
NC/33pF
SD_CDZ
JA2J1
SD SOCKET
CD_DAT3
1
CMD
2
VSS1
3
VDD
4
CLK
5
VSS2
6
DAT0
7
DAT1
8
DAT2
9
WP
11
nCD
10
GND1
12
GND
13
R1J100
NC/0Ω
POWERKEY
R1J61
22Ω
R1J69
4.7KΩ
C74
27pF
INF_POWER
C78
100nF
5
4
3
2
1
D
D
C
C
B
B
A
A
BDDR_DQ8
BDDR_DQ14
BDDR_DQ9
BDDR_DQ13
BDDR_DQ28
BDDR_DQ24
BDDR_DQ25
BDDR_DQ26
BDDR_DQ30
BDDR_DQ27
BDDR_DQ10
BDDR_DQ15
BDDR_DQ11
BDDR_DQ12
BDDR_DQS_n_1
BDDR_DQ29
BDDR_DQ31
BDDR_DQS_n_3
BDDR_DM3
BDDR_DQS3
BDDR_DQS1
BDDR_DM1
ADDR_WE_n
BDDR_BA2
BDDR_BA0
BDDR_BA1
BDDR_A10
BDDR_A7
BDDR_A1
BDDR_A3
BDDR_A12
BDDR_A4
BDDR_A5
BDDR_A8
BDDR_A2
BDDR_A0
BDDR_A13
BDDR_A11
BDDR_A6
BDDR_A9
BDDR_CK
BDDR_CKE0
BDDR_CK_n
BDDR_A15
BDDR_A14
ADDR_DQ8
ADDR_DQ0
ADDR_DQ10
ADDR_DQ9
ADDR_DQ7
ADDR_DQ11
ADDR_DQ14
ADDR_DQ13
ADDR_DQ4
ADDR_DQ1
ADDR_DQ15
ADDR_DQ12
ADDR_DQ6
ADDR_DQ3
ADDR_DQ2
ADDR_DQ5
ADDR_BA2
ADDR_BA0
ADDR_BA1
BDDR_CK_n0
BDDR_CK0
ADDR_CK_n0
ADDR_CK0
ADDR_BA2
ADDR_BA0
ADDR_BA1
ADDR_A10
ADDR_A7
ADDR_A1
ADDR_CK_n0
ADDR_CK0
ADDR_A3
ADDR_A12
ADDR_A4
ADDR_A5
ADDR_A8
ADDR_CKE0
ADDR_A2
ADDR_A0
ADDR_A13
ADDR_A11
ADDR_A6
ADDR_A9
ADDR_A15
ADDR_A14
BDDR_CK_n0
BDDR_CK0
BDDR_RST
ADDR_A10
ADDR_A7
ADDR_A1
ADDR_A3
ADDR_A12
ADDR_A4
ADDR_A5
ADDR_A8
ADDR_A2
ADDR_A0
ADDR_A13
ADDR_A11
ADDR_A6
ADDR_A9
BDDR_RST
ADDR_CAS_n
ADDR_RAS_n
ADDR_ODT0
BDDR_DQ0
BDDR_DQ7
BDDR_DQ4
BDDR_DQ1
BDDR_DQ6
BDDR_DQ3
BDDR_DQ2
BDDR_DQ5
BDDR_DQS0
BDDR_DQS_n_0
BDDR_DM0
ADDR_DQS_n_2
ADDR_DQ22
ADDR_DQ21
ADDR_DQ17
ADDR_DQS2
ADDR_DQ23
ADDR_DQ20
ADDR_DQ18
ADDR_DQ19
ADDR_DQ16
ADDR_DM2
ADDR_RST
ADDR_DQ28
ADDR_DQ30
ADDR_DQ27
ADDR_DQ26
ADDR_DQ24
ADDR_DQ25
ADDR_DQ29
ADDR_DQ31
ADDR_DQS_n_3
ADDR_DQS3
ADDR_DM3
ADDR_A15
ADDR_CKE0
BDDR_A15
BDDR_WE_n
BDDR_CAS_n
BDDR_RAS_n
BDDR_ODT0
BDDR_CS0_n
ADDR_DQS_n_2
ADDR_CK_n0
ADDR_CK
ADDR_CKE0
ADDR_CK_n
ADDR_DQ8
ADDR_DQ14
ADDR_DQ9
ADDR_DQ13
ADDR_DQ10
ADDR_DQ15
ADDR_DQ11
ADDR_DQ12
ADDR_DQS_n_1
ADDR_DQS1
ADDR_DM1
ADDR_CS0_n
BDDR_DQ22
BDDR_DQS_n_2
BDDR_DQ21
BDDR_DQ23
BDDR_DQ17
BDDR_DQ20
BDDR_DQ18
BDDR_DQS2
BDDR_DQ19
BDDR_DQ16
BDDR_DM2
BDDR_RST
BDDR_PZQ
ADDR_DQ28
ADDR_DQ24
ADDR_DQ25
ADDR_DQ30
ADDR_DQ22
ADDR_DQ26
ADDR_DQ27
ADDR_DQ29
ADDR_DQ21
ADDR_DQ31
ADDR_DQ23
ADDR_DQS_n_1
ADDR_DQS1
ADDR_DQS0
ADDR_DQS_n_0
ADDR_DQS2
ADDR_DQS_n_3
ADDR_DQS3
BDDR_CK_n0
BDDR_CK0
ADDR_WE_n
ADDR_CAS_n
ADDR_RAS_n
ADDR_ODT0
ADDR_CS0_n
ADDR_RST
BDDR_WE_n
BDDR_CAS_n
BDDR_RAS_n
BDDR_ODT0
BDDR_CS0_n
BDDR_CKE0
BDDR_WE_n
BDDR_CAS_n
BDDR_RAS_n
BDDR_ODT0
BDDR_CS0_n
ADDR_CK0
BDDR_BA2
BDDR_BA0
BDDR_BA1
BDDR_A10
BDDR_A7
BDDR_A1
BDDR_A3
BDDR_A12
BDDR_A4
BDDR_A5
BDDR_A8
BDDR_A2
BDDR_A0
BDDR_A13
BDDR_A11
BDDR_A6
BDDR_A9
BDDR_A14
BDDR_CKE0
BDDR_A15
ADDR_RST
BDDR_DQ8
BDDR_DQ14
BDDR_DQ9
BDDR_DQ13
BDDR_DQ10
BDDR_DQ15
BDDR_DQ11
BDDR_DQ12
BDDR_DQS_n_1
BDDR_DQS1
BDDR_DM1
ADDR_BA2
ADDR_BA0
ADDR_BA1
ADDR_A10
ADDR_A7
ADDR_A1
ADDR_A3
ADDR_A12
ADDR_A4
ADDR_A5
ADDR_A8
ADDR_A2
ADDR_A0
ADDR_A13
ADDR_A11
ADDR_A6
ADDR_A9
ADDR_A14
ADDR_A15
ADDR_DQ17
ADDR_DQ20
ADDR_DQ18
ADDR_DQ19
ADDR_DQ16
BDDR_DQ0
BDDR_DQ7
BDDR_DQ4
BDDR_DQ1
BDDR_DQ6
BDDR_DQ3
BDDR_DQ2
BDDR_DQ5
BDDR_DQS0
BDDR_DQS_n_0
BDDR_DM0
ADDR_WE_n
ADDR_CAS_n
ADDR_RAS_n
ADDR_ODT0
ADDR_CS0_n
BDDR_BA2
BDDR_BA0
BDDR_BA1
BDDR_A10
BDDR_A7
BDDR_A1
BDDR_A3
BDDR_A12
BDDR_A4
BDDR_A5
BDDR_A8
BDDR_A2
BDDR_A0
BDDR_A13
BDDR_A11
BDDR_A6
BDDR_A9
BDDR_A14
ADDR_PZQ
ADDR_DQ0
ADDR_DQ7
ADDR_DQ4
ADDR_DQ1
ADDR_DQ6
ADDR_DQ3
ADDR_DQ2
ADDR_DQ5
ADDR_DQS0
ADDR_DQS_n_0
ADDR_DM0
ADDR_CK
ADDR_CK_n
BDDR_DQ28
BDDR_DQ24
BDDR_DQ25
BDDR_DQ26
BDDR_DQ30
BDDR_DQ27
BDDR_DQ29
BDDR_DQ31
BDDR_DQS_n_3
BDDR_DQS3
BDDR_DM3
ADDR_DM0
ADDR_DM1
ADDR_DM3
ADDR_DM2
ADDR_A14
BDDR_DQS_n_2
BDDR_DQ22
BDDR_DQ21
BDDR_DQ16
BDDR_DQS2
BDDR_DQ19
BDDR_DQ20
BDDR_DQ18
BDDR_DQ23
BDDR_DQ17
BDDR_DM2
BDDR_CK
BDDR_CK_n
MDDR_1V5
MDDR_1V5
VREF0.75VA
MDDR_1V5
MDDR_1V5
MDDR_1V5
VREF0.75VB1
MDDR_1V5
VREF0.75VB1
VREF0.75VB1
MDDR_1V5
VREF0.75VA
MDDR_1V5
VREF0.75VA
VREF0.75VA1
VREF0.75VA1
MDDR_1V5
MDDR_1V5
MDDR_1V5
VREF0.75VA1
+1.5V_DDR3
Title
Size
Document Number
Rev
Date:
Sheet
o f
C
1
1
Thursday, September 10, 2015
Title
Size
Document Number
Rev
Date:
Sheet
o f
C
1
1
Thursday, September 10, 2015
Title
Size
Document Number
Rev
Date:
Sheet
o f
C
1
1
Thursday, September 10, 2015
C128
100nF
C96
100nF
C546
100nF
C132
100nF
R3M7
240Ω
C139
NC/5pF
C117
100nF
C114
100nF
R3M16
56Ω
C86
4.7uF
C92
100nF
C142
100nF
C125
100nF
R3M10
240Ω
C134
100nF
C97
100nF
C88
100nF
U3M1
H5TQ2G63FFR-RDC
VDDQ
A1
DQ13
A2
DQ15
A3
DQ12
A7
VDDQ
A8
VSS
A9
VSSQ
B1
VDD
B2
VSS
B3
UDQS
B7
DQ14
B8
VSSQ
B9
VDDQ
C1
DQ11
C2
DQ9
C3
UDQS
C7
DQ10
C8
VDDQ
C9
VSSQ
D1
VDDQ
D2
UDM
D3
DQ8
D7
VSSQ
D8
VDD
D9
VSS
E1
A6
R8
DQ0
E3
LDM
E7
VSSQ
E8
VDDQ
E9
VDDQ
F1
DQ2
F2
LDQS
F3
DQ1
F7
DQ3
F8
VSSQ
F9
VSSQ
G1
DQ6
G2
LDQS
G3
VDD
G7
VSS
G8
VSSQ
G9
Vref0
H1
VDDQ
H2
DQ4
H3
DQ7
H7
DQ5
H8
VDDQ
H9
NC
J1
VSS
J2
RAS
J3
CK
J7
VSS
J8
VSS
M9
VDD
K2
CAS
K3
CK
K7
VDD
K8
CKE
K9
NC
L1
CS
L2
WE
L3
A10/AP
L7
ZQ
L8
BA0
M2
BA2
M3
NC
M7
Vref1
M8
NC
J9
VDD
N1
A3
N2
A0
N3
A12/BC
N7
BA1
N8
A5
P2
A2
P3
A1
P7
A4
P8
VSS
P9
VDD
R1
A7
R2
VSSQ
E2
A9
R3
A11
R7
ODT
K1
NC
L9
VSS
M1
VDD
N9
VSS
P1
VDD
R9
VSS
T1
RESET
T2
A13
T3
A14
T7
A8
T8
VSS
T9
R3M15
22Ω
C107
100nF
C544
100nF
C129
100nF
C115
100nF
R3M18
22Ω
C123
100nF
R3M3
1KΩ
C547
100nF
C138
4.7uF
C93
100nF
C143
100nF
C135
100nF
C101
100nF
C89
100nF
C141
100nF
C127
100nF
C110
100nF
C137
4.7uF
R3M21
56Ω
C99
100nF
C121
100nF
R3M2
1KΩ
C85
100nF
R3M9
240Ω
C545
100nF
C103
100nF
R3M5
1KΩ
R3M0
240Ω
C104
100nF
C90
100nF
C126
100nF
C548
100nF
C550
10uF
C111
100nF
C131
100nF
R3M13
1KΩ
C124
100nF
C120
100nF
C113
10uF
R3M19
22Ω
R3M17
56Ω
C102
100nF
R3M6
1KΩ
C106
100nF
C95
100nF
C136
4.7uF
R3M8
240Ω
C549
100nF
C112
100nF
C87
NC/5pF
R3M12
1KΩ
C91
100nF
C116
100nF
C118
100nF
C108
100nF
C133
100nF
C84
4.7uF
U3M4
H5TQ2G63FFR-RDC
VDDQ
A1
DQ13
A2
DQ15
A3
DQ12
A7
VDDQ
A8
VSS
A9
VSSQ
B1
VDD
B2
VSS
B3
UDQS
B7
DQ14
B8
VSSQ
B9
VDDQ
C1
DQ11
C2
DQ9
C3
UDQS
C7
DQ10
C8
VDDQ
C9
VSSQ
D1
VDDQ
D2
UDM
D3
DQ8
D7
VSSQ
D8
VDD
D9
VSS
E1
A6
R8
DQ0
E3
LDM
E7
VSSQ
E8
VDDQ
E9
VDDQ
F1
DQ2
F2
LDQS
F3
DQ1
F7
DQ3
F8
VSSQ
F9
VSSQ
G1
DQ6
G2
LDQS
G3
VDD
G7
VSS
G8
VSSQ
G9
Vref0
H1
VDDQ
H2
DQ4
H3
DQ7
H7
DQ5
H8
VDDQ
H9
NC
J1
VSS
J2
RAS
J3
CK
J7
VSS
J8
VSS
M9
VDD
K2
CAS
K3
CK
K7
VDD
K8
CKE
K9
NC
L1
CS
L2
WE
L3
A10/AP
L7
ZQ
L8
BA0
M2
BA2
M3
NC
M7
Vref1
M8
NC
J9
VDD
N1
A3
N2
A0
N3
A12/BC
N7
BA1
N8
A5
P2
A2
P3
A1
P7
A4
P8
VSS
P9
VDD
R1
A7
R2
VSSQ
E2
A9
R3
A11
R7
ODT
K1
NC
L9
VSS
M1
VDD
N9
VSS
P1
VDD
R9
VSS
T1
RESET
T2
A13
T3
A14
T7
A8
T8
VSS
T9
R3M20
56Ω
C100
100nF
R3M14
22Ω
C105
100nF
C140
100nF
C130
100nF
T868
U25C
A_A0
AF8
A_A1
AD8
A_A10
AC10
A_A11
AF7
A_A12
AE8
A_A13
AD10
A_A14
AE7
A_A15
AA8
A_A2
AD9
A_A3
AF11
A_A4
AD7
A_A5
AF10
A_A6
AB8
A_A7
AE10
A_A8
AC8
A_A9
AE9
A_BA_0
AA9
A_BA_1
AD6
A_BA_2
AB9
A_CAS_N
AB11
A_CK
AD11
A_CK_N
AE11
A_CKE
AC11
A_CS_N
AA10
A_DQ0
AE13
A_DQ1
AC14
A_DQ10
AF17
A_DQ11
AD13
A_DQ12
AF16
A_DQ13
AF14
A_DQ14
AD16
A_DQ15
AE14
A_DQ16
AA16
A_DQ17
AA18
A_DQ18
AC16
A_DQ19
AB18
A_DQ2
AF13
A_DQ20
AA15
A_DQ21
AC19
A_DQ22
AB16
A_DQ23
AB19
A_DQ24
AE21
A_DQ25
AE19
A_DQ26
AD21
A_DQ27
AD17
A_DQ28
AD19
A_DQ29
AD18
A_DQ3
AB14
A_DQ30
AD20
A_DQ31
AE18
A_DQ4
AE12
A_DQ5
AB15
A_DQ6
AD12
A_DQ7
AA14
A_DQ8
AE17
A_DQ9
AD14
A_DQM0
AA13
A_DQM1
AE15
A_DQM2
AA17
A_DQM3
AF19
A_DQS0
AB13
A_DQS0_N
AC13
A_DQS1
AD15
A_DQS1_N
AE16
A_DQS2
AC17
A_DQS2_N
AB17
A_DQS3
AF20
A_DQS3_N
AE20
A_ODT
AA11
A_PZQ
AA12
A_RAS_N
AB12
A_WE_N
AB10
VDDQ
W14
VDDQ
AD5
VDDQ
L25
VDDQ
W16
VDDQ
N20
VDDQ
R20
VDDQ
Y20
VDDQ
AC20
VDDQ
V19
VDDQ
V13
VDDQ
AF26
VDDQ
V11
DDR_PVREF
W12
B_A0
AA20
B_A1
AE24
B_A10
AA22
B_A11
AD23
B_A12
AF25
B_A13
AE26
B_A14
AE23
B_A15
AC22
B_A2
AD24
B_A3
AB21
B_A4
AF22
B_A5
AD26
B_A6
AD22
B_A7
AD25
B_A8
AF23
B_A9
AE25
B_BA_0
AB22
B_BA_1
AC23
B_BA_2
AB23
B_CAS_N
W23
B_CK
AC26
B_CK_N
AC25
B_CKE
Y23
B_CS_N
Y22
B_DQ0
AB24
B_DQ1
V22
B_DQ10
U24
B_DQ11
Y26
B_DQ12
U25
B_DQ13
Y24
B_DQ14
U26
B_DQ15
W25
B_DQ16
T21
B_DQ17
P21
B_DQ18
T22
B_DQ19
P23
B_DQ2
AB25
B_DQ20
U21
B_DQ21
N22
B_DQ22
T23
B_DQ23
N23
B_DQ24
P24
B_DQ25
P25
B_DQ26
M24
B_DQ27
T24
B_DQ28
N24
B_DQ29
R25
B_DQ3
V21
B_DQ30
M25
B_DQ31
R24
B_DQ4
AC24
B_DQ5
U23
B_DQ6
AB26
B_DQ7
U22
B_DQ8
T26
B_DQ9
W26
B_DQM0
Y25
B_DQM1
W24
B_DQM2
P22
B_DQM3
P26
B_DQS0
AA25
B_DQS0_N
AA24
B_DQS1
V25
B_DQS1_N
V24
B_DQS2
R22
B_DQS2_N
R21
B_DQS3
N26
B_DQS3_N
N25
B_ODT
Y21
B_PZQ
W21
B_RAS_N
W22
B_WE_N
AA21
VSS
N14
VSS
P14
VSS
R14
VSS
T14
VSS
C8
VSS
R8
VSS
U8
VSS
N21
VSS
AC21
VSS
J5
VSS
K5
VSS
U5
VSS
V5
VSS
E18
VSS
V17
DDR_PVREF
U20
C98
100nF
C122
100nF
C119
100nF
R3M11
240Ω
R3M1
100KΩ
R3M4
100KΩ
C94
100nF
U3M2
H5TQ2G63FFR-RDC
VDDQ
A1
DQ13
A2
DQ15
A3
DQ12
A7
VDDQ
A8
VSS
A9
VSSQ
B1
VDD
B2
VSS
B3
UDQS
B7
DQ14
B8
VSSQ
B9
VDDQ
C1
DQ11
C2
DQ9
C3
UDQS
C7
DQ10
C8
VDDQ
C9
VSSQ
D1
VDDQ
D2
UDM
D3
DQ8
D7
VSSQ
D8
VDD
D9
VSS
E1
A6
R8
DQ0
E3
LDM
E7
VSSQ
E8
VDDQ
E9
VDDQ
F1
DQ2
F2
LDQS
F3
DQ1
F7
DQ3
F8
VSSQ
F9
VSSQ
G1
DQ6
G2
LDQS
G3
VDD
G7
VSS
G8
VSSQ
G9
Vref0
H1
VDDQ
H2
DQ4
H3
DQ7
H7
DQ5
H8
VDDQ
H9
NC
J1
VSS
J2
RAS
J3
CK
J7
VSS
J8
VSS
M9
VDD
K2
CAS
K3
CK
K7
VDD
K8
CKE
K9
NC
L1
CS
L2
WE
L3
A10/AP
L7
ZQ
L8
BA0
M2
BA2
M3
NC
M7
Vref1
M8
NC
J9
VDD
N1
A3
N2
A0
N3
A12/BC
N7
BA1
N8
A5
P2
A2
P3
A1
P7
A4
P8
VSS
P9
VDD
R1
A7
R2
VSSQ
E2
A9
R3
A11
R7
ODT
K1
NC
L9
VSS
M1
VDD
N9
VSS
P1
VDD
R9
VSS
T1
RESET
T2
A13
T3
A14
T7
A8
T8
VSS
T9
U3M3
H5TQ2G63FFR-RDC
VDDQ
A1
DQ13
A2
DQ15
A3
DQ12
A7
VDDQ
A8
VSS
A9
VSSQ
B1
VDD
B2
VSS
B3
UDQS
B7
DQ14
B8
VSSQ
B9
VDDQ
C1
DQ11
C2
DQ9
C3
UDQS
C7
DQ10
C8
VDDQ
C9
VSSQ
D1
VDDQ
D2
UDM
D3
DQ8
D7
VSSQ
D8
VDD
D9
VSS
E1
A6
R8
DQ0
E3
LDM
E7
VSSQ
E8
VDDQ
E9
VDDQ
F1
DQ2
F2
LDQS
F3
DQ1
F7
DQ3
F8
VSSQ
F9
VSSQ
G1
DQ6
G2
LDQS
G3
VDD
G7
VSS
G8
VSSQ
G9
Vref0
H1
VDDQ
H2
DQ4
H3
DQ7
H7
DQ5
H8
VDDQ
H9
NC
J1
VSS
J2
RAS
J3
CK
J7
VSS
J8
VSS
M9
VDD
K2
CAS
K3
CK
K7
VDD
K8
CKE
K9
NC
L1
CS
L2
WE
L3
A10/AP
L7
ZQ
L8
BA0
M2
BA2
M3
NC
M7
Vref1
M8
NC
J9
VDD
N1
A3
N2
A0
N3
A12/BC
N7
BA1
N8
A5
P2
A2
P3
A1
P7
A4
P8
VSS
P9
VDD
R1
A7
R2
VSSQ
E2
A9
R3
A11
R7
ODT
K1
NC
L9
VSS
M1
VDD
N9
VSS
P1
VDD
R9
VSS
T1
RESET
T2
A13
T3
A14
T7
A8
T8
VSS
T9
C109
100nF
5
4
3
2
1
D
D
C
C
B
B
A
A
HDMI4
1 、 E S D分分满 分 偏 分0.5pF;
H D M I 两接,外外外外两外外,请请外请 请
JA_23_S_HDMI_H_8H40_W
靠
靠
靠
靠 靠
靠
靠
靠 靠
靠
靠
靠 靠
靠
靠
靠 功
功
功
功 靠
靠
靠
靠
修一 Hi 3 7 51上外 外 5.1Ω
1 、 E S D分分满 分 偏 分0.5pF;
HDMI1
靠
靠
靠
靠 靠
靠
靠
靠 靠
靠
靠
靠 靠
靠
靠
靠 功
功
功
功 靠
靠
靠
靠
H D M I 两接,外外外外两外外,请请外请 请
JA_23_S_HDMI_H_8H40_W
修一 Hi 3 7 51上外 外 5.1Ω
ARC
to Tuner
HDMIRX_CEC
HDMI1_HPDIN
R2_5V
HDMI_ARCTN
HDMI_ARCTP
ADC_IF_AGC
R3_5V
HDMI1_SDA
HDMI1_SCL
HDMI4_SDA
HDMI4_SCL
HDMI4_HPDIN
HDMI1_CLKP
HDMI1_CLKN
HDMI1_RX0P
HDMI1_RX0N
HDMI1_RX1N
HDMI1_RX1P
HDMI1_RX2N
HDMI1_RX2P
HDMI4_RX1-
HDMI4_RX0-
HDMI4_CLK-
HDMI4_CLK+
HDMI4_HPDIN
HDMI4_HPD
HDMI4_RX2+
HDMI4_RX2-
HDMI4_RX1+
HDMI4_RX1-
HDMI4_CLK+
HDMI4_CLK-
HDMI4_RX0+
HDMI4_RX0-
HDMI4-SCL
HDMI4-SDA
HDMI4_RX2N
HDMI4_RX1P
HDMI4_RX1N
HDMI4_RX2P
HDMI4_RX0P
HDMI4_CLKN
HDMI4_SCL
HDMI4_RX2+
HDMI4_RX1+
HDMI4_RX2-
HDMI4_RX0+
HDMI4_RX1-
HDMI4_CLK+
HDMI4_RX0-
HDMI4_CLK-
CEC2
HDMI4-SCL
HDMI4-SDA
HDMI4_HPD
HDMI4_RX2-
HDMI4_RX2+
HDMI4_RX0+
HDMI4_RX1+
HDMI4_RX0N
HDMI4_CLKP
HDMI4_SDA
HDMI1_RX2+
HDMI1_RX0-
HDMI1_HPD
HDMI_ARCTN
HDMI1-SDA
HDMI_ARCTP
HDMI1_CLK-
HDMI1_CLK+
HDMI1_RX2-
HDMI1_RX2+
HDMI1_RX1+
HDMI1_RX0-
HDMI1_RX0+
HDMI1_RX1-
HDMI1_RX2N
HDMI1_RX1P
HDMI1_RX0N
HDMI1_RX2P
HDMI1_RX1N
HDMI1_RX1-
HDMI1_RX1+
HDMI1_CLKP
HDMI1_CLKN
HDMI1_RX0P
HDMI1_RX0+
HDMI1_CLK+
HDMI1_RX2+
HDMI1_CLK-
HDMI1_RX2-
HDMI1_RX0-
HDMI1_RX2-
HDMI1_RX1+
HDMI1_CLK-
HDMI1_RX0+
HDMI1_CLK+
HDMI1_RX1-
CEC1
HDMI1-SCL
CEC1
CEC2
HDMI1-SCL
HDMI1-SDA
HDMI1_HPD
HDMI1_HPDIN
HDMI4_CLK-
HDMI4_CLK+
HDMI4_RX0-
HDMI4_RX0+
HDMI4_RX1-
HDMI4_RX1+
HDMI4_RX2-
HDMI4_RX2+
HDMI1_CLK-
HDMI1_CLK+
HDMI1_RX0-
HDMI1_RX0+
HDMI1_RX1-
HDMI1_RX1+
HDMI1_RX2-
HDMI1_RX2+
HDMI1_SCL
HDMI1_SDA
HDMI4_RX0N
HDMI4_RX0P
HDMI4_RX1P
HDMI4_RX1N
HDMI4_RX2P
HDMI4_RX2N
HDMI4_CLKN
HDMI4_CLKP
HDMIRX_CEC
HDMIRX_CEC1
R3_5V
R2_5V
ADC_IF_AGC
HDMIRX_CEC1
I2C_CLK2
I2C_DATA2
I2C_CLK2
I2C_DATA2
+1.8V_AVDD
+3.3V_BD
+0.9V_AVDD
+3.3V_BD
+5V_HDMI4
+5V_HDMI4
+5V_HDMI4
+5V_HDMI1
+5V_HDMI1
+5V_HDMI1
+3.3V_BD
+3.3V_BD
+3.3V_BD
+3.3V_AO
+5V_HDMI4
+5V_HDMI1
ADC_IF_AGC
HDMIRX_CEC1
I2C_DATA2
I2C_CLK2
Title
Size
Document Number
Rev
Date:
Sheet
o f
C
1
1
Thursday, September 10, 2015
Title
Size
Document Number
Rev
Date:
Sheet
o f
C
1
1
Thursday, September 10, 2015
Title
Size
Document Number
Rev
Date:
Sheet
o f
C
1
1
Thursday, September 10, 2015
R7J7
4.7KΩ
C0P5
NC/100nF
C282
100nF
Q0J8
KMBT3904
1
2
3
R1J104
NC/0Ω
R0J6
0Ω
C270
1nF
R1J105
0Ω
JA0J5
HDMI SOCKET
DATA2+
1
DATA2 SHIELD
2
DATA2-
3
DATA1+
4
DATA1 SHIELD
5
DAT1A-
6
DATA0+
7
DATA0 SHIELD
8
DATA0-
9
CLK+
10
CLK SHIELD
11
CLK-
12
CEC
13
NC
14
SCL
15
SDA
16
DDC/CEC GND
17
+5V POWER
18
HOT PLUG
19
GND
20
GND
21
GND
22
GND
23
RV9
AZ1045-04F
I/O1
1
I/O2
2
GND
3
I/O3
4
I/O4
5
NC
6
NC
7
GND
8
NC
9
NC
10
FB20
100Ω/100MHz
R0J8
0Ω
R1J4
10KΩ
R7J0
1KΩ
FB19
100Ω/100MHz
R6J6
0Ω
R5J0
0Ω
R1J103
0Ω
RV0J1
ESD
R7J8
1KΩ
RV11
AZ1045-04F
I/O1
1
I/O2
2
GND
3
I/O3
4
I/O4
5
NC
6
NC
7
GND
8
NC
9
NC
10
R4J13
27KΩ
RV2J1
NC/ESD
RV12
AZ1045-04F
I/O1
1
I/O2
2
GND
3
I/O3
4
I/O4
5
NC
6
NC
7
GND
8
NC
9
NC
10
R1J9
NC/10KΩ
RV10
AZ1045-04F
I/O1
1
I/O2
2
GND
3
I/O3
4
I/O4
5
NC
6
NC
7
GND
8
NC
9
NC
10
Q64
2N7002K
1
2
3
R0J1
0Ω
C284
100nF
R6J0
0Ω
R2J2
4.7KΩ
C211
1nF
Q65
2N7002K
1
2
3
R5J7
0Ω
R4J7
10KΩ
C526
1uF
R0J2
0Ω
R4J6
0Ω
RV2J5
ESD
R4J11
10KΩ
R1J3
10KΩ
R4J9
10KΩ
Q66
2N7002K
1
2
3
R7J12
1.6KΩ_1%
Q0J2
KMBT3904
1
2
3
C283
100nF
R1J106
NC/0Ω
R0J5
0Ω
R4J8
10KΩ
R1J0
0Ω
R7J10
1KΩ
R7J2
NC/10KΩ
R4J12
10KΩ
R4J10
10KΩ
RV0J2
ESD
Q67
2N7002K
1
2
3
C269
1nF
JA0J1
HDMI SOCKET
DATA2+
1
DATA2 SHIELD
2
DATA2-
3
DATA1+
4
DATA1 SHIELD
5
DAT1A-
6
DATA0+
7
DATA0 SHIELD
8
DATA0-
9
CLK+
10
CLK SHIELD
11
CLK-
12
CEC
13
NC
14
SCL
15
SDA
16
DDC/CEC GND
17
+5V POWER
18
HOT PLUG
19
GND
20
GND
21
GND
22
GND
23
Q68
2N7002K
1
2
3
R0J7
0Ω
R6J4
0Ω
R0J3
0Ω
R1J6
1KΩ
R7J11
2KΩ
R6J2
0Ω
R5J3
0Ω
FB21
100Ω/100MHz
R7J9
2KΩ
R1J102
0Ω
T868
U25D
GPIOW_0  // UART_TX_A  // I2C_SCK_A
H23
GPIOW_1 // UART_RX_A //  I2C_SDA_A
H22
GPIOW_2 // DTV_IF_AGC //DTV_RF_AGC// ATV_AGC
E26
GPIOW_3 // DTV_IF_AGC/DTV_RF_AGC// ATV_AGC // PWM_D // PWM_VS
F25
GPIOW_4 // HDMIRX_CEC
F24
GPIOW_5 // HDMIRX_HPD_A
G23
GPIOW_6 // HDMIRX_5V_A
H21
GPIOW_7 // HDMIRX_SDA_A  // UART_TX_AO_A
E25
GPIOW_8 // HDMIRX_SCL_A // UART_RX_AO_A
G22
GPIOW_9 //HDMIRX_HPD_B // HDMIRX_TMDS_CLK
E24
GPIOW_10 // HDMIRX_5V_B // HDMIRX_PIX_CLK
F23
GPIOW_11 // HDMIRX_SDA_B  // UART_TX_AO_A  // HDMIRX_AUDMEAS_CLK
G21
GPIOW_12 // HDMIRX_SCL_B // UART_RX_AO_A
D26
GPIOW_13 // HDMIRX_HPD_C
D25
GPIOW_14 // HDMIRX_5V_C
D24
GPIOW_15 // HDMIRX_SDA_C  // UART_TX_AO_A
F22
GPIOW_16 // HDMIRX_SCL_C // UART_RX_AO_A
E23
HDMIRX_ARCTXN
B24
HDMIRX_ARCTXP
A24
HDMIRX_CLKNA
B15
HDMIRX_CLKNB
B23
HDMIRX_CLKNC
A19
HDMIRX_CLKPA
C15
HDMIRX_CLKPB
A23
HDMIRX_CLKPC
B19
HDMIRX_DATANA0
B14
HDMIRX_DATANA1
A13
HDMIRX_DATANA2
C13
HDMIRX_DATANB0
A22
HDMIRX_DATANB1
B21
HDMIRX_DATANB2
B20
HDMIRX_DATANC0
B18
HDMIRX_DATANC1
B17
HDMIRX_DATANC2
A16
HDMIRX_DATAPA0
A14
HDMIRX_DATAPA1
B13
HDMIRX_DATAPA2
B12
HDMIRX_DATAPB0
B22
HDMIRX_DATAPB1
C21
HDMIRX_DATAPB2
A20
HDMIRX_DATAPC0
C18
HDMIRX_DATAPC1
A17
HDMIRX_DATAPC2
B16
HDMIRX_RREF
F18
VDDIO_W
L20
AVDD09_HRX
K17
AVDD18_HRX
J18
AVDD33_HRX
J16
VSS
A1
VSS
AF1
VSS
C14
VSS
D14
VSS
L14
RV2J7
ESD
R0J4
0Ω
RV2J6
ESD
C149
1uF
RV2J4
ESD
5
5
4
4
3
3
2
2
1
1
D
D
C
C
B
B
A
A
1 ,  
2 0 1 5 . 6 . 1 0    修修修修 修PC B 样 样样(06 0 4 原 原 原 原原 ) I 2 C _ CLK1与I2C_SCL1两两两两两两两两 两 两两,
将I 2 C _ S C L 1合合
合  I 2 C _ CLK1 。
2, 
2015.6.12  将
与 CN0S1两两 两 I
_P
WM 和  V_PW
M两 两 网 网
 I-PWM 和
 V-PWM,原原
原原
原。
3 ,  
更更
 复 复
I C  M A X809原原原原原
4 ,功
功  3 3 0
P F  C 1 A 0 4  C 1 A 1 7  C 8 A 8  C 9 A7 更 网 更
0402优优原
5 ,  
 
R 0 P 1 5   N C 网网
 2 7K,满满满满满 满满满满满。
6 ,  
R 0 S 1 5 网更 1 0K。如 如 R0S15偏偏 , 会会会PWR_ON满电偏电电电电 电 满满样电 电 修 电 电 电 电 电 电 电 ;
R 0 S 1 5 偏偏两偏,会会会会电功会会 会 。
Title
Size
Document Number
Rev
Date:
Sheet
o f
A
1
1
Thursday, September 10, 2015
Title
Size
Document Number
Rev
Date:
Sheet
o f
A
1
1
Thursday, September 10, 2015
Title
Size
Document Number
Rev
Date:
Sheet
o f
A
1
1
Thursday, September 10, 2015
            
               
                                
                 立即购买
                                下载本素材需消耗 50 积分
                无法下载?立即反馈
             
            标签:
                            
            
    版权声明
    1. 本站所有素材,仅限学习交流,仅展示部分内容,如需查看完整内容,请下载原文件。
        2. 会员在本站下载的所有素材,只拥有使用权,著作权归原作者所有。
        3. 所有素材,未经合法授权,请勿用于商业用途,会员不得以任何形式发布、传播、复制、转售该素材,否则一律封号处理。
        4. 如果素材损害你的权益请联系客服QQ:77594475 处理。