松下TH-50PH11CK等离子显示器(GPH11D机芯)维修手册

分类:电子电工 日期: 点击:0
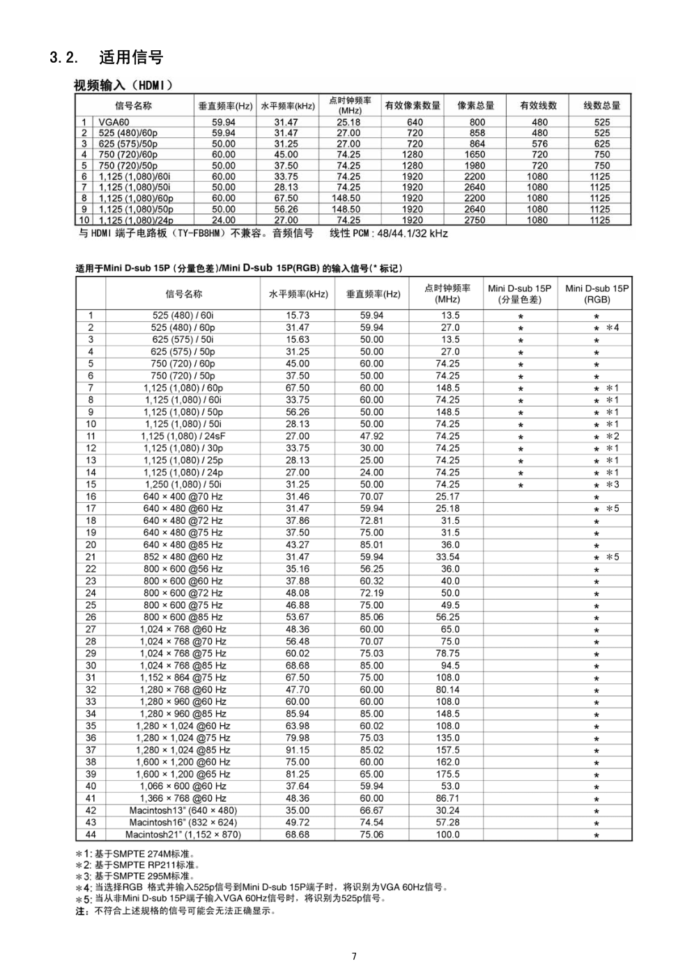
松下TH-50PH11CK等离子显示器(GPH11D机芯)维修手册-0 松下TH-50PH11CK等离子显示器(GPH11D机芯)维修手册-1 松下TH-50PH11CK等离子显示器(GPH11D机芯)维修手册-2 松下TH-50PH11CK等离子显示器(GPH11D机芯)维修手册-3 松下TH-50PH11CK等离子显示器(GPH11D机芯)维修手册-4 松下TH-50PH11CK等离子显示器(GPH11D机芯)维修手册-5 松下TH-50PH11CK等离子显示器(GPH11D机芯)维修手册-6 松下TH-50PH11CK等离子显示器(GPH11D机芯)维修手册-7 松下TH-50PH11CK等离子显示器(GPH11D机芯)维修手册-8 松下TH-50PH11CK等离子显示器(GPH11D机芯)维修手册-9

© 2008 松下电器产业株式会社版权所有。 未经本公司许可而复制或分发者均属违法。 ORDER NO. PPDS080565CC 数字高清晰等离子显示器 型号 TH-50PH11CK GPH11D 机芯 目录 页数 页数 1 安全事项 -----------------------------------------3 1.1. 一般准则------------------------------------3 2 警告 ---------------------------------------------4 2.1. 静电敏感设备 (ES) 的静电放电保护 (ESD) -------4 2.2. 关于无铅焊接 (PbF) --------------------------5 3 服务导航 -----------------------------------------6 3.1. 维修提示------------------------------------6 3.2. 适用信号------------------------------------7 4 技术规格 -----------------------------------------8 5 操作介绍 -----------------------------------------9 6 服务模式 ----------------------------------------11 6.1. CAT( 计算机辅助检测 ) 模式 ------------------11 6.2. IIC 模式结构 ( 以下各值为样本数据 ) ---------14 7 修理指导 ----------------------------------------15 7.1. 自检---------------------------------------15 7.2. 无电源-------------------------------------17 7.3. 无图像-------------------------------------17 7.4. 显示屏局部故障-----------------------------18 8 拆解和组装介绍 ----------------------------------19 8.1. 取下后盖-----------------------------------19 8.2. 取下 HU 板----------------------------------19 8.3. 取下插槽块---------------------------------19 8.4. 取下 HX 板----------------------------------19 8.5. 取下 DS 板----------------------------------19 8.6. 取下 DN 板----------------------------------20 8.7. 取下 D 板-----------------------------------20 8.8. 取下 P 板 ---------------------------------- 20 8.9. 取下 H3 板 (左,右)----------------------- 20 8.10. 取下 SU,SD 板 ----------------------------- 20 8.11. 取下 SC 板 --------------------------------- 21 8.12. 取下 SS2,SS3 板 ---------------------------- 21 8.13. 取下 SS 板 ------------------------------ 21 8.14. 取下 C1 板 --------------------------------- 22 8.15. 取下 C2 板 --------------------------------- 22 8.16. 取下 C3 板 --------------------------------- 22 8.17. 取下 S1 板 --------------------------------- 22 8.18. 取下风扇 ---------------------------------- 23 8.19. 取下画框和前面玻璃 ------------------------ 23 8.20. 取下 V1,V2 板 ----------------------------- 24 8.21. 取下等离子显示屏 -------------------------- 24 9 测量和调整-------------------------------------- 27 9.1. 调整步骤 ---------------------------------- 27 9.2. 调整 -------------------------------------- 30 10 方框图------------------------------------------ 35 10.1. 方框图 (1/8)------------------------------- 35 10.2. 方框图 (2/8)------------------------------- 36 10.3. 方框图 (3/8)------------------------------- 37 10.4. 方框图 (4/8)------------------------------- 38 10.5. 方框图 (5/8)------------------------------- 39 10.6. 方框图 (6/8)------------------------------- 40 10.7. 方框图 (7/8)------------------------------- 41 10.8. 方框图 (8/8)------------------------------- 42 2 11 线路连接图-------------------------------------- 43 11.1. 导线 (1)--------------------------------- 43 11.2. 导线 (2)--------------------------------- 44 12 电路图------------------------------------------ 45 12.1. 线路图注意事项 ---------------------------- 45 12.2. V1,V2 电路板线路图------------------------ 46 12.3. HU 电路板 (1/2) 线路图---------------------- 47 12.4. HU 电路板 (2/2) 线路图---------------------- 48 12.5. HX 电路板线路图---------------------------- 49 12.6. DS 电路板 (1/6) 线路图---------------------- 50 12.7. DS 电路板 (2/6) 和 H3 电路板线路图----------- 51 12.8. DS 电路板 (3/6) 线路图---------------------- 52 12.9. DS 电路板 (4/6) 线路图---------------------- 53 12.10. DS 电路板 (5/6) 线路图---------------------- 54 12.11. DS 电路板 (6/6) 线路图---------------------- 55 12.12. DN 电路板 (1/7) 线路图---------------------- 56 12.13. DN 电路板 (2/7) 线路图---------------------- 57 12.14. DN 电路板 (3/7) 线路图---------------------- 58 12.15. DN 电路板 (4/7) 线路图---------------------- 59 12.16. DN 电路板 (5/7) 线路图---------------------- 60 12.17. DN 电路板 (6/7) 线路图---------------------- 61 12.18. DN 电路板 (7/7) 线路图---------------------- 62 12.19. D 电路板 (1/5) 线路图----------------------- 63 12.20. D 电路板 (2/5) 线路图----------------------- 64 12.21. D 电路板 (3/5) 线路图----------------------- 65 12.22. D 电路板 (4/5) 线路图----------------------- 66 12.23. D 电路板 (5/5) 线路图----------------------- 67 12.24. C1 电路板 (1/2) 线路图---------------------- 68 12.25. C1 电路板 (2/2) 线路图---------------------- 69 12.26. C2 电路板 (1/2) 线路图---------------------- 70 12.27. C2 电路板 (2/2) 线路图---------------------- 71 12.28. C3 电路板 (1/2) 线路图---------------------- 72 12.29. C3 电路板 (2/2) 线路图---------------------- 73 12.30. SC 电路板 (1/3) 线路图---------------------- 74 12.31. SC 电路板 (2/3) 线路图---------------------- 75 12.32. SC 电路板 (3/3) 线路图---------------------- 76 12.33. SU 电路板 (1/2) 线路图---------------------- 77 12.34. SU 电路板 (2/2) 线路图---------------------- 78 12.35. SD 电路板 (1/2) 线路图---------------------- 79 12.36. SD 电路板 (2/2) 线路图---------------------- 80 12.37. SS 电路板 (1/2) 和 S1 电路板线路图----------- 81 12.38. SS 电路板 (2/2),SS2 和 SS3 电路板线路图----- 82 13 印刷电路板基板图-------------------------------- 83 13.1. V1,V2,S1,H3 电路板---------------------- 83 13.2. HU 电路板---------------------------------- 84 13.3. HX 电路板---------------------------------- 85 13.4. DS 电路板---------------------------------- 86 13.5. DN 电路板---------------------------------- 87 13.6. D 电路板----------------------------------- 89 13.7. C1 电路板---------------------------------- 90 13.8. C2 电路板---------------------------------- 91 13.9. C3 电路板---------------------------------- 92 13.10. SC 电路板---------------------------------- 93 13.11. SU 电路板---------------------------------- 96 13.12. SD 电路板---------------------------------- 97 13.13. SS2 和 SS3 电路板--------------------------- 98 13.14. SS 电路板---------------------------------- 99 14 零件位置和零件清单----------------------------- 101 14.1. 电器部件更换清单 ------------------------- 101 14.2. 零件位置和机械部件更换清单 --------------- 128 3 1 安全事项 1.1. 一般准则 1. 进行维修和维护时,请勿试图更改设备及其部件或其材料。 2. 维修连接线 (如电缆、柔性电缆或导线)时,当仅有一条导线或几条导线损坏或断开时,请勿试图维修或重新为其连接。请更 换整条连接线。 3. 进行维修和维护时,应直接拉出或插入固定连接器,而不应将其扭曲。 4. 维修时,检查引线的外观。如发现短路,更换所有因短路而过热或被损坏的部件。 5. 维修后,检查并确认所有的保护装置,如:绝缘隔障、绝缘纸、屏蔽等安装正确。 6. 维修后,进行以下漏电检查,以免用户遭受触电危险。 1.1.1. 漏电冷检查 1. 拔掉 AC 电源线,然后在插头的两个支脚间接上一根跳线。 2. 用欧姆计测量接上跳线的 AC 插头与设备上各外露的金属机 型部分(如螺丝头、连接端、调节杆等)之间的电阻值。外 露金属部分有至底盘的回路时,读数应在 1MΩ 和 5.2MΩ 之 间。 当外露金属部分没有至底盘的回路时,读数必定为 。 1.1.2. 漏电热检查 (见图 1) 1. 将 AC 电源线直接插入 AC 电源插座。进行检查时,请勿使 用隔离变压器。 2. 在设备上各外露金属部分和良好接地 (如水管)之间连接 一个 1.5kΩ,10W 的电阻,并与 0.15μF 的电容器并联,如 图 1 所示。 3. 用一只 1000Ω/V 或灵敏度更高的 AC 电压表测量穿过电阻的 电势。 4. 检查各外露金属部件并测量各点的电压。 5. 变换 AC 插座中的 AC 插头,并重复上述各项测量。 6. 任何点上的电势都不能超过 0.75V RMS。漏电测试仪 (Simpson 229 型或类似型号)可用于热检测,其中漏电绝 不能超过 0.5 mA。当测量值超出规定的限制时,可能会引 起触电。所以必须在机器返回用户手中之前对其进行修理 和再检测。 4 2 警告 2.1. 静电敏感设备 (ES) 的静电放电保护 (ESD) 一些半导体(固态)装置很容易被静电损坏。这些装置通称为静电敏感装置(ES)。典型的 ES 装置有集成电路和一些场效应晶体管以 及半导体 “芯片”组件。以下方法通常被用来减少由于静电释放 (ESD) 所造成的组件损坏。 1. 在处理任何半导体组件或是配备有半导体组件的设备之前,接触已知地线以排除身体上的静电或者戴上市面上可购买到的抗静 电腕带,但是在待检设备通电之前应将其拿掉,以免遭受电击。 2. 在拆卸配有静电敏感装置的电气组件后,请将组件放置于导体表面上 (如铝箔),以防止聚集静电或组件外露。 3. 仅使用末端接地的烙铁焊接或拆焊静电敏感装置。 4. 仅使用防静电拆焊装置。不属于 “防静电 (静电放电保护)”的拆焊装置可能会产生足以损坏静电敏感装置的电荷。 5. 禁止使用氟里昂驱动化学物质。它们能产生足以损坏静电敏感装置的电荷。 6. 在准备立即安装之前,才能拆开静电敏感备换装置的保护性包装,取出备换静电敏感装置。(大多数备换静电敏感装置都使用导 电泡沫、铝箔或类似导电性材料包装,其导线被短接。) 7. 从备换静电敏感装置导线上取下防护性材料前,使防护性材料接触机芯或即将安装的电路组件。 注意: 确定机芯或电路无电源,并遵守其它所有安全注意事项。 8. 在处理未包装的备换静电敏感装置时,尽量减少身体活动。(否则,如衣物纤维的摩擦或从铺有地毯的地面抬起脚等动作都会产 生足以损坏静电敏感装置的静电 (静电释放))。 5 2.2. 关于无铅焊接 (PbF) 注:在元素周期表中,铅用 Pb 表示。 在下文中,Pb 表示有铅焊接,PbF 表示无铅焊接。 在制造流程中使用和下文中介绍的无铅焊接 (Sn+Ag+Cu)。 即:锡 (Sn),银 (Ag)和铜 (Cu),其他类型也可使用。 出于环境保护的考虑,本设备制造中使用了无铅焊接工艺。我们建议在维修和修理工作中最好使用无铅焊接,不过也允许使用有铅焊 接。 使用无铅焊接工艺制造的印刷电路板背面的树叶形符号 内有 PbF 字样。 注意: • 无铅焊接的熔点比标准焊接的熔点高。通常熔点超过 50-70°F(30-40°C)。请使用高温烙铁,并将其温度设为 700±20°F(370±10°C)。 • 当温度过高 (约 1100°F 或 600°C)时,无铅焊料可能会发生喷溅。 如果必须使用有铅焊接,请在焊接前先全部去除焊脚或焊区上的无铅焊料。如果做到这点实际操作困难,则确保无铅焊料加热到熔 化后再进行有铅焊接。 • 在对双面电路板进行无铅焊接后,请检查部件侧部是否有过量焊料,否则会流到另一侧。(见下图) 推荐的无铅焊料 有几种无铅焊料可供选购。本产品使用 Sn+Ag+Cu( 锡 + 银 + 铜 ) 焊料。也可使用 Sn+Cu(锡,铜),Sn+Zn+Bi( 锡,锌,铋 ) 焊料。 6 3 服务导航 3.1. 维修提示 注意: 延长电缆插槽板将作为维修设备或工具提供。 (部品号:TZSC07040) 电路板名称 功能 DN 数字信号处理器,微处理器 D 格式转换器 , 等离子 AI 处理器 , 子场处理器 DS 插槽接口(音频 / 视频 / 同步输入转换)、同步处 理器、音频处理器、扬声器输出放大、直流 - 直流 转换器 SS 维持驱动 SC 扫描驱动 SU 扫描输出 (上) SD 扫描输出 (下) C1 数据驱动 (右) C2 数据驱动 (中) C3 数据驱动 (左) H3 扬声器 S1 电源开关 V1 扬声器 V2 遥控接收器,电源指示灯 -G,R P 电源供应 HX PC/RS-232C 输入端子 HU 双视频端子板 (BNC/S) 7 3.2. 适用信号 8 4 技术规格 电源 交流 220 V,50/60Hz 耗电量 正常使用 425 W 待机情况下 节能关闭:1.5 W,节能打开:0.7 W 电源关闭情况下 0.3 W 等离子显示屏 驱动方式 交流型 画面纵横比 16:9 屏幕尺寸 1,106 毫米 (W) × 622 毫米 (H) × 1,269 毫米 ( 对角线 ) (像素数) 1,049,088(1,366(W)×768(H))[4,098×768 点 ] 工作环境 温度 32°F - 104°F(0°C - 40°C) 湿度 20% - 80% 有效信号 扫描信号 525(480)/60i·60p,625(575)/50i·50p, 750(720)/60p· 50p,1125(1080)/60i·60p·50i·50p·24p·25p· 30p·24sF, 1250(1080)/50i PC 信号 VGA, SVGA, XGA, SXGA, UXG… ( 压缩 ) 水平扫描频率 15 - 110 kHz 垂直扫描频率 48 - 120 Hz 连接端子 声频输出 AUDIO L-R (RCA 针式 × 2 ) 0.5Vrms 视频输出 VIDEO (BNC 型 ) 1.0Vp-p(75Ω) 其他 Ir 系统端子 × 1 声频输入 AUDIO L-R (RCA 针式 × 2 ) 0.5Vrms 视频输入 VIDEO (BNC 型 ) S-VIDEO( 微型 DIN4 针) 1.0Vp-p(75Ω) Y:1.0Vp-p(75Ω) C:0.286Vp-p(75Ω)(NTSC)C:0.3Vp-p(75Ω)(PAL) PC 输入 (高密度 Mini D-SUB 15 针) Y 或 G 带同步 1.0Vp-p(75Ω) Y 或 G 不带同步 0.7Vp-p(75Ω) B/PB/CB:0.7Vp-p(75Ω) R/PR/CR:0.7Vp-p(75Ω) HD/VD:1.0 - 5.0Vp-p( 高阻抗 ) 音频输入 (M3 针式 ) 0.5 Vrms( 高阻抗 ) 串行口 外部控制端子 (D-SUB 9 针) RS-232C 兼容 随带附件 遥控器 N2QAYB000277 电池 R6 型 × 2 固定带 TMME203 × 1 尺寸 (W × H × D) 1,210 mm × 724 mm × 95 mm 重量 净重 34.0Kg 声音 喇叭 6Ω 音频输出 16W[8W + 8W](7% THD) 说明: • 设计和技术规格如有变更,恕不另行通知。所示尺寸和质量均为近似值。 • 设该设备符合以下列出的标准 GB1387-2003、GB17625。1-2003、GB8898-2001 9 5 操作介绍 10 GPH11D 机芯系列有特殊功能及操作设置装置,称为选项菜单。该选项菜单对于有特殊功能要求的客户很有用。该菜单在安装阶段设置。 注 : 由于调节 “键锁定”,“Remocon 用户标准”或 “远程 ID”,主机按钮和遥控器都不能启用时,将所有值设置为 “Off” ,这样所 有按钮就可以重新启用。 同时按住主机上的 “Volume down”(音量降)按钮和遥控器上的 “R”按钮 5 秒钟以上。 将显示 “SHIPPING” 菜单,当消失时,锁定解除。 GPH11D 系列选项菜单 选项菜单 默认设置 内容 周定时器 --- 设置周定时。 屏幕显示 开 在电源开、没有信号时,输入模式显示功能有效 / 无效。 初始输入 关 电源接通后设置初始输入模式。电源接通后可以进行输入模式选择。 初始音量等级 关 电源接通后设置初始音量标准。电源接通后可以进行音量调节。 最大音量等级 关 将最大音量设定到所希望的等级。音量不能超过此限制。 输入锁定 关 将输入模式固定为 AV,分量 /RGB 或 PC。不能通过输入选择键来改变输入模式。 键锁定 关 显示器前端操作键有效 / 无效 (输入选择、菜单、确认和 / 或音量升 / 降)。 Remocon 用户标准 关 遥控键有效 / 无效。 关:所有遥控键有效。 用户 1:只有待机 (开 / 关)、输入、直接输入、状态、环绕、静音开 / 关以及音 量调节键为有效。 用户 2:只有待机键 (开 / 关)为有效。 用户 3:所有键都无效。 高级 PIP (画中画) 关 关:设置正常双画面显示模式。 开:设置高级 PIP (画中画)模式。 “定时关机”功能 启动 定时关机功能有效 / 无效。 初始电源模式 正常 当电源恢复或将电源拔掉后再接通时设置本机电源模式。 ID 选择 0 将 ID 设置为 0 到 100。 遥控 ID 关 遥控 ID 功能开 / 关。 (当遥控 ID 为开时,标准遥控功能不能控制本机。) 串行 ID 关 串行 ID 功能开 / 关。 显示尺寸 关 显示尺寸功能开 / 关 影院模式白平衡 关 影院模式白平衡功能开 / 关 影院模式增益 关 影院模式增益功能开 / 关 插槽电源 关 在电源接通时设置插槽电源模式。 允许在电源接通的情况下将可选接线端子板插入插槽。 屏幕电源开启延时 关 当您按 打开安装在一起的多显示屏(如拼墙系统)时,您可以设定屏幕电源开 启延时的时间以减少电源消耗。 分别设置各显示器的设定。 时钟显示 关 时钟显示功能开 / 关。 全屏宽高 默认 宽高模式:默认 / 全屏宽高模式 旋转 关 旋转功能开 / 关 串行插槽选择 插槽 1 选择连接串行口的插槽。 注意:只有从固定的串行端子才可设置外部指令。 11 6 服务模式 6.1. CAT( 计算机辅助检测 ) 模式 若要退出 CAT 模式,请进入 ID 模式,并关闭主电源。 6.1.1. IIC 模式 在 CAT 模式中,通过遥控器上的升 / 降键选择 IIC 模式,然后按下遥控器上的开始键。 主题和项目在 “IIC 模式结构”中提及。 按遥控器上的返回键退出 IIC 模式。 12 6.1.2. CD 模式 在 CAT 模式中,通过遥控器上的上 / 下键选择 CD 模式,然后按下遥控器上的静音键 3 秒钟以上。 Micom 软件版本 (IC4702),该版本可通过以下方式升级: 1. 更换新版本 IC 2. 从装载工具上装入新的软件版本 TZSC07036。 存储数据变更 按遥控器上的返回键退出 CD 模式。 6.1.3. SD 模式 在 CAT 模式中,通过遥控器上的上 / 下键选择 SD 模式,然后按下遥控器上的开始键。 按遥控器上的返回键退出 SD 模式。 13 6.1.4. MS 模式 在 CAT 模式中,通过遥控器上的上 / 下键选择 MS 模式,然后按下遥控器上的静音键 3 秒钟以上。 按遥控器上的返回键退出 MS 模式。 注意: 更换 DN 板后设置市场选项。 目的地编号 默认设置 6.1.5. ID 模式 在 CAT 模式中,通过遥控器上的上 / 下键选择 ID 模式,然后按下遥控器上的静音键 3 秒钟以上。 按遥控器上的返回键退出 ID 模式。 编号 目的地 编号 目的地 0 日本 16 -- 1 北美 17 -- 2 欧洲 18 中国 3 其他国家 19 中国 (旅馆) 4 英国 20 俄国 5 台湾 21 俄国 (旅馆) 6 泰国 22 香港 7 -- 23 -- 8 日本 (旅馆) 24 -- 9 北美 (旅馆) 25 -- 10 欧洲 (旅馆) 26 -- 11 -- 27 -- 12 英国 (旅馆) 28 中东 / 香港 13 -- 29 中东 / 香港 (旅馆) 14 泰国 (旅馆) 30 澳大利亚 15 -- 31 澳大利亚 (旅馆) 编号 目的地 18 中国 14 6.2. IIC 模式结构 ( 以下各值为样本数据 ) 15 7 修理指导 7.1. 自检 7.1.1. 显示器指示 1. 自检用于自动检查等离子显示器的总线控制电路。 2. 要进入自检模式,按下机器前端用户控制器上的音量降低 键,同时按下遥控器上的 OFF-TIMER,显示屏将会显示 :- 。 检查 IIC 端口时若发现其不正常或位置不对,则“--”将会显示 在 “OK”的位置。 “PTCT” 行上的 “01”表示电源 LED 闪烁次数是 1。 ( 请参见第 7.1.2 章节 ) “PTCT” 行上的 “H09”表示故障码。 关闭电源退出 CAT 模式。 注意: 仅在电源LED闪烁后,第一次进入自检模式时,才显示“PTCT” 行。 16 7.1.2. 电源 LED 闪烁次数图 1. 主题 发光二极管闪烁次数图。 2. 内容 当设备出现异常时,保护电路将运行并将设备复位到待机状态。此时,通过本机前端的电源 LED 闪烁次数便可识别出故障部位。 关于闪烁 LED 17 7.2. 无电源 第一检查点 LED 无电源指示有 3 种情况: 1. 不亮。 2. 绿灯亮,几秒钟后转为红灯闪烁。 3. 只有红灯亮。 7.3. 无图像 18 7.4. 显示屏局部故障 等离子显示屏上可能会出现局部故障。图 1 是各局部可能会出现故障的 P.C.B. 印刷电路板。 19 8 拆解和组装介绍 • 由于电解电容放电原因,电源切断后等候一分钟再取下 P.C.B.。 • , , , 和 表明螺丝位置。 8.1. 取下后盖 1. 松开螺丝 (×8 , ×29 , ×4 ),取下后盖。 8.2. 取下 HU 板 1. 松开 4 颗螺丝 (A),取下 HU 端子块。 2. 松开 4 颗螺丝 (B)。 3. 松开 3 颗螺丝 (C),取下 HU 板。 8.3. 取下插槽块 1. 从连接件 (DS1,DS3)松开柔性电缆。 2. 断开连接件 (DS2,DS4,DS6,DS7,DS8,DS15)。 3. 松开 5 颗螺丝,取下插槽块。 8.4. 取下 HX 板 1. 取下插槽块。 (请参见取下插槽块) 2. 松开 6 颗螺丝,取下插槽盖。 3. 断开连接件 (HX1)。 4. 松开 4 颗六角形螺丝,松开 HX 板的 2 颗螺丝,取下 HX 板。 8.5. 取下 DS 板 1. 取下插槽块。 (请参见取下插槽块) 2. 松开 6 颗螺丝,取下插槽盖。 3. 断开连接件 (DS14)。 20 4. 松开 10 颗螺丝,取下固定板。 5. 松开 3 颗螺丝,取下 DS 板。 8.6. 取下 DN 板 1. 从连接件 (DN1,DN2)松开柔性电缆。 2. 断开连接件 (DN5,DN31 和 DN32)。 3. 松开 4 颗螺丝,取下 DN 板和固定板。 注意: • 交换 DN 板后在 MS 模式中进行目的地重新设定。 8.7. 取下 D 板 1. 取下插槽块。 (请参见取下插槽块) 2. 断开连接件 (D5,D25)。 3. 从连接件 (D20,D31,D32)松开柔性电缆。 4. 松开 4 颗螺丝,取下 D 板。 8.8. 取下 P 板 1. 断开连接件 (P2,P6,P7,P9,P11,P12,和 P25)。 2. 松开 11 颗螺丝,取下 P 板。 8.9. 取下 H3 板 (左,右) 1. 松开 2 颗螺丝,取下扬声器端子块 (左,右)。 2. 断开连接件 (H37)。 3. 松开 3 颗螺丝 (G),取下 H3 板。 8.10. 取下 SU,SD 板 1. 取下扬声器端子块 (右)。 (请参见取下 H3 板 (左,右)) 2. 从连接件 (SU1,SU2,SU3,SU4,SU11,SD1,SD2,SD3, SD4 和 SD11)松开柔性电缆。 3. 断开连接件 (SU41,SD42 和 SD46)。 21 4. 松开 8 颗螺丝,取下 SU 和 SD 板。 8.11. 取下 SC 板 1. 取下扬声器端子块 (右)。 (请参见取下 H3 板 (左,右)) 2. 断开连接件 (SU41,SD42 和 SD46)。 3. 松开 8 颗螺丝。 4. 将 SU 板和 SD 板滑至左侧。 5. 断开连接件 (SC2)。 6. 从连接件 (SC20)松开柔性电缆。 7. 松开 6 颗螺丝,取下 SC 板。 8.12. 取下 SS2,SS3 板 1. 断开连接件 (SS02)。 2. 从连接件 (SS52)松开柔性电缆。 3. 断开连接件 (SS03)。 4. 从连接件 (SS57)松开柔性电缆。 5. 松开 4 颗螺丝,取下 SS2,SS3 板。 8.13. 取下 SS 板 1. 断开连接件 (SS02,SS03,SS11,SS12,SS23 和 SS34)。 2. 从连接件 (SS54 和 SS55)松开柔性电缆。 3. 松开 5 颗螺丝,取下 SS 板。 22 8.14. 取下 C1 板 1. 取下插槽块。 (请参见取下插槽块) 2. 松开 4 颗螺丝,取下右支架组件。 3. 松开 1 颗螺丝,取下扬声器端子块 (右)。 4. 从连接件 (C10 和 C11)松开柔性电缆。 5. 松开 10 颗螺丝 ( ),从连接件 (CB1,CB2,CB3,CB4 和 CB5)松开柔性电缆。 6. 松开 6 颗螺丝 ( ),取下 C1 板。 8.15. 取下 C2 板 1. 取下插槽块。 (请参见取下插槽块) 2. 从连接件 (C20,C21 和 C22)松开柔性电缆。 3. 松开 6 颗螺丝 ( ),从连接件 (CB6,CB7 和 CB8)松开 柔性电缆。 4. 松开 4 颗螺丝 ( ),取下 C2 板。 8.16. 取下 C3 板 1. 松开 4 颗螺丝,取下左支架组件。 2. 松开 1 颗螺丝,取下扬声器端子块 (左)。 3. 断开连接件 (C33)。 4. 从连接件 (C32)松开柔性电缆。 5. 松开 6 颗螺丝 ( ), 从连接件 (CB9,CB10 和 CB11)松 开柔性电缆。 6. 松开 4 颗螺丝 ( ),取下 C3 板。 8.17. 取下 S1 板 1. 松开 2 颗螺丝 (H), 2. 断开连接件 (S34)。 3. 松开 1 颗螺丝 (J),取下 S1 板。 23 8.18. 取下风扇 1. 松开 6 颗螺丝 (H),取下 2 个风扇组件。 2. 断开风扇继电器连接件。 3. 松开 8 颗螺丝 (K),取下风扇。 4. 以相反顺序重新组装风扇。 5. 将风扇海绵放置于风扇周围。 注意: • 海绵不能重复使用。请在更换风扇的同时更换新的海绵。 8.19. 取下画框和前面玻璃 8.19.1. 取下画框 1. 取下 S1 板组件。 (请参见取下 S1 板) 2. 断开连接件 (DS2,DS8 和 DS15)。 3. 松开 12 颗螺丝。 4. 按箭头 1 方向将等离子显示屏底部抬升。 5. 按箭头 2 方向将等离子显示屏拖动,取下等离子显示屏。 6. 松开 25 颗螺丝,取下上、下、左、右玻璃固定板。 7. 取下前面玻璃。 24 8.19.2. 取下前面玻璃 1. 取下画框。 (请参见取下画框) 注意:更换前面玻璃时。 • 沿上、下、右、左的四个固定角将前面玻璃海绵紧贴在前 面玻璃上。 注意: • 海绵不能重复使用。请在更换前面玻璃的同时更换新的海 绵。 8.20. 取下 V1,V2 板 1. 取下画框。 (请参见取下画框) 2. 松开 13 颗螺丝 , 取下右和下玻璃固定板 (A,D)。 3. 松开 1 颗螺丝 (左 )。 4. 断开连接件 (V2),取下 V1 板。 5. 从 V2 板上取下控制按钮 6. 断开连接件 (V15),取下 V2 板。 7. 松开 2 个卡钩并移除电源按钮和弹簧。 8.21. 取下等离子显示屏 将 C1, C2 和 C3 板与等离子显示屏连接以便维修。 1. 松开 6 颗螺丝,取下 2 个风扇组件。 2. 断开风扇继电器连接件 3. 松开 8 颗螺丝,取下支架组件 (左、右)。 4. 从连接件 (DS1 和 DS3)松开柔性电缆。 5. 断开连接件 (DS2,DS4,DS6,DS7,DS8 和 DS15)。 6. 松开 5 颗螺丝,取下插槽组件。 7. 断开连接件 (DN5)。 8. 松开 4 颗螺丝,取下 DN 板和固定板。 9. 断开连接件 (D25)。 10. 从连接件 (C11,C21 和 SC20)松开柔性电缆。 25 11. 松开 4 颗螺丝,取下 D 板。 12. 断开连接件 (P2,P9,P11 和 P12)。 13. 松开 11 颗螺丝,取下 P 板。 14. 松开 2 颗螺丝,取下扬声器端子块 (左、右)。 15. 从连接件 (SU1,SU2,SU3,SU4,SU11,SD1,SD2,SD3 和 SD4)松开柔性电缆。 16. 断开连接件 (SU41,SU42 和 SU46)。 17. 松开 8 颗螺丝,取下 SU,SD 板。 18. 松开 6 颗螺丝,取下 SC 板。 19. 断开连接件 (C33,SS02,SS03 和 SS34)。 20. 从连接件 (SS54 和 SS55)松开柔性电缆。 21. 松开 5 颗螺丝,取下 SS 板。 22. 从连接件 (SS52 和 SS57)松开柔性电缆。 26 23. 松开 4 颗螺丝,取下 SS2,SS3 板。 24. 从连接件 (C10,C20,C22 和 C32)松开柔性电缆。 25. 松开 3 颗螺丝,取下 AC 接入口组件。 26. 松开 2 颗螺丝,取下 S1 板组件。 27. 松开 12 颗螺丝。 28. 按箭头 1 方向将等离子显示屏底部抬升。 29. 按箭头 2 方向将等离子显示屏拖动,取下等离子显示屏。 30. 从等离子显示屏上取下左、右后盖卡钩。 31. 从等离子显示屏面板松开 8 处垫片及垫片环。 注意: • 更换等离子显示屏时,请确认左右后盖卡钩、垫片和垫片 环的安装位置,且在更换等离子显示屏后将它们安装在原 先的位置。 27 9 测量和调整 9.1. 调整步骤 9.1.1. 驱动器设置 9.1.1.1. 项目 / 准备 1. 设置老化模式:IIC 模式下为 0 (白模式信号) 2. 如下设定图像控制: 图像菜单:最佳 图像: +25 宽高比:全屏 注意 1. 首先进行 Vsus 调整。 2. Vad 调整确认后,再确定 Vscn 电压。 当 Vad = -149 时,Vscn 的电压为 -4V ± 4V。 9.1.1.2. 调整 调整驱动器各部分的电压。(参照显示屏数据标牌上的显示屏数 据。) 使用万用表检查或调整下面的电压。 * 见显示屏标牌 名称 测试点 电压 调整点 备注 Vsus TPVSUS(SS) Vsus±2V R628(P) * Ve TPVE(SS) Ve±1V VR16000(SS) * Vset TPVSET(SC) 320V+7V,-9V 固定 Vad TPVAD(SC) -149V±1V VR16600(SC) Vscn TPVSCN(SC) Vad+145V±4V 固定 Vda TPVDA(SS) 75V+1V,-2V 固定 PFC C446(+)(-) 396V±0.5V R443(P) 28 9.1.2. 初始化脉冲调整 1. 设置老化模式:IIC 模式下为 0 (白模式信号) 2. 如下设定图像控制: 图像菜单:最佳 图像: +25 宽高比:全屏 3. 连接示波器至测试点 TPSC1,并调整 VR16602 至 210 ± 10V。 9.1.3. P.C.B. (印刷电路板)更换 9.1.3.1. 注意 1. 由于电解电容器放电原因,电源切断后等候一分钟再取下 P.B.C.。 9.1.3.2. P.C.B. 更换后进行快速调整 用万用表按下列电压值调整电压。 * 见显示屏标牌。 注: 请勿将 Vsus 设置到 Ve 以下,以防损坏 P.C.B. 板。 测试点 调整点 等级 TPSC1(SC) VR16602(SC) 210 ± 10V 以 100μs 周期下斜 P.C.B. 名称 测试点 电压 调整点 备注 P 板 Vsus TPVSUS (SS) Vsus ± 2V R628 (P) * PFC C446(+)(-)(P) 396V ± 0.5V R443 (P) SC 板 Vad TPVAD (SC) -149V ± 1V VR16600 (SC) SS 板 Ve TPVE (SS) Ve ± 1V VR16000 (SS) * D,DS,DN 板 NTSC, PAL, HD, PC 和 625i 信号的白平衡、背景设定和副亮度。 DN 板 通过 MS 模式设置市场选定编号来更正目的地。(见 6.1.4 章节) 29 9.1.4. 调整点位置 9.1.5. 测试点位置 30 9.2. 调整 9.2.1. RGB 白平衡调整 仪器名称 连接 备注 • RGB VGA 黑白模式 • 彩色分析仪 (Minolta CA-100 或同等产品) PC 输入 显示屏表面 用户设定:正常 (图像菜单:最佳) 步骤 备注 [ 条件 ] • 确保充分老练。 • 确保前面框已经安装在整机上。 • 确认调整之前无彩色信号显示。 • 将彩色分析仪放置在有轻微色差的地方。 1. 设置 COMPONENT/RGB 输入选择 RGB。 2. 选择 IIC 模式 “PANEL W/B Adj.”(显示屏白平衡调整)项目。 3. 检查以确认色温为 “冷色 (高)”。 4. 输出白平衡模式。 5. 调整彩色分析仪的信号接收器到高亮窗口的中间位置。 6. 固定 G 驱动为 E0h,然后调整 B 驱动和 R 驱动,将 x,y 的值调整为下表 “高色温”的值。 7. 同时增加 R/G/B,将 R/G/B 的最大驱动值调整为 FCh。 8. 将色温设置为 “正常 (中)”。 9. 固定G驱动为E0h,然后调整B驱动和R驱动,将高亮窗口x,y的值调整为下表“中色温”的值。 10. 同时增加 R/G/B,将 R/G/B 的最大驱动值调整为 FCh。 11. 将色温设置为 “暖色 (低)”。 12. 设置G驱动为E0h,然后调整B驱动和R驱动,将高亮窗口x,y的值调整为下表“低色温”的值。 13. 同时增加 R/G/B,将 R/G/B 的最大驱动值调整为 FCh。 14. 将以上步骤中取得的 R 驱动,G 驱动和 B 驱动数据复制到 NTSC,PAL DVI 区域。 调整目标值 高亮:x ± 0.003 y ± 0.003 高亮指的是在高亮窗口驱动调整的目标值。 因此它不是调整白平衡后的高亮目标值。 图像菜单:最佳 图像:25 宽高比:全屏 位置及尺寸:正常 • 高亮显示部分信号振幅 75% • 驱动标准 G: E0h 31 32 9.2.2. HD 白平衡调整 仪器名称 连接 备注 • HD 黑白模式 (分量输出) • 彩色分析仪 (Minolta CA-100 或同等产品) PC 输入 显示屏表面 用户设定:正常 (图像菜单:最佳) 步骤 备注 [ 条件 ] • 确保充分老练。 • 确保前面框已经安装在整机上。 • 确认调整之前无彩色信号显示。 • 将彩色分析仪放置在有轻微色差的地方。 1. 设置 COMPONENT/RGB 输入选择 COMPONENT (分量)。 2. 选择 IIC 模式 “PANEL W/B Adj.”(显示屏白平衡调整)项目。 3. 检查以确认色温为 “冷色 (高)”。 4. 输出白平衡模式。 5. 调整彩色分析仪的信号接收器到高亮窗口的中间位置。 6. 固定 G 驱动为 E0h,然后调整 B 驱动和 R 驱动,将 x,y 的值调整为下表 “高色温”的值。 7. 同时增加 R/G/B,将 R/G/B 的最大驱动值调整为 FCh。 8. 将色温设置为 “正常 (中)”。 9. 固定G驱动为E0h,然后调整B驱动和R驱动,将高亮窗口x,y的值调整为下表“中色温”的值。 10. 同时增加 R/G/B,将 R/G/B 的最大驱动值调整为 FCh。 11. 将色温设置为 “暖色 (低)”。 12. 设置G驱动为E0h,然后调整B驱动和R驱动,将高亮窗口x,y的值调整为下表“低色温”的值。 13. 同时增加 R/G/B,将 R/G/B 的最大驱动值调整为 FCh。 14. 将以上步骤中取得的 R 驱动,G 驱动和 B 驱动数据复制到 YUV1_525ip, YUV3_625ip 区域。 调整目标值 高亮:x ± 0.003 y ± 0.003 高亮指的是在高亮窗口驱动调整的目标值。 因此它不是调整白平衡后的高亮目标值。 图像菜单:最佳 图像:25 宽高比:全屏 位置及尺寸:正常 • 高亮显示部分信号振幅 75% • 驱动标准 G: E0h 33 34 9.2.3. 电源控制调整 仪器名称 连接 备注 • PC(RGB) 信号发生器。 (信号源:VGA/No.9 信号) • 功率计 • PC 输入 • 将调整设置的 AC 电源连接到功率计。 在设定菜单的 “COMPONENT/RGB-IN SELECT”设 置 “RGB”。 步骤 备注 [ 条件 ] • 确保调整前充分实施老炼 30 分钟或以上。 • 电压 220V 50/60Hz( 在 1% 范围内变化 ) • 音量最小,全屏状态 • PC 输入和图像菜单设为:标准 动态 1. 将设置的 AC 电源连接到功率计。 2. 从信号源接收 VGA No.9 信号。 3. 在 IIC 模式下选择显示屏 APL/ABL 的 PWRCTL 项目。 4. 调整 PWRCTL,将设置的电源消耗调整到下面所述的功率。 将 DAC 从大到小调整 有 OSD 的工厂调整 356 + 0/-15W No.9 信号 上半部:全彩条 下半部:16 级灰度等级 注意: 1. 当退出工场模式时,约有数瓦的功率下 降。 2. 当有两个调整点时,调整 DAC 到较大值。 35 10 方框图 10.1. 方框图 (1/8) (LED:13TIME) (LED:2TIME) (LED:13TIME) (LED:10TIMES) (LED:11TIMES) (LED:11TIMES) (LED:10TIME) RESET DN5 IP CONV. DN1 DS6 DS1 SOUND +12V +12V(SND) ASIC OUTA (30bit) +9V DN2 A/D_C HD,VD Y,PB,PR R/G/B 30bit REMOTE IN R,B,G R(10bit) G(10bit) B(10bit) +9V V15 +5V MICOM LED_G/LED_R HD/VD_1 STB+3.3V HD/VD KEYSCAN STB+3.3V HD,VD DS2 DS15 SLOT1 DS11 DS14 HD,VD B V2 +15V(SND) LVDS RX EVEN 10bit ODD 10bit +5V(STB) L/R_1 from P6 L/R_2 KEYSCAN L/R_3 LED HD/VD_2 HD/VD_3 R+/- DS8 P+5V H37 +9V HD/VD_4 L+/- L,R PC Y,PB,PR D5 from P7 to HX1 DS3 REMOTE IN DS4 POWER ON/OFF P_ON/OFF +3.3V(STB) +15V(P) +5V(P) L/R L/R_4 LVDS IN A LVDS IN B KEY SWITCH L+/- ASIC OUTB (30bit) 10bit LVDS OSD VIDEO SIGNAL PROCESSOR SCW3 10bit LVDS +5V +3.3V +1.8V +9V(P) +5V(P) +3.3V(P) +1.8V(P) P+5V SOS P+15V SOS +2.5V SOS DN BOARD SOS +15V(P) +5V(P) +1.8V SOS +1.2V SOS +3.3V SOS +2.5V(P) +1.8V(P) +1.2V(P) +3.3V(P) TERMINAL H3 SPEAKER SPEAKER L TERMINALS DS SLOT INTERFACE/SYNC PROCESSOR/SOUND PROCESSOR AUDIO SELECT SOUND CONTROL EQUALIZER SP AMP DS7 TERMINAL SPEAKER R SPEAKER R+/- H37 TERMINALS H3 R+/- HD/VD SELECT COMPONENT SELECT EVEN 10bit ODD 10bit Y/PB/PR_3 Y/PB/PR_4 Y/PB/PR_2 Y/PB/PR_1 LED_G LED_R REMOTE RECEIVER LED_G LED_R TTL CONV. TTL CONV. LVDS RX A SCW3 PANEL SOS PANEL STB_ON PANEL READY PANEL STB_ON PANEL SOS PANEL READY L+/- DS SOS DET CIRCUIT EEPROM IIC1 RESET DDR2 CLKGEN ASIC 30bitx2_ASIC OUT 30bitx2_RGB VIDEO SIGNAL PROCESSOR FAN_CONT Ex.I/O FAN POWER +15V(FAN) FAN_A-B CIRCUIT FAN SOS DET DN31 +9/7.2V DN32 FAN SOS REMOTE RECEIVER/LED V1 KEY SWITCH V2 SYNC SIGNAL PROCESSOR SYNC SIGNAL INVERTER L/R_4 HD/VD_4 Y/PB/PR_4 DS BOARD SOS PC/RS232C TERMINAL HX DN DIGITAL SIGNAL PROCESSOR +15V(FAN) FSTB+15V +15V(SND) +5V(STB) +3.3V(STB) +5V(P) +5V(STB) FSTB+15V +15V(FAN) +15V(FAN) +14V(LAN) +2.5V(P) +1.8V +3.3V +1.2V +1.8V(P) +3.3V(STB) +15V(P) +15V(P) +15V(P) +2.5V +1.2V(P) +3.3V(SW) +3.3V(P) +9V L/R_2 +3.3V STB+5V DS12 +5V LAN+15V LVDS_B +5V(STB) +3.3V(P) +5V(P) +9V(P) L/R_1 LVDS_A STB+5V +9V DS13 L/R_3 Y/PB/PR_3 +9V(P) +5V(P) +14V(LAN) +3.3V(P) +12V(SND) +5V(STB) SLOT1-3 SOS (LED:13TIME) (LED:2TIME) (LED:13TIME) (LED:10TIMES) (LED:11TIMES) (LED:11TIMES) (LED:10TIME) TH-50PH11CK Block (1 of 8) Diagram TH-50PH11CK Block (1 of 8) Diagram AV SW LVDS7X ADC S-VIDEO L,R VIDEO H1 +5V(STB) +9V(P) +3.3V(P) +5V(P) DUAL VIDEO TERMINAL(BNC/S) HU 36 10.2. 方框图 (2/8) HO HOT COLD COLD (LED:6TIMES) (LED:6TIMES) (LED:7TIMES) (LED:7TIMES) (LED:4TIME) (LED:4TIME) (LED (LED 8 TIME) TIME) (LED:3TIMES) (LED:3TIMES) (LED:4TIMES) (LED:4TIMES) (LED:5TIMES) (LED:5TIMES) (LED:6TIMES) (LED:6TIMES) (LED:7TIMES) (LED:7TIMES) (LED:8TIMES) (LED:8TIMES) (LED:2TIMES) (LED:2TIMES) SS34 C1 (LOWER) CONNECTOR RECTIFIER SC2 SC42 SUSTAIN RECTIFIER SOS7_SC2 (UPPER) STANBY VOLTAGE CONTROL SC41 VSUS Vda ON MAIN SW1 SU11 MAIN SW2 SD11 SC20 SC-BOARD ENEGRY RECOVERY SOS DETECT SU41 +5V(P) SC46 SCAN DRIVER SS2 +15V(P) SC-BOARD FLOTING PART SOS DETECT +15V(P) F+15V SD46 P11 P-BOARD SOS DETECT DATA DRIVER MAIN SW1 DATA DRIVER P2 SCAN CONTROL +5V(P) P25 SCAN OUT (UPPER) Vda PS SOS POWER SUPPLY +5V(P) C21 SCAN DRIVE SU +15V(P) SD C10 SS21 SUSTAIN DRIVE C32 SS02 +5V(P) VIDEO DATA +15V(P) POWER MICOM Vda ON/OFF CONTROL POWER SW P12 SOS8_SS STANBY VOLTAGE RECTIFIER VIDEO DATA SUSTAIN PULSE SOS8_SS DATA DRIVER DATA DRIVER DATA DRIVER DATA DRIVER C22 SS +5V(P) S1 P9 C20 POWER SWITCH SUSTAIN VOLTAGE CONTROL DATA DRIVER (LEFT) SUSTAIN VOLTAGE RECTIFIER SUSTAIN CONTROL SCAN OUT (LOWER) C11 PROCESS VOLTAGE RECTIFIER C3 +5V(P) Vda POWER FACTOR CONTROL SUSTAIN VIDEO DATA PROCESS VOLTAGE CONTROL DATA DRIVER AC CORD SS11 SS03 SS22 VSUS C33 SS-BOARD SOS DETECT SUSTAIN CONTROL Vda +5V(P) SOS8_SS +5V(P) ADDRESS VOLTAGE (VE) CONTROL PULSE SCAN PULSE VOLTAGE GENERATOR SCAN DRIVER SUSTAIN PULSE +5V(STB) RELAY VSUS LINE FILTER SS23 SUSTAIN CONTROL LINE FILTER +5V(P) MAIN SW2 SOS6_SC1 SD42 DATA DRIVER S34 DATA DRIVER SS12 DATA DRIVER ERASE PULSE DATA DRIVER SC MAIN SW2 +15V(P) DATA DRIVER (CENTER) Vda MAIN SW1 DATA DRIVER (RIGHT) VSUS C2 SS3 P CONNECTOR +15V(FAN) FSTB+15V to +15V(SND) P6 +5V(STB) P7 DS4 to DS6 D31 +5V(P) SOS4_PS +5V(P) DET DN5 SOS6_SC1 GenX6 SOS8_SS H/V SYNC CONTROL SOS7_SC2 RESET +5V(P) D25 (STB) +15V(P) DET DDR SCAN CONTROL DISCHARGE CONTROL +3.3V DCDC FLASH PANEL READY PANEL MAIN ON +1.2V(P) +5V(P) VIDEO DATA +3.3V PANEL STB_ON SOS8_SS +5V(P) D32 FORMAT CONVERTER, D D20 RESET PLASMA AI PROCESSOR +15V(P) D5 +2.5V +5V(STB) +2.5V(P) DCDC from +1.2V PANEL SOS LVDS RX DATA DRIVER MEMORY (24bit) (24bit) VIDEO DATA SOS8_SS +15V(P) SOS6_SC1 +3.3V(P) DET EEPROM SUSTAIN CONTROL +15V(P) +3.3V(STB) CONTROL SIGNAL 10bit LVDS PANEL MICOM (STB) DCDC +5V +15V(P) POWER SOS +3.3V(P) SOS4_PS SOS7_SC2 PLASMA AI +5V(P) CPG with SS +3.3V(P) SUB-FIELD PROCESSOR HOT COLD (LED:6TIMES) (LED:7TIMES) (LED:4TIME) (LED 8 TIME) (LED:3TIMES) (LED:4TIMES) (LED:5TIMES) (LED:6TIMES) (LED:7TIMES) (LED:8TIMES) (LED:2TIMES) TH-50PH11CK Block (2 of 8) Diagram TH-50PH11CK Block (2 of 8) Diagram 37 10.3. 方框图 (3/8) TH-50PH11CK Block (3 of 8) Diagram TH-50PH11CK Block (3 of 8) Diagram C Y L R L R 1.8V 1.8V 3.3V 3.3V 3.3V 5V 5V_STB 5V_STB 9V 5V 3.3V 3.3V 9V 1 2 4 12 10 14 9 11 HU DUAL VIDEO TERMINAL(BNC/S) B1 B2 5 A2 6 3 LEVEL CHANGE A1 2 SDA SCL 6 5 IC3309 CONFIG ROM 1 5 VOUT VDD IC3303 AVR 1.8V 43 45 40 36 Q3302,Q3306 29 V/Y N I ) b d 6 + ( V/CVB (+6db) Q3301,Q3305 C C IN 68 6db 6db 6db Y IN 1 1 VOUT 1 COUT YOUT 1 V1 LV1 RV1 C2 Y2 S2 LV2 RV2 LOGIC 26 27 SCL SDA 6db 0db 6db 0db 39 1 LOUT 41 1 ROUT JK3301 VIDEO IN JK3302 AUDIO IN L R S-VIDEO IN JK3304 JK3303 R AUDIO IN L 164 X3301 27MHz HD VIDEO DECODER (10bit ADC) IC3304 SDRAM IC3305 16M bit 60 RESETX VCC VOUT 4 5 RESET IC3302 96 95 93 94 92 91 90 89 105 106 84 83 MPU I/F SCL SDATX SCL SDA IC3306 3,3V 5V 4 31 12 27 7 28 10 6 11 8 14 ANALOG FRONT END(MUX/CLAM/AGC) DOUT(2) SCL B12 TXC+ TXC- TO DS11 SDA H1 B25 B24 39 37 40 42 41 45 38 46 47 48 B11 B15 B9 B14 B6 B8 B3 B5 B2 TX3+ TX3- TX2+ TX2- TX1+ TX1- TX0+ TX0- B28 PLUG DETECT B23 SRQ H0 2 6 7 FACTORY FOR USE SRQ SCL SDA SCL(5V) SDA(5V) A26 L R A28 Q3304 Q3303 L(0dB) R(0dB) S2 DETECT B36 A22 5V_STB 9V A21 9V B21 A19 5V 5V 3.3V A17 B19 B17 3.3V SDRAM I/F XIN 99 CLOCK GENE DOUT(3) DOUT(4) DOUT(5) DOUT(7) DOUT(6) DOUT(8) DOUT(9) G0 G1 G2 G5 G3 G4 G7 G6 TCLK+ TD+ TC+ TB+ TD- TA+ TC- TB- TA- TCLK- IC3307 LVDS TX TC4 CLK_IN TC5 HD VD VD HD RCLK0 27MHz VIDEO SIGNAL PROCCESSOR Synchroni- zation Y/C Sepa Chroma Demo Noise Reduce Picture Adjust/ Enhancer Flame TBC OUTPUT I/F(FORMATTER/BUFFER) AV SW IC3301 ADC ADC SCL(3.3V) SDA(3.3V) TD2 TD3 TB0 TA6 TB2 TB1 TB4 TB3 38 10.4. 方框图 (4/8) (LED:10TIMES) DS_SOS LAN14V_ON/OFF DAC0 DAC1 DAC1 DAC0 REMOCON_OUT SOS_S1/S2/S3 +5V(STB) D8200 Q8201 D8211 D8203 Q8202 D8210 R8203 Q8200 D8212 R8200 D8213 R8202 D8204 +14V(LAN) +15V(FAN) +5V(STB) S2_TXD Y_2 5V A17 B31 B_OC+/- A28 A15 A30 IIC3 A36 SDA/SCL_S1 RS232C A22 SOS +9V SDA/SCL_S2 PB_3 A21 SDA/SCL_S3 B30 B31 B_EE+/- B21 6 RESET VCC B19 A10 B_EA+/- S2_3 B40 TXD_S1 B23 8 TXD_S2 Y_3 REMOTE_OUT_S2 8 B27 HD_3 B26 PC_R TXD_S3 A19 A32 RXD_S1 SOS_S3 PB_2 DS11 EEPROM RXD_S2 SLOT1_DET RXD_S3 TXD_S3 R_4 A40 A17 12 13 B30 B_OA+/- 2 TXD_PC B3 DS12 A_ED+/- VD_3 Y_4 A_EE+/- A40 B35 A_OB+/- 10 RESET SLOT_TXD B37 SLOT_RXD REMOTE_OUT_S3 A13 2 SOS_S1 IIC_CONT 6 2 A_EC+/- RESET S2_2 4 PR_4 REMOTE_OUT_S1 13 SDA_S2 B_OB+/- B40 1 3 SOS_S2 SLOT3_DET 12 B26 5 A30 1 A_OE+/- B15 15 2 14 A_EB+/- 1 A32 4 TX8+/- TXC+/- TX0+/- TXD_S1 B_OE+/- A_OA+/- 14 S2_RXD TX1+/- TXD_PC TX7+/- 3 13 PC_B IIC_CONT1(SRQ) SLOT+9V RXD_S3 15 SLOT3 1 B6 1 B25 B35 DS 15 PR/R V15 2 PB/B B27 A28 PC_R R_1 SLOT2 PR_1 B19 SLOT1 DS2 S2 B38 3 PB_1 S2_1 B_EC+/- A34 Y_1 B23 6 Y/G L_1 1 VD_1 HD_2 PC-VD 14 R_2 HD_1 SERIAL SELECT PR_2 RXD_S1 IC3006 HD_4 IC3002 TXD 10 B36 IIC_CONT B37 B28 B17 RXD IIC SW A3 SDA_S1 PR_3 KEY SW A34 12 SCL_S1 B24 RESET DAC0 VD_2 TX6+/- DAC1 A_OC+/- B_OD+/- TX2+/- L_2 VD_4 TX5+/- B_EB+/- A38 TX9+/- B_ED+/- 5 B_CLK+/- TX3+/- A5 A38 RXD_PC SCL_S3 TX4+/- A_EA+/- SLOT2_DET LED_G LED_R B25 B28 A36 B24 DS 14 A_CLK+/- B38 B17 B9 SDA_S3 HX1 A19 A8 A21 A_OD+/- PC_L PB_4 REMOTE B12 KEY_SW IIC_CONT A26 IC3901 SLOT9V L_3 B21 B36 SCL_S2 15 PC_HD A22 R_3 PC_G DS13 L_4 RXD_PC A26 +15V(P) +9V(P) +3.3V(P) +5V(P) B5 A2 A12 B11 A14 A4 A7 A9 B14 B2 A8 A34 B6 B27 B14 A3 A36 B2 A13 B12 A21 A15 B30 B31 B28 B5 B19 A38 B24 A14 A5 A19 B23 B40 A22 A32 A8 B36 A40 B38 B35 B25 A2 A10 B37 A17 B11 B15 A8 A4 B3 A7 A30 B17 B9 A28 B26 A9 A12 B21 A26 IC3153 Q8020-23 D8012-15 D8201 D8209 +1.8V(P) +12V(SND) SHORT SOS OVER VOLTAGE SOS IIC_SW_DAC3/DAC4 VCC VCC REMOTE_OUT_S1 REMOTE_OUT_S2 REMOTE_OUT_S3 ALL_OFF 1 STB_ON DS4 7 5 +5V(STB) +15V(P) STB_ON ALL_OFF 4 5V<-3.3V P7 LED_R LED_G POWER LED REMOTE RECEIVER SLOT3.3V SLOT15V AUDIO IN L STB5V PLUG DET REMOTE SLOT5V VD HD IIC_DATA1 AUDIO IN R SLOT9V IIC_CLOCK1 LAN14V TX3+/- HD IIC_DATA2 AUDIO IN R SLOT9V IIC_CLOCK2 PR/R TX1+/- TX0+/- PB/B TX9+/- S2 REMOTE SLOT15V SLOT5V VD TX8+/- TX6+/- TX2+/- TX7+/- TXC+/- AUDIO IN L IIC_CONT2(SRQ) Y/G TX5+/- LAN14V STB5V TXD PLUG DET SOS RXD SLOT3.3V TX4+/- RESET IIC_DATA3 HD STB5V TXD IIC_CONT3(SRQ) Y/G AUDIO IN L IIC_CLOCK3 AUDIO IN R LAN14V PR/R S2 RESET PLUG DET SOS SLOT15V PB/B VD RXD SLOT3.3V REMOTE SLOT5V DS SLOT INTERFACE/SYNC PROCESSOR/SOUND PROCESSOR LED_G LED_R REMOTE STB+3.3V PC/RS232C TERMINAL HX JK3511 JK3509 JK3513 PC AUDIO IN PC IN IIC_CLOCK4 IIC_DATA4 H1(HDMI-BOARD) REMOTE RECEIVER/LED KEY SWITCH V1 V2 KEY SWITCH 6 1 3 V2 2 D1550 RM001 1 3 5 7 9 11 2 4 6 8 10 13 12 14 15 16 17 18 (LED:10TIMES) TH-50PH11CK Block (4 of 8) Diagram TH-50PH11CK Block (4 of 8) Diagram 39 10.5. 方框图 (5/8) IIC_CONT Y_M LED_G SLOT_TXD PB_M SLOT_RXD STB_ON RESET PR_M SDA3 SCL3 REMOTE_OUT KEY_SW LED_R REMOTE SDA2 SCL2 SLOT3_DET SLOT2_DET SLOT1_DET DS_SOS DAC1 DAC0 IIC_SW_DAC3 IIC_SW_DAC4 ALL_OFF +3.3V(STB) +5V(P) +5V(P) FSTB+15V +5V(STB) +15V(FAN) +14V(LAN) +15V(P) +15V(FAN) LAN+14V +15V(P) S_DATA3 +1.8V 53 IC8005 18 39 Q8012,12 D8011 MAIN 47 IC8181 H37 L/R_3 LED_R L/R_4 DPMS_VD 3 3 46 DS7 16 SP_R+ Y/PB/PR_2 HD_3 Y/PB/PR_3 HD_1 Y/PB/PR_4 HD_2 SDA/ SCL IC2305 VCC IC3005 VD IC3001 SDA/SCL P6 VD_3 38 DN1 REMOTE_OUT VCC FSTB+15V HD VD_1 VD_2 IC805 +12V S_DATA2 43 1 RESET DN2 21 STB_ON 49 11 IIC_CONT SP_R- RXD_TU 63 TXD_TU 27 TXD_PC 59 61 L R SDA/SCL DS1 DVDD KEY_SW IN 24 LED_G IN 23 VOL HD_M +15V(P) IC802 OUT+ VD_M S_CLOCK2 OUT- REMOTE +5V 13 67 IC801 19 VCC 65 IC2302 +9V IC803 DS3 L/R 1 OUT- SHIFT +3.3V LPF 22 36 PHASE OUT+ +5V(P) DPMS_HD SP AMP R PR-M/PB-M/Y-M Green AUDIO SELECT IC2301 +3.3V(STB) VCC 48 VCC L_OUT- R_OUT- BAL AMP 45 +5V(STB) CVDD L_OUT+ AVDD R_OUT+ CS(M) VCC2 HD HD_M VD_M R OUT- S_S1/S2/S3 HD/Green R OUT+ Y/PB/PR_1 HD IC8008 VD IC8007 42 VCC SYNC SWITCH 41 RTC_INT +15V(SND) L/R_1 TONE +15V(SND) L/R_2 A G C DS6 IC2303 RXD_PC RXD_PC TIME CLOCK DRIVER +15V(SND) RS232C IIC ON/OFF IC804 40 TXD_PC S_CLOCK3 IC8014 +15V (SND) +9V(P) +3.3V(P) +5V(P) +15V(P) FSTB+15V FSTB+15V 9 8 7 3 2 1 33 67 36 2 VD VCC V Sync HD SEPA SEPA H Sync VD Q8010,11 D8010 VD_4 HD_4 HD/VD SWITCH VCC IC3007 VCC +15V(FAN) 52 DPMS_HD 5V->3.3V IC8017 IC8018 VCC DPMS_VD 5V->3.3V IC3003 Ex.I/O CS(M) SDA/ SCL SYNC_INH(M) VCC FAN_CONT VCC1 FSTB+15V_MON LAN+14V_ON/OFF 15V_ON/OFF +15V(P) 54 2 3 4 Q804 Q802 Q803 Q801 IIC3 IIC3 IIC3 IIC3 15V_ON/OFF LAN+14V_ON/OFF Q805,06 FSTB+15V_MON 5V<->3.3V Q8183,84 VCC SLOT3_DET DAC0 DAC1 DS_SOS IIC_SW_DAC3 IIC_SW_DAC4 ALL_OFF 17 28 29 30 26 32 33 34 35 10 +1.8V(P) +12V(SND) LAN+14V_ ON/OFF IIC2 IIC3 IIC3 IIC3 IIC3 +3.3V(P) +5V(P) +9V(P) +9V(P) +12V(SND) IIC2 EQUALIZER SOUND CONTROL SYNC SIGNAL PROCESSOR COMPONENT SELECT HD/VD SELECT COMPONENT SELECT ASPECT DET SP AMP L SYNC SIGNAL INVERTER HD/VD SELECT SYNC SIGNAL PROCESSOR R/PR_M G/Y_M HD_M B/PB_M VD_M FAN_CONT SLOT2_DET SLOT1_DET SPEAKER R TERMINAL TERMINALS SPEAKER H3 DS SLOT INTERFACE/SYNC PROCESSOR/SOUND PROCESSOR SPEAKER L 1 SP_L- TERMINAL TERMINALS H3 SP_L+ H37 DS8 1 L OUT+ L OUT- 3 SPEAKER 3 B_CLK+- B_OA+- - OE+- A_CLK+- B_EA+- - EE+- A_OA+- - OE+- A_EA+- - EE+- B_OA+- - OE+- A_CLK+- B_EA+- - EE+- A_OA+- - OE+- A_EA+- - EE+- B_CLK+- +3.3V(P) +5V(P) +9V(P) 11 4 15 8 2 3 18 14 16 17 1 7 6 13 12 5 10 9 TH-50PH11CK Block (5 of 8) Diagram TH-50PH11CK Block (5 of 8) Diagram 40 10.6. 方框图 (6/8) G G (LED:2TIME) (LED:2TIME) (LED:13TIME) (LED:13TIME) (LED:10TIME) (LED:10TIME) (LED:11TIMES) (LED:11TIMES) (LED:11TIMES) (LED:11TIMES) (LED:10TIME) (LED:10TIME) VD-M TXD_PC ALARM RESET RXD_PC DPMS_HD STB_ON HD-M READY PLLH PLLV DPMS_VD PANEL_STBY_ON DS_SOS ALL_OFF HD01 VD01 PANEL_STBY_ON ALARM READY TXD_PC_M 5VTXD_TU RXD_PC DPMS_VD DS_SOS 15V_ON/OFF LED_R FSTB+15V_MON LED_G STB_ON DPMS_HD RTC_INT FAN_SOS DAC1 IIC_CONT DAC0 IIC_SW_DAC3 KEY_INPUT IIC_SW_DAC4 LAN+14V_ON/OFF 3.3VRXD_TU ALL_OFF RESET FAN_SOS FAN_CONT DPMS_HD DPMS_VD PI1HS PI1VS DAC1 IIC_SW_DAC4 IIC_SW_DAC3 DAC0 SLOT3_DET SLOT2_DET SLOT1_DET LAN+14V_ON/OFF FSTB+15V_MON 15V_ON/OFF RTC_INT FAN_CONT 5VTXD_TU 5VRXD_TU LED_R LED_G KEY_INPUT IIC_CONT D_TXD TXD_PC_M TXD_PC RXD_PC 5VRXD_TU D_RXD 3.3VRXD_TU RTC_INT +5V(P) +3.3V(STB) +1.8V(P) D4716 +15V(P) D4714 +1.2V(P) +5V(P) D4715 +2.5V(P) +3.3V(P) +3.3V(P) +1.2V(P) +5V(STB) +15V(FAN) +15V(P) D4901 PA4901 D4713 +2.5V(P) TPFA9 TPF0S +5V(FAN) +3.3V(STB) +1.2V(P) +1.8V(P) R4361 +3.3V(SW) +2.5V(P) D4712 +3.3V R4909 FL4501 +3.3V(P) STB+5V +3.3V(SW) +3.3V(SW) +3.3V(SW) +3.3V(STB) +3.3V(STB) +1.8V(P) D-LVDS3 DDR_SDRAM DQ1-DQ15 22 CLK ASIC 15 1 ROUT SDA3/SCL3 30bit 48 B-LVDS1 D5 HSYNC 42 SCW IN A IIC1 36 B+LVDS1 HD_M - PI1D(0)-(29) EVEN 28 +1.8V AVDD 10 DN1 +5V(STB) B_CLK+- PB_M +2.5V 21 S_DATA2 14 REMOTE_OUT HSYNC/VSYNC/CLAMP IC4501 PI1D(10)-(19) G/Y_M RE0-9(10bit) 30bit Q4707 CLOCK LVDS EVEN IC4514 SCW3 EEPROM 24 Q4705 LVDS ODD 4 58 67 SDA/SCL +1.2V SOS AD_B0-B9 GE0-9(10bit) 6 +3.3V 30 [A] GOUT DS1 P+15V SOS 9 4 HD_M/ VD_M S_CLOCK2 31 A+LVDS0 20 E-LVDS4 DPMS_VD 10bit RGB VIDEO SIGNAL IC4002 RXD_PC D+LVDS3 - SCW3 IN 29 +3.3V R/G/B PI2D(0)-(29) LVDS CLK HD_ADA VD_ADA CLPA 27 33 19 A_CLK+- FLASH MEMORY IC4703 IIC3 R/G/B IIC2 Q4706 FLASH MEMORY CLKM/20MHz 8Mbit HDA,VDA, CLPA 23 B/PB_M 21 Y_M A_EA+- - EE+- DDR_SDRAM INTER FACE S_DATA3 2 DN5 DPMS_HD PANEL_STATUS IIC3 STB_ON [B] IIC2 LVDS RECEIVER & TTL PARALLEL +1.8V PLL SDA4/SCL4 +3.3V(STB) 7 IIC4 AD_G0-G9 SDA/SCL +1.8V SOS 26 +1.8V S_CLOCK3 2 IIC2 A0-A18 8 DN2 IP CONVERTER CLK_O IC4501 6 LVDS OUT HS,VS,CLK A_OA+- - OE+- INTERFACE 74.25MHz 10bit LVDS RESET MICOM SDA1/SCL1 SCW3 POCLK/74.25M TXD_PC VD_M RESET 13 + RST IN Q4708 HD-M/ VD-M IC4003 VSYNC R/G/B BOUT C+LVDS2 R/PR_M - VSYNC CLOCK IN AD_R0-R9 PR_M R/G/B_0-9 CLK5 AD_H,AD_V IC4211,12 3 B_OA+- - OE+- IC4702 DS3 +3.3V + DN11 +5V(P) IC4001 IC4704 10 2 BE0-9(10bit) 47 SDA2/SCL2 HDA,VDA + +1.8V_AVDD +3.3V SOS IC4501 HSYNC B_EA+- - EE+- +3.3V IC4502 IC4201 A/D +1.2V A-LVDS0 LVDS IN_A CLK ODD C-LVDS2 +1.8V_PLL A/D CONVERTER CLOCK GEN 2088MHz 12 E+LVDS4 DN BOARD SOS P+5V SOS P+15V SOS DN4 IC4721 SENSOR IIC CONT LED_G TXD_TU RTC_INT STB_ON RXD_PC KEY_INPUT RXD_TU TXD_PC REMOTE IN FAN_SOS LED_R DPMS_VD DPMS_HD DPMS_SW 16 FAN+15V 17 15 +15V(P) +15V(P) PI1D(0)-(9) PI1D(20)-(29) SCW IN B HS,VS,CLK PI2D(0)-(9) PI2D(10)-(19) PI2D(20)-(29) ASIC OUT A HS,VS,CLK PI1R0-R9 PI1G0-G9 HS,VS,CLK PI1B0-B9 SCW3 IN PI2G0-G9 PI2B0-B9 PI2R0-R9 IC4904 +1.2V 59 DS_SOS 43 ALL_OFF IC4715 HD SWITCH IC4716 Q4715 Q4901 Q4903 +2.5V Q4704 +2.5V SOS Q4709,10 24 IIC4 D_IIC_DATA1 D_IIC_CLK1 23 PANEL SOS 27 26 D_IIC_DATA2 D_IIC2 D_IIC_CLK2 29 D_RXD 30 D_TXD +3.3V +1.2V PANEL_STATUS PANEL STBY ON PANEL SOS DS BOARD SOS DAC1 DAC0 LAN+14V_ON/OFF ALL_OFF 15V_ON/OFF FSTB+15V_MON LSI RESET FPGA_DATAIN FPGA_LD FPGA_CLK IIC_SW_DAC4 IIC_SW_DAC3 POWER_ON/OFF 5V 5V<-3.3V IC4712 +9/7.2V FAN B DN32 FAN A FAN CONT IC4351 FAN_A-B 1 3 +9/7.2V 1 3 DN31 D4532 D4533 D4536 Q4351 +5V +5V IC4903 MCLD MCCLK MCDATA ASIC-ARM ASIC-ARM DATA CLK CLD CLD DATA CLK PI1HS,PI1VS 33 REMOTE 36 IIC_SW_DAC4 35 IIC_SW_DAC3 DAC0 37 34 DAC1 39 40 41 66 LAN+14V_ON/OFF 65 FSTB+15V_MON 67 15V_ON/OFF RTC_INT 56 52 FAN_CONT 45 46 TXD_TU RXD_TU IIC_CONT 20 51 50 LED_R LED_R KEY_INPUT 53 REMOTE_OUT REMOTE Q4713 REMOTE_IN ADDRESS DATA -LVDSCLK +LVDSCLK 5V->3.3V IIC2 ASIC OUT B SCW3 D_IIC1 D_TXD D_RXD 5V->3.3V 3.3V IC4714 30bitx2_ASIC OUT 30bitx2_RGB VIDEO SIGNAL PROCESSOR TTL DATA PARALLEL RECEIVER LVDS TTL DATA RECEIVER LVDS PARALLEL CLP A/D_C 10bit SYNC SEPA HD SWITCH ODD EVEN LVDS CLK LVDS EVEN LVDS ODD LVDS IN_B SLOT3_DET SLOT1_DET SLOT2_DET PANEL STBY ON DATA LVDS TTL PARALLEL 10bit LVDS OSD VIDEO SIGNAL PROCESSOR B_CLK+- B_OA+- - OE+- A_CLK+- B_EA+- - EE+- A_OA+- - OE+- A_EA+- - EE+- FAN STOP OVEN VOLTAGE SOS DET DN DIGITAL SIGNAL PROCESSOR RTC_INT FACTORY USE FOR FACTORY USE FOR +3.3V +1.8V IC4901 (LED:2TIME) (LED:13TIME) (LED:10TIME) (LED:11TIMES) (LED:11TIMES) (LED:10TIME) TH-50PH11CK Block (6 of 8) Diagram TH-50PH11CK Block (6 of 8) Diagram 41 10.7. 方框图 (7/8) HO HOT HO HOT COLD COLD COLD COLD (LED:4TIMES) (LED:4TIMES) (LED:5TIMES) (LED:5TIMES) (LED:3TIMES) (LED:3TIMES) (LED:8TIMES) (LED:8TIMES) (LED:6TIMES) (LED:6TIMES) (LED:7TIMES) (LED:7TIMES) (LED:2TIMES) (LED:2TIMES) (LED:4TIMES) (LED:4TIMES) READY ALARM PANEL_STBY_ON D603 D551,552 D602 D519 D601 D104 D251 D605 F003 D607 D451 D604 D615 D151 F002 D013 D102 F001 N MAIN SW L001 L002 ERROR DET OUT Vda_DET Vda ERROR DET PFC L003 1 8 T8AH 250V 1 11 T101 STB ON +15V ERROR DET Q151 IC251 +5V(STB) PC201 D011,012 2 Q281 L 6 T8AH 250V Vda+75V D001 STB5V_ ON/OFF 8 +15V(P) IC501 P2 D009,010 STB ON VSUS ON/OFF 2 T201 PHOTO 9 VR561 COUPLER PC461 13 COUPLER PHOTO PHOTO COUPLER +15V(P) PHOTO 3 +5V(STB) T501 IC561 POWER SOS VR451 Vda POWER Vsus_OUT PFC CONT. Vsus 1 SS11 +5V(STB) ALL OFF 5 5V_ ON/OFF F+15V +15V(P) STB5V_ OUT STB_IN D25 15V_OUT Vda Q451 Vsus OUT PC501 Q501,520,522 PC101 MAIN SW F+15V PC803 PC801 POWER MICOM SC2 IC801 +5V(P) STB POWER PHOTO RUSH RELAY(H) COUPLER 9 MAIN RELAY(H) 1 POWER SOS VDA_DET +15V(SND) PANEL MAIN ON 12 SS12 RL001 D016 +5V Vda +5V(P) PC502 D017 Vsus IC471 P12 Vsus ALL_OFF POWER CONT. +15V(P) RECTIFIER +15V(P) FILTER +15V(P) FILTER 7 IC120 RECTIFIER COUPLER POWER MAIN ON Vsus CONT. PHOTO IC601 P25 COUPLER 1 +5V(P) PHOTO Q171 Q220,222 P11 COUPLER F+15V PC491 T630mAL 250V PHOTO +5V(P) IC451 4 COUPLER Q200,201,202 5 AC CORD P6 P7 Vda CONTROL P9 Vda_ ON/OFF D002 VSUS 1 +5V_PRE Q881 +5V_ PRE_OUT PFC_ ON/OFF Vsus 2 F+15V P L005 +15V(SND) POWER SUPPLY VDA_DET 10 10 6 RL002 15V_ON/OFF SOS8_SS CONTROL DATA IC9901 IC9011 PD2M IC9802,03 SCAN CONTROL RESET PANEL MAIN ON 53 ALARM PLASMA AI BUS SW LVDS DATA D_IIC1 +5V(P) C11 SUSTAIN CONTROL CLK DISCHARGE CONTROL +5V(P) PANEL STBY ON PANEL_ STBY_ON +3.3V +15V(P)DET +2.5V 15 +5V(P) D20 D_IIC2 30 GenX6 55 54 IIC2 FLASH MEMORY D_IIC2 3 +15V(P) 21 RESET A-LVDS0 +5V(P) 6 IIC +3.3V D_IIC2 1 D_IIC_DATA1 D_IIC_CLK1 IC9303 3 +15V(P) IC9003 VDATA_DET 12 +3.3V(STB) 1 +1.2V 10bit LVDS +5V(P) 6 D_TXD VDA_DET +5V(P) 10 D25 +3.3V 1 2 SOS6_SC1 SOS6_SC1 13 SC20 9 +3.3V +3.3V(P)DET 29 +2.5V +1.2V CONTROL DATA CPG with SS H/V SYNC CONTROL LVDS RX DISCHARGE CONTROL POWER SOS D_RXD 14 15 C+LVDS2 D32 30 19 READY 1 12 -LVDSCLK +2.5V IIC PANEL MICOM TENP SENSOR DDR MEMORY A+LVDS0 PANEL STATUS 5 +5V(P)DET 20 54 11 SOS7_SC2 E-LVDS4 SOS8_SS +15V(P) D_IIC_CLK2 13 +5V(STB) D-LVDS3 +LVDSCLK 29 PANEL_STATUS P25 24 PANEL_MAIN_ON 2 23 PANEL SOS PANEL_MAIN_ON 10bit LVDS B+LVDS1 VDA_DET VDA_DET 14 POWER SOS 7 VIDEO DATA 28 D5 IC9002 CONTROL DATA C21 E+LVDS4 POWER ON/OFF VIDEO DATA VIDEO DATA C-LVDS2 +5V(P) SCAN CONTROL SUSTAIN CONTROL DDR I/F Q9044,46 IC9805 40 2 IIC D31 Q9805,06 D6 7 SOS7_SC2 +5V(P) D_IIC2 D_TXD IC9001 D_RXD +5V(P) +3.3V(STB_D) D_IIC1 IC9013 +15V(P) +15V(P) 16 IC9806 +1.2V PANEL SOS DATA DRIVER VIDEO DATA IC9900 68 IIC FLASH I/F DN5 IC9500 PANEL_MAIN_ON SUB-FIELD PROCESSOR B-LVDS1 EEPROM VIDEO/PANEL CONTROL POWER SOS 9 POWER SOS 27 4 FACTORY D+LVDS3 LEVEL CONV. USE 26 FOR D_IIC_DATA2 DS6 DS4 HOT HOT COLD COLD (LED:4TIMES) (LED:5TIMES) (LED:3TIMES) (LED:8TIMES) (LED:6TIMES) (LED:7TIMES) (LED:2TIMES) (LED:4TIMES) TH-50PH11CK Block (7 of 8) Diagram TH-50PH11CK Block (7 of 8) Diagram FORMAT CONVERTER, D PLASMA AI PROCESSOR 42 10.8. 方框图 (8/8) (LED:7TIMES) (LED:6TIMES) (LED:8TIMES) + D16280 TPVDA D16480 D16717 TPSS1 TPSOS6 D16282 TPSC1 D16718 D16255 D16321 D16585 D16253 TPSOS7 D16583 TPVE2 5V TPVSET D16820 TPVAD D14721 VF_GND D16725 D16821 5V TPVSCN TPVSUS TPVSUS TPVE SUSTAIN CONTROL 2 ELECTRODE SUSTAIN CONTROL C10 PANEL SUSTAIN VIDEO DATA IC16131 C20 SOS8_SS ERROR DET VIDEO DATA CONTROL DATA Vda VSET OUT 15 SCAN CONTROL 6 SCAN CONTROL P11 IC16191 BUFFER PHOTO COUPLER SW061 IC16301 BUFFER 6 BUFFER 5 NUEL BUFFER SU 11 1 CPH2 Vsus CONTROL DATA CSH +15V(P) +15V 8 2 T16301A Q16339 SU 41 Q16335 12 Q16422 USH CB9 UMH 1 9 CMH 55 IC16241 12V SC 42 CEL 2 ENERGY C33 DRIVER Vda SD 42 IC14961-63 SUSTAIN CONTROL D16873 IC14951-53 F_5V_B +5V Q16421 ERROR DET Vfo 5V-F_A SOS8_SS IPD PLASMA PANEL IC16472 PC16705 DROP 1 IC16791 ERROR DET UML VOLTAGE IC16752 IC16303 IC14904-06 1 IC16786,87 Vfo VE Gen. IC16784 RECOVERY +5V(P) CB3 2 1 CB2 SS 02 Q16401-03 NUEL 1 STB_PS SS 54 VSCN-F +15V(P) IC16772 SS 34 1 IC14901-03 CB5 SS 03 IC14954-56 Q16876 C10 7 Vda CB1 15 USL D20 (SC2) P12 1 SCAN CONTROL C33 13 50 S34 20 4 68 15 14 SC2 1 (15V_F) 1 7 13 +5V(P) +5V IC16724 SD 11 SD 46 SS23 SCAN DATA IC16788,89 BUFFER CSL IC16561,62 TRANS IC16501 ENERGY FOR SUSTAIN CONTROL 7 C21 GEN. LED(G) 12V FACTORY VSUS Gen. 10 D32 VSCN Q16021,2 USE +5V(P) RECOVERY CB 10 PHOTO COUPLER ERROR DET 13 BUFFER 2 AND GATE 2 1 7 DC/DC 2 55 DRIVER SS 57 Vda 19 C1 D16335 CB4 +5V(P) D31 Vscn CB7 VSET Vda +5V(P) F_5V_A IC17203 67 SU1-SU4 17 2 SD1-SD4 SS 22 Q16102 1 CML 13 7 (SC1) 1 1 SS 55 3 SS 11 7 UEH VSET SEPA C11 9 BUFFER SCAN Q16280 SC 41 DRIVER LED(G) Q16331 SCAN Q16601 PANEL SCAN IC16151 PLASMA PANEL 30 ELECTRODES Q16661 DRIVER SCAN DRIVE SCAN C3 DRIVER 1 CONTROL DATA SCAN OUT (UPPER) SCAN Vda IC16251 PANEL DRIVER SC DRIVER C20 DRIVER 1 PANEL DRIVER SUSTAIN DRIVE +5V(P) NAND GATE PANEL DRIVER DATA DRIVER (LEFT) +15V(P) POWER SWITCH 16V-F PLASMA PANEL SOS6_SC1 ERROR DET SU D16871 6 12 SCAN OUT (LOWER) 3 CB 11 DATA DRIVER (RIGHT) +5V(P) Vsus VSUS Gen. S1 IC16302 DRIVER SS SS 52 1 Q16051 ERROR DET SD 1 C22 Q16001,2 +15V(P) DRIVER 7 2 Q16621-23 VSCN VAD SEPA Vda 16 +5V(P) 17 +5V(P) SC 46 ON 15 +5V(P) PC16480 2 Q16604 PLASMA PANEL 16V_F 1 49 Vda SUSTAIN CONTROL SS 12 Vda GEN. IC16581 PC16710 VSET Q16104 1 +5V(P) PHOTO COUPLER P2 Q16451 IC17101,02 IC17201,02 VAD SS 23 UEH 1 2 1 ERROR DET SS 21 SC 20 CONVERTER 2 1 Q16441 1 3 CB6 5 CPH CEL SOS8_SS 54 5V_F_A C32 Vda SC30 IC17302-04 POWER SWITCH 1 IC17301 C2 +15V(P) 16 DATA DRIVER (CENTER) 66 3 2 5 Q16875,79 51 IC16725 SOS7_SC2 Q16641-45 Vda Vda IC16521 SOS8_SS Q16041 2 55 VIDEO DATA 19 STB_PS CB8 (LED:7TIMES) (LED:6TIMES) (LED:8TIMES) TH-50PH11CK Block (8 of 8) Diagram TH-50PH11CK Block (8 of 8) Diagram 43 11 线路连接图 11.1. 导线 (1) 44 11.2. 导线 (2) 45 12 电路图 12.1. 线路图注意事项 46 12.2. V1,V2 电路板线路图 VCC GND OUT R G STB3.3V R1554 270 SW1551 EVQPLHA15 D1551 MAZ80330LL R1500 1k SW1553 EVQPLHA15 SW1554 EVQPLHA15 SW1552 EVQPLHA15 R1550 1k L1501 C1530 6.3V 10u R1553 470 D1554 MAZ80330LL L1507 R1511 3k R1512 4.7k L1503 R1510 2.2k L1504 V15 1 2 3 R1552 220k SW1550 EVQPLHA15 RM001 PNA4701M05TV V2 1 2 3 4 5 6 R1513 8.2k L1502 Q1540 2SD0601ASL L1508 L1505 L1506 D1550 LNJ107W5PRW R1551 47 REMOTE RECIEVER F VOL.DOWN VOL.UP GND LED_G LED G OPT LED R TV/VTR ! V2-BOARD TXNV21VBTC ! V1-BOARD TXNV11VBTC DS-BOARD (DS15) GND REMOCON TO LED_R (DS2) KEY_SW TO DS-BOARD STB3.3V STR D A 7 8 1 2 B C 6 3 F 9 4 E 5 TH-50PH11CK V1 and V2-Board Schematic Diagram TH-50PH11CK V1 and V2-Board Schematic Diagram 47 12.3. HU 电路板 (1/2) 线路图 C Y + + + AE_R AE_L F_SDA F_SCL 9V D3302 MAZ81400ML R3338 1k R3304 22k L3306 EXC3BB221H R3324 100 C3312 10V 1u D3309 MAZ81400ML R3327 330 Q3301 2SD0601ARL C3326 50V 47p R3322 33k S3302 GAP0.3 C3301 50V 560p C3303 50V 560p R3301 75 C3319 16V 0.1u R3326 330 R3339 1k S3303 GAP0.3 R3331 100 C3308 10V 1u C3310 10V 1u JK3304 K1CB106B0027 C3321 50V 10p R3306 22k C3446 16V 0.1u L3309 G1C100K00020 C3331 10V 10u S3305 GAP0.3 C3448 16V 0.1u Q3305 2SB0709ARL C3450 16V 1u C3426 16V 47u C3307 10V 10u C3309 16V 47u L3301 EXC3BB221H C3311 16V 0.1u R3413 22 R3334 430 D3310 MAZ81400ML L3303 EXC3BB221H Q3302 2SD0601ARL L3308 G1C100K00020 C3316 10V 1u D3306 MAZ81400ML D3307 MAZ81400ML R3336 100 R3307 22k R3335 430 9V C3329 1000p 50V S3307 GAP0.3 JK3302 K2HA204B0097 L L-G R R-G R3305 22k 9V C3328 16V 0.1u L3307 EXC3BB221H D3304 MAZ81400ML R3337 100 R3411 1k JK3301 K1QBB1AB0008 P2347 R3310 220 R3414 22 R3332 127 C3304 50V 560p C3427 16V 0.1u L3319 J0JHC0000078 R3329 1k R3333 127 R3316 220 Q3304 2SD0601ARL C3318 10u 10V R3321 47k R3328 1k R3325 100 S3306 GAP0.3 C3306 10V 1u JK3303 K2HA204B0097 L L-G R R-G L3302 EXC3BB221H C1AB00000461 IC3301 1 V1 2 LV1 3 Y1 4 RV1 5 C1 6 S2-1 7 S-1 8 V2 9 LV2 10 Y2 11 RV2 12 C2 13 S2-2 14 S-2 15 V3 16 LV3 17 Y3 18 RV3 19 C3 20 S2-3 21 S-3 22 LV4 23 V4 24 RV4 25 ADR 26 SCL 27 SDA 28 DC OUT 29 COUT2 30 LOUT2 31 YOUT2 32 ROUT2 33 VOUT2 34 Vcc 35 MUTE 36 YIN1 37 BIAS 38 CIN1 39 LOUT1 40 VOUT1 41 ROUT1 42 TRAP1 43 YOUT1 44 GND 45 COUT1 46 LTV 47 TV 48 RTV R3314 220 Q3303 2SD0601ARL Q3306 2SB0709ARL R3308 1k C3320 16V 0.1u C3325 50V 47p R3315 220 R3317 220 C3451 16V 0.1u C3315 16V 47u GAP0.3 S3301 R3330 100 R3302 75 C3317 10u 10V L3305 EXC3BB221H C3327 16V 0.1u R3319 100 C3302 50V 560p R3318 100 R3309 220 C3314 10V 10u R3303 75 L3304 EXC3BB221H D3308 MAZ81400ML C3305 10V 10u S3304 GAP0.3 C3332 10V 10u R3320 33k R3312 220 C3330 1000p 50V R3323 47k C3322 50V 10p C3313 10V 10u R3416 0 R_IN L_IN R_IN L_IN VIDEO S-VIDEO IN IN V L Y R C L R C(+6dB) 4.5V V/Y(+6dB) 3.3V R(0dB) 4.5V L(0dB) 4.5V C Y R L B E D C 1 2 3 4 5 6 7 8 9 F A 4 1 5 3 2 VIDEO IN AUDIO IN S-VIDEO IN AUDIO IN AV SW TH-50PH11CK HU-Board (1 of 2) Schematic Diagram TH-50PH11CK HU-Board (1 of 2) Schematic Diagram HU-BOARD TXNHU1VBTC (1/2) 48 12.4. HU 电路板 (2/2) 线路图 + + + + + + + + + SD_D15 SD_D14 SD_D13 SD_D12 SD_D11 SD_D10 SD_D9 SD_D8 SD_DQM SD_CLK SD_A9 SD_A8 SD_A7 SD_A6 SD_A5 SD_A4 SD_A3 SD_A2 SD_A1 SD_A0 SD_A10 SD_BA SD_RAS SD_CAS SD_WE SD_DQM SD_D7 SD_D6 SD_D5 SD_D4 SD_D3 SD_D2 SD_D1 SD_D0 G_SDA A_G4 G_SCL A_G6 5V A_G1 9V G_SRQ A_G3 A_G0 A_G2 A_G7 AE_R 3.3V AE_L A_G5 SD_D0 SD_D15 SD_D1 SD_D14 SD_D2 SD_D13 SD_D3 SD_D12 SD_D4 SD_D11 SD_D5 SD_D10 SD_D6 SD_D9 SD_D7 SD_D8 SD_WE SD_A3 A_G0 A_G1 A_G2 A_G3 A_G4 A_G5 A_G6 A_G7 A_CLK G_SDA G_SCL G_SRQ G_SCL G_SDA SD_RAS SD_BA SD_A10 SD_A0 SD_A1 SD_A2 A_CLK A_HD A_HD A_VD A_VD SD_A9 SD_A6 SD_A5 SD_A8 SD_A4 SD_A7 SD_DQM F_SDA F_SCL 5V 5V 1.8V 5V G_SCL G_SDA SD_CAS 5V SD_CLK AN_TX0- AN_TX0+ AO_TX1- AO_TX1+ AP_TX2- AP_TX2+ AR_TX3+ AR_TX3- AQ_TXC+ AQ_TXC- AN_TX0- AN_TX0+ AO_TX1- AO_TX1+ AP_TX2- AP_TX2+ AR_TX3+ AR_TX3- AQ_TXC+ AQ_TXC- 3.3V 3.3V C3355 16V 0.1u D3311 MAZ30360HL C3400 16V 0.1u C3429 0.1u 16V TP3304 H0 1 2 3 4 5 6 7 8 3.3V IC3307 C0JBCZ000523 1 RS 2 TD1 3 TA5 4 TA6 5 GND 6 TB0 7 TB1 8 TD2 9 VCC 10 TD3 11 TB2 12 TB3 13 GND 14 TB4 15 TB5 16 TD4 17 R/F 18 TD5 19 TB6 20 TC0 21 GND 22 TC1 23 TC2 24 TC3 25 TD6 26 VCC 27 TC4 28 TC5 29 GND 30 TC6 31 CLK_IN 32 /PDWN 33 PLL_GND 34 PLL_VCC 35 PLL_GND 36 LVDS_GND 37 TD+ 38 TD- 39 TCLK+ 40 TCLK- 41 TC+ 42 TC- 43 LVDS_GND 44 LVDS_VCC 45 TB+ 46 TB- 47 TA+ 48 TA- 49 LVDS_GND 50 TD0 51 TA0 52 TA1 53 GND 54 TA2 55 TA3 56 TA4 C3386 16V 0.1u C3381 16V 0.1u R3374 22 C3366 16V 0.1u C3359 16V 0.1u C3419 16V 0.1u TVRP523 IC3309 1 A0 2 A1 3 A2 4 GND 5 SDA 6 SCL 7 WP 8 VCC R3367 EXB38V220JV C3333 47u 6.3V C3351 16V 0.1u R3352 47k R3384 EXB38V220JV C3396 16V 0.1u C3385 16V 0.1u TP3305 R3356 10 C3369 10V 1u C3415 16V 0.1u C3380 16V 0.1u C3424 16V 47u C3437 16V 0.1u R3340 150 C3334 16V 0.1u C3367 16V 0.1u R3378 EXB38V220JV C3345 10V 1u C3378 16V 0.1u R3355 10 R3354 1.1k R3385 EXB38V220JV L3312 G1C6R8MA0061 C3337 50V 0.01u C3ABMG000227 IC3305 1 VCC 2 DQ1 3 DQ2 4 VSSQ 5 DQ3 6 DQ4 7 VCCQ 8 DQ5 9 DQ6 10 VSSQ 11 DQ7 12 DQ8 13 VCCQ 14 LDQM 15 WE 16 CAS 17 RAS 18 CS 19 A11 20 A10 21 A0 22 A1 23 A2 24 A3 25 VCC 26 VSS 27 A4 28 A5 29 A6 30 A7 31 A8 32 A9 33 NC 34 CKE 35 CLK 36 UDQM 37 NC 38 VCCQ 39 DQ9 40 DQ10 41 VSSQ 42 DQ11 43 DQ12 44 VCCQ 45 DQ13 46 DQ14 47 VSSQ 48 DQ15 49 DQ16 50 VSS 5V 3.3V R3370 10k C3388 16V 0.1u 5V_STB R3351 47k R3389 22 C3399 16V 0.1u C3356 16V 0.1u L3318 J0JHC0000078 R3381 22 R3406 4.7k C3347 16V 0.1u R3380 EXB38V220JV C3434 0.01u 50V C3431 0.1u 16V R3404 22 C3407 16V 0.1u R3344 1k 3.3V C3383 16V 0.1u R3408 10k C3384 16V 0.1u C3376 16V 0.1u R3368 EXB38V220JV R3345 330 TP3303 C1AB00002487 IC3304 1 AOUT2 2 AVSDA2 3 AVDDA1 4 VREF1 5 VRO1 6 AOUT1 7 AVSDA1 8 AVDPL1 9 AVSPL1 10 VDDE 11 SININ1 12 ITHR 13 VDDI 14 RCLKI 15 SMCK 16 VSS 17 AVDAD0 18 VRH0 19 VRL0 20 AVSAD0 21 AVDPG0 22 SYNCIN 23 GIN 24 CO0 25 AVSPG0 26 ATST0 27 AVSPG1 28 CO1 29 CVBSIN 30 AVDPG1 31 AVSAD1 32 VRL1 33 VRH1 34 AVDAD1 35 VSS 36 VDDI 37 VDDE 38 CLK8 39 CLK4 40 GCLP 41 REQ 42 VSS 43 VDDI 44 VDDE 45 AS 46 SEL 47 DIN[9] 48 DIN[8] 49 DIN[7] 50 DIN[6] 51 DIN[5] 52 DIN[4] 53 DIN[3] 54 DIN[2] 55 DIN[1] 56 DIN[0] 57 VDDI 58 DVCK 59 VSS 60 RESETX 61 TEST0 62 TEST1 63 AVDAD2 64 VRH2 65 VRL2 66 AVSAD2 67 AVDBF2 68 CCRIN 69 CO3 70 CO2 71 AVSBF2 72 ATST1 73 AVSBF3 74 CBIN 75 AVDBF3 76 AVSAD3 77 VRL3 78 VRH3 79 AVDAD3 80 VSS 81 VDDE 82 RX 83 SDATX 84 SCL 85 XCS 86 VDDI 87 VDDE 88 VSS 89 DOUT[9] 90 DOUT[8] 91 DOUT[7] 92 DOUT[6] 93 DOUT[5] 94 DOUT[4] 95 DOUT[3] 96 DOUT[2] 97 DOUT[1] 98 DOUT[0] 99 RCLKO 100 VDDE 101 VSS 102 VDDI 103 TIN 104 VSS 105 HD 106 VD 107 FID 108 VSS 109 VDDI 110 VDDE 111 MA[9] 112 MA[8] 113 MA[7] 114 MA[6] 115 MA[5] 116 MA[4] 117 MA[3] 118 MDQM 119 MCAS 120 VSS 121 VDDI 122 VDDE 123 MRAS 124 MBA 125 MA[10] 126 MA[0] 127 MA[1] 128 MA[2] 129 MD[17] 130 MD[16] 131 VSS 132 VDDI 133 VDDE 134 MCLK 135 MWE 136 MD[8] 137 MD[7] 138 MD[9] 139 MD[6] 140 MD[10] 141 MD[5] 142 MD[11] 143 VDDE 144 VSS 145 VDDI 146 MD[4] 147 MD[12] 148 MD[3] 149 MD[13] 150 MD[2] 151 MD[14] 152 MD[1] 153 MD[15] 154 MD[0] 155 VDDE 156 VSS 157 VDDI 158 PDOUT 159 VSS 160 AVSPL0 161 AVDPL0 162 CPO 163 VGS 164 XIN 165 XTST 166 VDDE 167 AVD 168 AVS 169 MST 170 SM 171 SININ2 172 VDDI 173 VSS 174 AVDDA2 175 VREF2 176 VRO2 C3397 16V 0.1u C3368 16V 0.1u R3382 22 R3369 EXB38V220JV L3320 J0JHC0000078 R3343 10 C3354 16V 0.1u C3408 16V 0.1u R3349 22 L3314 J0JHC0000078 R3364 10 Q3307 2SB0709ARL C3393 16V 0.1u C3413 16V 0.1u C3433 0.01u 50V R3350 100k C0JBAZ002269 IC3306 1 2 3 4 5 6 7 8 C3339 50V 33p R3363 10 C3410 50V 1000p L3313 G1C6R8MA0061 R3347 220 R3405 4.7k R3379 EXB38V220JV R3372 22 C3373 16V 0.1u C3423 16V 0.1u C3447 6.3V 1u R3359 2.7k C3394 16V 0.1u R3392 10k R3399 10k L3311 J0JHC0000078 C3341 50V 68p C3374 16V 0.1u R3417 10 C3403 16V 0.1u C3365 16V 0.1u C3382 16V 0.1u H1 A1 A2 A3 A4 A5 A6 A7 A8 A9 A10 A11 A12 A13 A14 A15 A16 A17 A18 A19 A20 A21 A22 A23 A24 A25 A26 A27 A28 A29 A30 A31 A32 A33 A34 A35 A36 A37 A38 A39 A40 B1 B2 B3 B4 B5 B6 B7 B8 B9 B10 B11 B12 B13 B14 B15 B16 B17 B18 B19 B20 B21 B22 B23 B24 B25 B26 B27 B28 B29 B30 B31 B32 B33 B34 B35 B36 B37 B38 B39 B40 R3361 1.1k IC3302 C0EBE0000066 1 NC 2 SUB 3 GND 5 Vcc 4 Vout C3425 10V 1u R3403 22 C3404 16V 0.1u C3364 16V 0.1u R3390 22 R3376 10k C3411 50V 1000p C3344 6.3V 1u C3353 16V 0.1u C3389 16V 0.1u C3430 0.1u 16V C3441 47u 6.3V C0CBCAC00275 IC3303 1 VDD 2 GND 3 CE 5 VOUT 4 NC C3358 16V 0.1u C3370 16V 0.1u R3371 EXB38V220JV TP3302 R3375 10k C3401 16V 0.1u C3357 16V 0.1u C3432 0.01u 50V L3317 J0JHC0000078 C3363 16V 0.1u C3342 50V 68p C3428 0.1u 16V C3336 16V 0.1u C3346 16V 0.1u C3387 16V 0.1u C3375 10V 1u C3416 50V 1000p C3362 16V 0.1u C3405 16V 0.1u C3412 50V 1000p C3361 50V 33p C3406 16V 0.1u 3.3V R3348 220 C3414 16V 0.1u L3310 J0JHC0000078 R3383 22 C3350 16V 0.1u R3377 10k C3436 0.01u 50V C3402 16V 0.1u C3379 16V 0.1u C3445 6.3V 47u R3346 330 C3409 10V 1u R3342 10 C3371 16V 0.1u C3390 16V 0.1u C3352 16V 0.1u TP3301 C3377 16V 0.1u C3417 50V 1000p C3348 16V 0.1u C3422 6.3V 47u R3386 EXB38V220JV L3316 J0JHC0000078 C3443 47u 6.3V C3335 16V 0.1u R3360 2.2k C3392 16V 0.1u R3373 22 C3395 16V 0.1u R3353 2.2k C3343 50V 0.01u R3358 10k C3340 50V 33p C3418 16V 0.1u C3444 47u 6.3V L3315 J0JHC0000078 X3301 H1A2705B0032 1 OE 2 GND 3 OUT 4 VDD C3372 16V 0.1u C3420 50V 18p C3349 16V 0.1u R3362 2.7k R3365 10 C3438 0.01u 50V C3391 16V 0.1u C3435 0.01u 50V C3360 16V 0.1u C3398 16V 0.1u Q3308 2SB0709ARL C3442 47u 6.3V R3366 22 R3341 150 5V_STB C3440 47u 6.3V 5V_STB 3.3V 9V 5V A=3.3V, B=5V GND /OE1 B1 A2 Vcc A1 B2 SDA(3.3V) /OE2 SCL(3.3V) CONFIG ROM EEPROM SDA SRQ WP GND SCL D+1.8V D+3.3V A+3.3V P+1.8V D+3.3V A+3.3V A+3.3V A+3.3V D+3.3V 100mA max 50mA max B2 B0 B1 B3 B4 B5 B6 B7 R7 R1 R6 R5 R4 R3 R2 R0 9V/0.5A 3slot 5V/0.4A 3slot 3.3V/1.2A 3slot D3.3V D1.8V P1.8V A3.3V A3.3V A3.3V A3.3V A3.3V D1.8V D3.3V D1.8V D3.3V D1.8V A3.3V A3.3V Y/CVB IN C IN A3.3V A3.3V D3.3V SDA SCL SDA SCL D1.8V D3.3V D3.3V 27MHz 1.65kHz D1.8V D1.8V D3.3V D1.8V D3.3V D1.8V D3.3V 57MHz D3.3V D1.8V D1.8V D1.8V P1.8V D3.3V P1.8V A3.3V Low=I2C 16kbit 14 18 12 10 16 11 15 13 17 3 4 1 2 5 16M bit SDRAM AVR 1.8V LVDS TX HD VIDEO DECODER(10bit ADC) RESET TO DS-BOARD (DS11) TO USE FACTORY LEVEL CHANGE 3.3V 5V TH-50PH11CK HU-Board (2 of 2) Schematic Diagram TH-50PH11CK HU-Board (2 of 2) Schematic Diagram HU-BOARD TXNHU1VBTC (2/2) 49 12.5. HX 电路板线路图 PC_R PC_G PC_B PC_HD PC_VD PC_VD PC_B PC_G PC_HD PC_R C3561 1u 16V C3550 50V 0.01u C3551 10u 25V C3552 10u 25V C3405 10u 25V C3406 10u 25V C3562 1u 16V C3524 50V 0.01u C3409 16V 0.1u C3523 10u 25V C3404 16V 0.1u D3512 B0HCMM000014 D3511 B0HCMM000014 D3507 MAZ81600HL D3508 MAZ81600HL D3509 MAZ81600HL D3510 MAZ81600HL D3504 MAZ30560ML IC3502 TVRQ019 1 E0 2 E1 3 E2 4 VSS 5 SDA 6 SCL 7 WC 8 VCC JK3511 K1FB115BA020 1 2 3 4 5 6 7 8 9 10 11 12 13 14 15 JK3509 K1FA109B0062 1 2 3 4 5 8 9 6 7 HX1 1 2 3 4 5 6 7 8 9 10 11 12 13 14 15 L3555 ELJPA100KFB L3526 ELJPA100KFB P5V P5V SLOT9V SLOT9V ZA3001 K4ZZ01000206 TP69 TP70 TP68 TP72 TP66 TP65 TP75 TP74 TP71 TP67 TP73 Q3531 2SD0601A0L Q3532 2SD0601A0L R3592 0 R3776 100 R3778 47k R3508 4.7k R3547 100 R3548 100 R3655 33k R3589 47k R3654 68k R3530 180k R3791 100 R3511 100 R3663 1k R3668 100 R3591 0 R3664 1k R3529 180k R3400 10k R3510 100 R3593 0 R3656 68k R3790 100 R3590 56 R3509 4.7k R3777 100 R3585 56 R3586 56 R3653 33k R3672 100 FL3516 J0MAB0000054 1 2 3 4 FL3510 J0MAB0000054 1 2 3 4 FL3511 J0MAB0000054 1 2 3 4 FL3517 J0MAB0000054 1 2 3 4 FL3514 J0MAB0000054 1 2 3 4 FL3515 J0MAB0000054 1 2 3 4 FL3512 J0MAB0000054 1 2 3 4 FL3513 J0MAB0000054 1 2 3 4 JK3513 K2HC1YYB0049 R 2 3 1 L P5V SLOT9V TXD RXD VD HD REMOTE IN CTS RTS PCis DSR RI DDC EEPROM RXD TXD DTR CD GND L R PR/R Y/G PB/B GND GND GND GND AUDIO IN PC IN TO (DS14) DS-BOARD HX-BOARD TNPA4489 ! D A 7 8 1 2 B C 6 3 F 9 4 E 5 TH-50PH11CK HX-Board Schematic Diagram TH-50PH11CK HX-Board Schematic Diagram 50 12.6. DS 电路板 (1/6) 线路图 S15V GND F15V F15V S15V GND GND GND GND S15V F15V F_STB_ON ECO_ON ALL_OFF STB5V GND GND AC_GOOD NC P15V TO (P7) P-BOARD TO (P6) P-BOARD AVR 1.8V AVR 3.3V AVR 5V AVR 9V ! DS-BOARD TNPA4423 (1/6) 1 SOUND 12V F_STB_ON AC_GOOD ALL_OFF LAN14V_ON/OFF 15V_ON/OFF F15V_MON 15V_ON/OFF C844 16V 2.2u C802 10u 25V C836 25V 0.01u C845 10u 25V C856 0.1u 25V C8112 16V 0.1u C809 10u 16V C828 25V 0.01u C819 10u 10V C818 50V 3900p C855 0.1u 25V C884 10u 25V C8111 16V 0.1u C8101 50V 0.01u C821 10u 10V C848 16V 2.2u C837 10u 6.3V C3146 16V 2.2u C857 0.1u 25V C801 10u 16V C839 10u 6.3V C869 16V 2.2u C825 0.1u 25V C803 50V 4700p C805 0.1u 25V C840 16V 2.2u C812 10u 25V C8109 16V 0.1u C832 25V 0.1u C8113 16V 0.1u C841 10u 6.3V C846 16V 2.2u C852 16V 0.01u C851 1u 10V C850 16V 0.01u C835 1u 10V C833 50V 0.01u C838 16V 2.2u C847 10u 6.3V C843 10u 25V C815 0.1u 25V C822 10u 25V C824 50V 3900p C810 25V 0.01u C8100 16V 47u C8106 16V 47u C8107 16V 470u C8103 16V 47u C834 16V 47u C831 47u 16V D806 D805 B0JCPE000004 D807 D802 B0JCME000037 D810 D801 B0JCME000037 D808 D809 D803 B0JCPE000004 D814 B0BC6R600005 D816 B0BC4R700007 D819 B0BC4R700007 D815 B0BC4R700007 D811 B0BC01100001 D812 B0BC4R700007 D817 B0BC6R600005 D818 B0BC4R700007 D813 B0BC4R700007 F1J1E104A148 FL3009 1 2 3 F1J1E104A148 FL3008 1 2 3 F1J1E104A148 FL3000 1 2 3 F1J1E104A148 FL3004 1 2 3 F1J1E104A148 FL3001 1 2 3 F1J1E104A148 FL3005 1 2 3 F1J1E104A148 FL3003 1 2 3 F1J1E104A148 FL3011 1 2 3 C0CBCAC00275 IC804 1 VDD 2 GND 3 CE 5 VOUT 4 NC IC802 C0DBAYY00183 1 BS 2 VIN 3 SW 4 GND 5 FB 6 COMP 7 EN 8 SS IC801 C0DBAYY00183 1 BS 2 VIN 3 SW 4 GND 5 FB 6 COMP 7 EN 8 SS IC803 C0DBAYY00183 1 BS 2 VIN 3 SW 4 GND 5 FB 6 COMP 7 EN 8 SS DS4 1 2 3 4 5 6 7 8 9 DS6 1 2 3 4 5 6 7 8 9 10 11 12 L805 J0JHC0000078 L809 J0JHC0000078 L804 J0JHC0000078 L3140 J0JHC0000078 L811 J0JHC0000078 L807 J0JHC0000078 L808 J0JHC0000078 L810 J0JHC0000078 L801 G1C330MA0363 L802 G1C330MA0363 L803 G1C330MA0363 LAN14V SLOT15V SLOT5V 5V_M F15V F15V A_5V STB3.3V D_1.8V 15V 15V FAN15V SLOT3.3V SOUND15V STB5V_S SLOT9V A_1.8V 15V 9V_2 D_3.3V 15V A_3.3V STB5V_S Q801 B1DHDC000028 Q803 B1DHDC000028 Q805 2SD0601A0L Q806 2SD0601A0L Q807 2SD0601A0L Q802 B1ABCF000138 Q804 B1ABCF000138 R818 100k R815 100k R802 4.7 R807 100k R823 22k R825 10k R820 6.8k R810 3.3k R845 10k R830 6.8k R829 3.3k R840 22k R806 5.62k R3199 10k R827 4.7 R822 10k R850 12k R849 10k R851 10k R852 1k R811 4.7 R848 10k R804 20k R814 10k R860 330 R859 3.3k R861 330 R858 10k R862 330 R863 330 R813 45.3k R819 5.1k R805 49.9k R838 33 1/2W R821 26.1k R812 10k R843 100 1/2W R844 100 1/2W L806 J0JHC0000078 L813 J0JHC0000078 SOUND12V R831 100k D825 B0BC6R600005 C868 16V 10u D821 B0BC6R600005 R832 4.7 C882 10V 1u SOUND15V R835 2.87k C858 10u 25V C863 10u 25V L812 G1C220M00029 R834 66.5k D804 B0JCPE000004 C862 25V 1500p PA801 K5H5022A0031 R836 39k D826 B0BC6R600005 IC805 C0DBEYY00084 1 BS 2 IN 3 SW 4 GND 5 FB 6 COMP 7 EN 8 SS C864 25V 0.01u D824 B0BC6R600005 R833 27k C859 10u 16V G D D S D D G D D S D D + + + + + + G G G G G G G G G G G G G G G G Thermal Pad 9 6 7 8 3 4 1 2 5 TH-50PH11CK DS-Board (1 of 6) Schematic Diagram TH-50PH11CK DS-Board (1 of 6) Schematic Diagram B E D C F A 51 12.7. DS 电路板 (2/6) 和 H3 电路板线路图 -L OUT +R OUT +L OUT -R OUT L R AUDIO SELECT SP AMP R SP AMP L SOUND CONTROL EQUALIZER 1 11 12 13 ! H3-BOARD TNPA3931 SPEAKER(L) H3-BOARD TNPA3931 SPEAKER(R) ! + AK_R_3 AK_L_3 AL_L_2 AL_R_2 AI_L_1 AI_R_1 AD_L_4 AD_R_4 AA_SDA3 AA_SCL3 SDA2 SCL2 SOUND_MUTE RESET C2367 25V 2.2u C2378 25V 0.1u C2391 25V0.1u C2401 25V 0.1u C2373 25V 0.1u C2369 50V 0.1u C3055 1u 16V C2393 1u 16V C2399 25V0.1u C3058 1u 16V C3054 1u 16V C2409 50V 180p C2374 25V 0.1u C2364 50V 0.1u C2382 25V 0.1u C2420 25V 0.1u C2377 50V 15p C2366 25V 2.2u C3056 1u 16V C2350 2.2u 16V C2368 50V 0.1u C2361 50V 1000p C2407 6.3V 10u C2411 10u 25V C2384 25V 0.1u C2356 50V 1000p C2406 6.3V 2.2u C3053 1u 16V C2365 50V 0.1u C3051 1u 16V C2360 50V 1000p C2381 25V 0.1u C2408 6.3V 10u C2375 25V 0.1u C2392 1u 16V C2404 50V 0.01u C2379 25V 0.1u C2402 25V 0.1u C3052 1u 16V C2351 2.2u 16V C2388 25V 0.1u C2396 25V 0.1u C2357 50V 1000p C2395 25V0.1u C3057 1u 16V C3001 50V 0.01u C2410 50V 180p C2405 6.3V 2.2u C2380 25V 0.1u C2376 50V 15p C2400 25V 0.1u C2398 25V0.1u C2403 25V 0.1u C2413 25V 0.1u C2412 25V 0.1u C2352 50V 10u C2354 35V 47u C2397 10V 100u C2383 10V 100u C2371 50V 10u C3043 16V10u C3004 16V47u C2390 50V10u C2389 10V 100u C2385 10V 100u C2370 50V 10u C2353 50V 10u C2355 35V 47u C3042 16V 10u C2394 50V 10u C2363 25V 470u C2362 25V 470u C2359 2.2u 35V C2386 1u 50V C2387 1u 50V C2358 2.2u 35V D2301 B0JCME000037 D2303 B0JCME000037 D2302 B0JCME000037 C0ABBA000168 IC2305 1 2 3 4 5 6 7 8 C1AB00002530 IC3001 Front1 1 2 Front2 3 Tuner1 4 Tuner2 5 EXT11 6 EXT12 7 EXT21 8 EXT22 9 EXT31 10 EXT32 11 DGND 12 SDA 13 SCL 14 AGND 15 FILTER 16 VRR 17 VCC 18 OUT2 19 OUT1 20 SELECT C1BB00001006 IC2303 1 PLLPWRR 2 PLLGNDR 3 PLLAVDD 4 PLLAVSS 5 PLLDVDD 6 PLLDVSS 7 TEST2 8 TEST3 9 DVSS4 10 DVDD4 11 XVSS 12 XOUT 13 XIN 14 XVDD 15 CVDD4 16 CVSS4 17 TEST0 18 TEST1 19 TEST4 20 TEST5 21 BVSS1 22 BVDD1 23 AVSS4 24 AVDD4 25 AVDD3 26 AVSS3 27 AOUT1 28 EVRINL 29 DAOUTL 30 DAOUTR 31 EVRINR 32 AOUT2 33 AVSS2 34 AVDD2 35 VREF2 36 VREF1 37 INL 38 INR 39 AVSS1 40 AVDD1 41 TEST6 42 XSEL0 43 XSEL1 44 XSEL2 45 CVSS1 46 CVDD1 47 LRCKI 48 BCKI 49 DATAI 50 SCKI 51 DVSS1 52 DVDD1 53 SCK0 54 TEST7 55 DATAO2 56 DATAO1 57 DATAO0 58 BCKO 59 LRCKO 60 CVSS2 61 CVDD2 62 XPDESC 63 PDEN 64 DVSS2 65 DVDD2 66 PWDB 67 RSTB 68 INTB 69 MCUIFSEL 70 CE 71 SCL/CL 72 I2CBUSY/DI 73 SDA/DO 74 DVSS3 75 DVDD3 76 MRREQ 77 GPFLAG 78 EMPF 79 CVSS3 80 CVDD3 C1AB00002534 IC2301 1 HP_IN 2 HP_RippleFilter 3 HP_Standby 4 IN 5 IN_VREF 6 PRE_GND 7 ON_TIME 8 DIAGNOSIS_OUT 9 NC 10 AMP_Standby 11 AMP_RippleFileter 12 Tj_Monitor 13 phase comp. 2 14 phase comp. 1 15 SW_OUT 16 SW_E 17 SW_B 18 SW_GND 19 NC 20 Vcc 21 PRE_Vcc 22 OUT+ 23 OUT- 24 NC 25 POWER_GND 26 NC 27 NC 28 HP_OUT C1AB00002534 IC2302 1 HP_IN 2 HP_RippleFilter 3 HP_Standby 4 IN 5 IN_VREF 6 PRE_GND 7 ON_TIME 8 DIAGNOSIS_OUT 9 NC 10 AMP_Standby 11 AMP_RippleFileter 12 Tj_Monitor 13 phase comp. 2 14 phase comp. 1 15 SW_OUT 16 SW_E 17 SW_B 18 SW_GND 19 NC 20 Vcc 21 PRE_Vcc 22 OUT+ 23 OUT- 24 NC 25 POWER_GND 26 NC 27 NC 28 HP_OUT DS7 1 2 3 DS8 1 2 3 L2331 220u L3002 G1C100K00020 L2330 220u D_3.3V 9V_2 9V_2 D_3.3V A_3.3V D_1.8V 9V_2 A_1.8V A_3.3V A_5V R2450 Q2300 B1BBCF000028 Q2372 2SD0601A0L Q2331 B1BBCF000028 R2384 47k R2383 4.7k R2385 15k R2409 0 R3108 56 R2417 1.2k R2386 100k R2400 22 R2424 0 R2399 22 R2426 470 R2412 1.2k R2407 10k R2404 10k R2391 10k R2353 10k 1/2W R2357 2.2 R2351 10k R2390 10k R2414 1.2k R3049 10k R2388 0 R2394 10k R2392 10k R2421 39k R3107 56 R2387 0 1/2W R2359 2.2 R2416 0 R2419 10k R2423 15k R2393 22 R2389 10k R2367 56 R2362 10k 1/2W R2360 2.2 R2396 10k 1/2W R2355 2.2 R2449 0 R2448 0 R2420 15k R2406 10k R2418 10k R2397 5.1k R2408 0 R2413 0 R2411 0 1/2W R2356 2.2 R2422 39k 1/2W R2358 2.2 R2415 1.2k R2410 0 R3051 33 R3161 0 R2398 0 R2405 10k R2361 10k R2425 0 R2395 10k R2368 56 R2369 10 R2354 10k R3160 0 R2352 10k R2370 10 X2301 H0J184500026 SOUND12V SOUND12V R2363 0 R2365 0 H37 1 2 3 JK8500 K4BC02B00013 JK8500 K4BC02B00013 H37 1 2 3 AOUT AIN- AIN+ GND VCC BOUT BIN- BIN+ + + + + + + + + + + + + NP NP NP NP Thermal Pad Thermal Pad P M M M M # # # # # # + + + + 14 18 12 10 16 11 15 13 17 TH-50PH11CK DS-Board (2 of 6) and H3-Board Schematic Diagram TH-50PH11CK DS-Board (2 of 6) and H3-Board Schematic Diagram ! DS-BOARD TNPA4423 (2/6) 52 12.8. DS 电路板 (3/6) 线路图 S1 S0 PC HI HI LO LO LO LO SLOT3 SLOT2 HI HI SLOT1 SLOT1 A B HI SLOT2 SLOT3 HI LO LO LO LO SDA SCL TIME CLOCK RS232C DRIVER EX.I/O SERIAL SELECT IIC SW IIC ON/OFF 11 12 13 22 21 23 AJ_TXD_4 AJ_RXD_4 AJ_RXD4 AJ_TXD4 DS_SOS AJ_TXD11 AUDIO_SOS AJ_RXD13 AJ_RXD12 AJ_RXD1 AJ_RXD11 AJ_DAC0 AJ_DAC1 AJ_TXD13 AJ_TXD1 AJ_TXD12 AA_SCL3 AA_SDA3 SYNC_INH AC_CS((M)) IIC_SCL AM_SCL_S3 AN_SCL_S1 AC_SCL3 IIC_SW_DAC3 IIC_SW_DAC4 AM_SDA_S3 IIC_DAT AN_SDA_S1 AC_SDA3 AA_SDA3 AC_SDA3 AC_SCL3 AA_SCL3 AB_SCL3 AC_SCL3 AC_SDA3 AB_SDA3 RTC_INT FAN_CONT AC_SDA3 AC_SCL3 LAN14V_ON/OFF AH_SOS C8083 16V 0.1u C3040 16V 0.1u C8080 16V 0.1u C8181 50V15p C8081 16V 0.1u C3009 25V 0.1u C3041 16V 0.1u C8183 16V 0.1u C8182 50V 15p C2426 25V 0.1u C3010 25V 0.1u C8084 16V 1u C8082 16V 0.1u C8200 16V 47u C8185 5.5V 1.5 D8180 MA2J11100L D8201 MA2J11100L D8211 MA2J11100L D8213 MA2J11100L D8204 MA2J11100L D8209 MA2J11100L D8014 B0ACCE000005 D8015 B0ACCE000005 D8013 B0ACCE000005 D8212 MAZ80560ML D8210 MAZ80680ML D8203 MAZ81000ML D8200 MAZ31600ML IC8181 C1DB00001208 1 2 3 4 5 6 7 8 IC3007 C0JBAS000215 1 1A 2 1B 3 2C 4 GND 5 2A 6 2B 7 1C 8 Vcc IC3002 C0JBBR000002 1 1OE 2 S1 3 1B4 4 1B3 5 1B2 6 1B1 7 1A 8 GND 9 2A 10 2B1 11 2B2 12 2B3 13 2B4 14 S0 15 2OE 16 VCC IC3006 C0JBAR000241 1 Y0 2 Y2 3 Y 4 Y3 5 Y1 6 INH 7 VEE 8 VSS 9 B 10 A 11 X3 12 X0 13 X 14 X1 15 X2 16 VDD IC3003 C1AB00000441 1 SW1 2 SW0 3 DAC4 4 DAC3 5 DAC2 6 DAC1 7 DAC0 8 GND 9 SW2 10 SW3 11 SAD0 12 SAD1 13 SAD2 14 SDA 15 SCL 16 Vcc C0ZBZ0001361 IC8014 EN 1 2 C1+ 3 V+ 4 C1- 5 C2+ 6 C2- 7 V- 8 T2OUT 9 R2IN 10 R2OUT 11 INVALID 12 T2IN 13 T1IN 14 FORCEON 15 R1OUT 16 R1IN 17 T1OUT 18 GND 19 VCC 20 FORCEOFF L3005 G1C100K00020 SLOT5V LAN14V STB5V_S STB5V_S STB5V_S STB3.3V STB5V_S SLOT3.3V STB5V_S LAN14V 5V_M A_1.8V SLOT9V SLOT3.3V 9V_2 STB3.3V STB5V_S 9V_2 Q8183 B1CBHD000002 G D S Q8184 B1CBHD000002 G D S Q8202 2SD0601A0L Q8200 2SD0601A0L Q8201 2SD0601A0L Q8023 2SD0601A0L Q8022 2SD0601A0L Q8021 2SD0601A0L R3084 0 R3044 10k R3096 5.6k R8121 2.7k R3087 0 R8201 47k R3037 0 R3029 10k R3038 0 R8183 0 R8181 100 R8122 2.7k R3083 0 R8120 0 R3035 330 R8124 100 R8180 82 R8126 100 R3094 0 R3028 10k R8200 56k R8203 10k R8202 22k R3141 47k R3085 0 R8127 100 R3062 100 R3095 5.6k R3030 0 R3046 10k R8112 0 R8119 0 R8184 0 R3086 0 R8125 100 R8182 100 R3034 330 R3082 100 R8205 75k R3198 12k R8109 2.2k R8103 18k R8206 39k R8114 2.2k R8108 4.7k R8105 2.2k R8111 1.2k R3031 0 R3140 47k R8115 10k R8204 100k R8110 10k R8107 10k R3197 12k R3036 330 X8181 H0J327200114 R8104 2.2k D8012 B0ACCE000005 Q8020 2SD0601A0L SOUND12V R8102 27k R8106 10k :FAN_CONT :LPF(M) :CS(M) :SYNC_INH(M) SCL SDA VSS /INTRB VDD OSCIN OSCOUT /INTRA + + 27 22 21 20 19 25 26 23 24 TH-50PH11CK DS-Board (3 of 6) Schematic Diagram TH-50PH11CK DS-Board (3 of 6) Schematic Diagram ! DS-BOARD TNPA4423 (3/6) 53 12.9. DS 电路板 (4/6) 线路图 + + + + + AA_SDA3 AF_HD_HX AF_VD_HX AG_HD_M AG_VD_M AF_DPMS_HD AF_DPMS_VD AD_VD_4 AD_HD_4 AF_VD_HX AF_HD_HX AD_Y_4 AD_PB_4 AD_PR_4 AI_Y_1 AI_PB_1 AI_PR_1 AK_S2_3 AL_S2_2 AI_S2_1 AL_PB_2 AL_Y_2 AL_PR_2 AK_PB_3 AK_Y_3 AK_PR_3 AA_SCL3 AK_HD_3 AD_HD_4 AK_VD_3 AL_VD_2 AI_VD_1 AD_VD_4 AL_HD_2 AI_HD_1 AG_Y_M AG_PB_M AG_PR_M GREEN_IN GREEN_OUT HD-OUT HD+OUT VD+OUT HD-OUT HD+OUT HIN VIN VD+OUT GREEN_IN VIN GREEN_OUT AC_CS((M)) HOUT VOUT VOUT SYNC_INH HOUT HIN C8073 10V 10u C3106 16V 0.1u C3015 50V 0.01u C3014 50V 0.01u C8033 50V1000p C8027 25V 0.1u C3204 16V 0.1u C3013 50V 0.01u C3112 0.1u 25V C8049 50V 0.01u C8038 50V 1000p C3101 0.1u 25V C3114 0.1u 25V C3105 16V 0.1u C3019 16V 0.1u C8019 50V 0.01u C3103 0.1u 25V C8070 0.1u 25V C3113 0.1u 25V C8009 6.3V 10u C3111 0.1u 25V C3143 16V 2.2u C8035 16V 0.1u C3012 50V 0.01u C3034 0.1u 16V C8003 16V 0.1u C3108 16V 0.1u C8074 150p 50V C3016 50V 0.01u C8029 50V 0.01u C3115 0.1u 25V C8015 10V 10u C3200 16V 1u C3110 0.1u 25V C3205 16V 0.1u C8045 16V 1u C8007 50V 100p C3017 50V 0.01u C3033 0.1u 16V C8005 50V 0.01u C3107 16V 0.1u C8013 16V 0.1u C8023 50V 0.01u C8072 10V 10u C8075 1000p 50V C8016 16V 4.7u C8021 16V 0.47u C3035 0.1u 16V C3021 2.2u 16V C3022 2.2u 16V C3023 2.2u 16V C3024 2.2u 16V C3025 2.2u 16V C3030 2.2u 16V C3029 2.2u 16V C3020 2.2u 16V C3028 2.2u 16V C3027 2.2u 16V C3026 2.2u 16V C3031 2.2u 16V C8030 16V 47u C3136 16V 470u C3134 16V 470u C3135 16V 470u C3018 16V 47u D8001 MA2J11100L D8003 MA2J11100L D8010 MA3X15300L D8011 MA3X15300L C0JBAB000715 IC8018 1 NC 2 IN_A 3 GND 5 VCC 4 OUT_Y C0JBAB000715 IC8017 1 NC 2 IN_A 3 GND 5 VCC 4 OUT_Y IC8007 C0JBAR000419 1 2 3 4 5 6 7 8 C0JBAS000251 IC8008 1 2 3 4 5 6 7 8 IC8005 C0JBAB000646 1 2 3 4 5 6 7 8 9 10 11 12 13 14 IC3005 C1AB00002904 1 Vcc1 2 Y/G IN4 3 GND 4 Pb/B IN4 5 Vcc1 6 NC 7 Pr/R IN4 8 GND 9 Y/G IN3 10 Vcc1 11 Pb/B IN3 12 PORT3 13 PORT2 14 Pr/R IN3 15 PORT1 16 PORT0 17 Y/G IN2 18 Vcc1 19 Pb/B IN2 20 GND 21 Pr/R IN2 22 Vcc1 23 Y/G IN1 24 GND 25 Pb/B IN1 26 Vcc1 27 Pr/R IN1 28 GND 29 VDD 30 ADR 31 SDA 32 SCL 33 DGND 34 VIN4 35 VIN3 36 VIN2 37 VIN1 38 GND 39 HIN4 40 HIN3 41 HIN2 42 HIN1 43 Vcc2 44 HOUT 45 VOUT 46 VIN 47 VDET 48 HIN 49 HDET 50 VERTADJ 51 VERTIN 52 GND 53 VD+OUT 54 HD-OUT 55 HD+OUT 56 Vcc1 57 GCLAMP2 58 GCLAMP1 59 GND 60 Y/G OUT 61 Vcc1 62 Pb/B OUT 63 GND 64 Pr/R OUT L8003 G1C100K00020 L3006 G1C100K00020 L8005 G1C100K00020 L3050 G1C100K00020 9V_2 5V_M 5V_M 5V_M 9V_2 9V_2 9V_2 5V_M 9V_2 STB3.3V TPJH1 TPJV1 Q8012 2SD0601A0L Q8010 2SD0601A0L Q8002 2SD0601A0L Q8019 2SD0601A0L Q8013 2SB0709A0L Q8011 2SB0709A0L R8002 0 R3092 75 R3053 56 R8031 2.2k R8067 150 R8096 0 R8048 2.2k R8010 0 R8094 0 R3190 75 R3067 56 R3074 75 R8065 910 R8055 100 R3064 56 R3210 100 R8060 0 R8088 0 R8007 0 R8037 4.7k R3102 0 R8045 2.2k R8072 0 R3217 3.3 R8025 0 R8021 2.2k R3091 75 R3057 56 R8012 0 R8050 2.2k R8039 4.7k R8011 0 R3080 56 R8047 270 R3231 100 R3066 56 R3188 75 4.7k R3215 R3070 75 R8001 0 R3073 75 R3090 75 R3163 1k R8093 100 1% R8035 330 R8069 2.2k R3230 100 R8009 0 R8057 1k R3121 0 R3071 75 R3050 56 R8118 0 R3093 75 R3119 0 1% R8036 150 R3078 56 R3089 75 R3189 75 R8054 0 R8041 0 R3079 56 R3212 4.7k R3216 3.3 R3075 75 R3054 56 R3077 56 R3076 56 R3218 3.3 R8117 0 R3072 75 R3069 56 R3065 56 R8099 1k R3088 75 R8004 0 R8051 10k R8017 0 R8029 3k R3058 56 R3048 330k R3068 56 R3214 4.7k R8026 330 R3081 56 R3219 3.3 R8089 180 R8056 100 R3211 100 R8003 0 4.7k R3213 CH0 VDD COM INH A CH1 VEE VSS O5 I4 O4 GND O3 I3 O6 I5 O2 I2 O1 I1 I6 VCC SLOT1 : 3 SLOT2 : 2 SLOT3 : 1 PC : T HP VP CH1(6Pin AUTO/ON G) CH0(7Pin VBS) HI A LO ON CH COMPONENT SELECT LO Sync Style SYNC_INH ON G HI AUTO/VBS LO AC_CS SYNC_INH LO HI LO LO LO HI HI NO Signal ON G VBS(Sync on Video/CS) AUTO(Separate Sync ON G) RGB Sync Signal Logic Table DPMS_HD 5V->3.3V HX SYNC IN SYNC SIGNAL INVERTER 32 36 28 33 34 35 29 30 31 SYNC SWITCH HD/VD SWITCH DPMS_VD 5V->3.3V HD/VD SELECT SYNC SIGNAL PROCESSOR 21 22 23 34 33 35 31 32 TH-50PH11CK DS-Board (4 of 6) Schematic Diagram TH-50PH11CK DS-Board (4 of 6) Schematic Diagram ! DS-BOARD TNPA4423 (4/6) 54 12.10.DS 电路板 (5/6) 线路图 + G G G G G G G G G G TERM SIDE AH_SOS AI_PB_1 AI_PR_1 AI_HD_1 AI_VD_1 AI_R_1 AI_L_1 RESET RESET SRQ SRQ AJ_TXD12 AJ_RXD12 AH_SLOT2_DET AJ_RXD11 AJ_TXD11 REMOCON_OUT2 REMOCON_OUT3 REMOCON_OUT2 REMOCON_OUT1 AH_SLOT1_DET AL_HD_2 AL_PR_2 AL_PB_2 AL_S2_2 AL_Y_2 AL_VD_2 AL_R_2 AL_L_2 REMOCON_OUT1 AH_SOS AI_Y_1 AI_S2_1 REMOCON_OUT AB_SDA3 AB_SCL3 SDA2 SCL2 A_ED+ A_OE+ A_ED- A_OE- A_OD+ A_CLK+ A_OD- A_CLK- A_OC+ A_EC+ A_OC- A_EC- A_OB+ A_OB- A_EB+ A_EB- A_OA+ A_OA- A_EA+ A_EE+ A_EA- A_EE- B_ED+ B_OE+ B_ED- B_OE- B_OD+ B_CLK+ B_OD- B_CLK- B_OC+ B_EC+ B_OC- B_EC- B_OB+ B_OB- B_EB+ B_EB- B_OA+ B_OA- B_EA+ B_EE+ B_EA- B_EE- DS_SOS AG_VD_M AG_HD_M AG_PB_M AG_Y_M AG_PR_M AF_DPMS_HD AF_DPMS_VD REMOCON AJ_DAC1 AJ_DAC0 REMOCON_OUT AAJ_DAC0 AAJ_DAC1 15V_ON/OFF LAN14V_ON/OFF F15V_MON AC_GOOD ALL_OFF F_STB_ON SOUND_MUTE RTC_INT KEY_DET KEY_SW FAN_CONT LED_R LED_G RESET AJ_RXD1 AJ_TXD1 AH_SLOT1_DET AAJ_DAC1 AAJ_DAC0 AJ_RXD4 AJ_TXD4 SRQ FFC_DETECT1 FFC_DETECT2 AH_SLOT2_DET AH_SLOT3_DET IIC_SW_DAC3 AN_SCL_S1 AN_SDA_S1 IIC_SCL IIC_DAT IIC_SW_DAC4 C8115 10u 25V C3153 16V 0.1u C8114 10u 25V C8123 16V 0.1u C3201 10u 6.3V C3207 10u 16V C3202 10u 6.3V C8122 16V 47u D3003 MA2J11100L D3001 MA2J11100L F1J1E104A148 FL3014 1 2 3 F1J1E104A148 FL3013 1 2 3 F1J1E104A148 FL3010 1 2 3 F1J1E104A148 FL3012 1 2 3 F1J1E104A148 FL3015 1 2 3 C0JBAZ002692 IC3153 G1 1 2 A1 3 A2 4 A3 5 A4 6 A5 7 A6 8 A7 9 A8 10 GND 11 Y8 12 Y7 13 Y6 14 Y5 15 Y4 16 Y3 17 Y2 18 Y1 19 G2 20 Vcc DS1 1 2 3 4 5 6 7 8 9 10 11 12 13 14 15 16 17 18 19 20 21 22 23 24 25 26 27 28 29 30 31 32 33 34 35 36 37 38 39 40 41 42 43 44 45 46 47 48 49 50 51 52 53 54 55 57 58 59 60 61 62 63 64 65 66 67 68 56 DS11 A1 A2 A3 A4 A5 A6 A7 A8 A9 A10 A11 A12 A13 A14 A15 A16 A17 A18 A19 A20 A21 A22 A23 A24 A25 A26 A27 A28 A29 A30 A31 A32 A33 A34 A35 A36 A37 A38 A39 A40 B1 B2 B3 B4 B5 B6 B7 B8 B9 B10 B11 B12 B13 B14 B15 B16 B17 B18 B19 B20 B21 B22 B23 B24 B25 B26 B27 B28 B29 B30 B31 B32 B33 B34 B35 B36 B37 B38 B39 B40 DS12 A1 A2 A3 A4 A5 A6 A7 A8 A9 A10 A11 A12 A13 A14 A15 A16 A17 A18 A19 A20 A21 A22 A23 A24 A25 A26 A27 A28 A29 A30 A31 A32 A33 A34 A35 A36 A37 A38 A39 A40 B1 B2 B3 B4 B5 B6 B7 B8 B9 B10 B11 B12 B13 B14 B15 B16 B17 B18 B19 B20 B21 B22 B23 B24 B25 B26 B27 B28 B29 B30 B31 B32 B33 B34 B35 B36 B37 B38 B39 B40 SLOT3.3V SLOT9V LAN14V STB5V_S SLOT9V STB3.3V SLOT5V SLOT5V 15V SLOT3.3V STB5V_S SLOT15V LAN14V STB5V_S STB5V_S STB3.3V 5V_M FAN15V SLOT15V R3151 100 R3032 100 R8189 0 R3033 100 R3055 10k R3056 10k R3152 0 R3153 0 R8188 56 R3195 100 R3004 100 R8190 0 R3043 100 R3025 100 R8187 56 R3150 100 R3042 0 R3196 100 R3143 100 LAN14V PLUG DET CABLE DET SYNC GND REMOTE VD SOS SYNC GND PWR_STATUS HD PR/R GND RESET2 PR/R RESET1 PB/B GND S2DETECT PB/B Y/G GND Y/G GND GND STB5V SRQ NC(OPEN) IIC DAT RSVD IIC SCL AUDIO GND RXD AUDIO IN L TXD AUDIO GND AUDIO IN R GND SLOT3.3V SLOT9V GND SLOT5V GND GND SLOT9V GND STB5V SRQ NC(OPEN) SOS SYNC GND PWR_STATUS HD PR/R GND RESET2 PR/R GND RESET1 PB/B GND S2DETECT PB/B Y/G GND LAN14V CABLE DET SYNC GND REMOTE VD SLOT5V IIC DAT RSVD IIC SCL AUDIO GND RXD AUDIO IN L TXD AUDIO GND PLUG DET AUDIO IN R SLOT3.3V GND GND LAN14V GND Y/G GND SLOT5V GND GND LAN14V GND NC SLOT9V GND SLOT5V GND NC SLOT15V SLOT15V SLOT15V SLOT15V SLOT2 SLOT1 SLOT3.3V SLOT3.3V SOUND MUTE STB5V KEY_DET GND P15V RTC INT KEY_SW IIC_CONT GND ALL_OFF B/PB_M DS SOS LED_R GND RESET SDA2 GND AC_GOOD REMOCON OUT GND HD_M DPMS_HD TXD_TU TXD_PC GND FAN15V SDA3 STB_ON GND SL1_DET AJ_DAC0 RXD_TU P15V R/PR_M VD_M GND GND SCL2 REMOCON GND IIC_SW_DAC3 P5V FAN_CONT STB3.3V G/Y_M DPMS_VD LED_G RXD_PC SCL3 TX2- TX0+ TXCG TX0- TX6+ TX5- TX1+ TX2+ TX4- TX8+ TX4+ TXC- TX7+ TX3+ TX1G TX2G TX9+ TX0G TX8- TXC+ ETX_G3 TX9- TX3- ETX_G2 TX3G TX6- ETX_G1 TX1- TX7- TX5+ TX9+ TX2G TX2- TX0+ TX6- TX1G TX1+ TX4- TX0G TX5- TX4+ TX8+ TXC- TX9- TX2+ TX7- TX3G TX7+ TX5+ TXCG ETX_G3 TX3+ ETX_G1 TX1- TX3- TX8- ETX_G2 TX6+ TXC+ TX0- SL2_DET SL3_DET AJ_DAC1 IIC_SW_DAC4 DETECT1 15V_ON/OFF LAN14V_ON/OFF F15V_MON P2_SW GND GND GND GND GND GND GND DETECT2 3.3V->5V TO (DN1) DN-BOARD 43 44 38 39 40 41 45 37 42 33 34 35 46 47 45 31 32 44 43 41 42 TH-50PH11CK DS-Board (5 of 6) Schematic Diagram TH-50PH11CK DS-Board (5 of 6) Schematic Diagram ! DS-BOARD TNPA4423 (5/6) 55 12.11.DS 电路板 (6/6) 线路图 TERM SIDE AH_SLOT3_DET AH_SOS AJ_RXD13 AK_Y_3 RESET AK_PB_3 AK_PR_3 AK_HD_3 AK_VD_3 AK_R_3 AK_L_3 SRQ AJ_TXD13 REMOCON_OUT3 AK_S2_3 LED_G LED_R KEY_DET REMOCON A_OA- A_OA+ B_EE- B_EE+ B_ED+ B_ED- B_EC+ B_EC- B_EB+ B_EB- B_EA+ B_EA- B_CLK+ B_CLK- B_OE+ B_OE- B_OD+ B_OD- B_OC+ B_OC- B_OB+ B_OB- B_OA+ B_OA- A_EE+ A_EE- A_ED+ A_ED- A_EC+ A_EC- A_EB+ A_EB- A_EA+ A_EA- A_CLK+ A_CLK- A_OE+ A_OE- A_OD+ A_OD- A_OC+ A_OC- A_OB+ A_OB- FFC_DETECT3 FFC_DETECT4 AJ_TXD_4 AJ_RXD_4 AD_L_4 AD_R_4 AD_PR_4 AD_Y_4 AD_PB_4 AF_HD_HX AF_VD_HX KEY_SW AM_SCL_S3 AM_SDA_S3 C3203 10u 6.3V D3004 MA2J11100L D8184 MAZ80560ML D8181 MAZ80560ML D8185 MAZ80560ML FL8001 J0MAB0000140 1 2 3 4 DS3 1 2 3 4 5 6 7 8 9 10 11 12 13 14 15 16 17 18 19 20 21 22 23 24 25 26 27 28 29 30 31 32 33 34 35 36 37 38 39 40 41 42 43 44 45 46 47 48 49 50 51 52 53 54 55 57 58 59 60 61 62 63 64 65 66 67 68 56 69 70 DS15 1 2 3 DS2 1 2 3 4 5 6 DS14 1 2 3 4 5 6 7 8 9 10 11 12 13 14 15 DS13 A1 A2 A3 A4 A5 A6 A7 A8 A9 A10 A11 A12 A13 A14 A15 A16 A17 A18 A19 A20 A21 A22 A23 A24 A25 A26 A27 A28 A29 A30 A31 A32 A33 A34 A35 A36 A37 A38 A39 A40 B1 B2 B3 B4 B5 B6 B7 B8 B9 B10 B11 B12 B13 B14 B15 B16 B17 B18 B19 B20 B21 B22 B23 B24 B25 B26 B27 B28 B29 B30 B31 B32 B33 B34 B35 B36 B37 B38 B39 B40 L8105 J0JHC0000078 L8104 J0JHC0000078 L8106 J0JHC0000078 L8101 J0JHC0000078 L8102 J0JHC0000078 L8103 J0JHC0000078 SLOT9V SLOT9V SLOT5V SLOT3.3V STB3.3V SLOT15V LAN14V 5V_M STB5V_S ZA3008 K4CD01000011 ZA3002 K4CD01000011 ZA3004 K4CD01000013 ZA3005 K4CD01000013 ZA3003 K4CD01000013 ZA3001 K4CD01000011 ZA3009 K4CD01000011 ZA3007 K4CD01000013 ZA3006 K4CD01000013 R8129 0 R3144 100 R3059 100 TX3- TX3+ TX1+ TX0G TX0- TX0+ GND LAN14V AUDIO GND TXD AUDIO IN R Y/G Y/G GND PB/B S2DETECT PB/B GND RESET1 PR/R RESET2 PR/R GND HD PWR_STATUS SYNC GND SOS VD REMOTE SYNC GND CABLE DET PLUG DET GND SLOT5V GND SLOT9V SLOT3.3V GND AUDIO IN L RXD AUDIO GND IIC SCL RSVD IIC DAT NC(OPEN) SRQ STB5V GND TX1G TX1- TX2G TX2- TX2+ TX3G TXCG TXC- TXC+ KEY-SW LED_G GND REMOCON LED_R KEY_DET STB3.3V GND NC LAN14V GND SLOT9V GND SLOT5V GND GND NC NC NC NC NC NC NC NC NC NC NC NC NC NC NC PR/R RXD GND GND L GND HD Y/G 9V-> 5V-> PB/B TXD R VD GND SLOT15V SLOT15V SLOT3 SLOT3.3V TX4+ TX4- TX3+ TX3- TX2+ TX2- TX1+ TX1- TX0+ TX0- TXC+ TXC- TX9+ TX9- TX8+ TX8- TX7+ TX7- TX6+ TX6- TX5+ TX5- TX4+ TX4- GND GND GND GND GND GND GND GND GND GND GND GND GND GND GND TX6+ GND TX7+ TX1+ TX6- TX9+ TX7- TX8- GND GND GND TXC- TX1- TX8+ TXC+ TX0+ TX0- TX3+ TX2- TX2+ TX5+ GND TX3- TX5- TX9- GND GND DETECT3 DETECT4 TO (DN2) DN-BOARD (HX1) HX-BOARD TO (V2) V1-BOARD TO (V15) V2-BOARD TO 51 53 47 50 52 46 49 54 48 41 42 43 44 45 46 47 TH-50PH11CK DS-Board (6 of 6) Schematic Diagram TH-50PH11CK DS-Board (6 of 6) Schematic Diagram ! DS-BOARD TNPA4423 (6/6) 56 12.12.DN 电路板 (1/7) 线路图 NRST 5VTXD_TU LED_R 5VNRST P_ON/OFF 5VRXD_TU 3VRXD_TU RXD_PC D_RXD D_TXD TXD_PC TXD_PC_M LED_G 3VTXD_TU UART_SW D_IIC_CLK2 D_IIC_DATA2 D_TXD D_RXD D_IIC_CLK1 D_IIC_DATA1 D_IIC_CONT IIC_CONT 5VLED_G 5VLED_R P_ON/OFF FAN_SOS FAN_CONT C4404 16V 0.1u C4407 16V 0.1u C4408 50V 1000p C4405 16V 0.1u C4921 1u 10V C4922 16V 0.01u C4940 6.3V 10u C4943 16V 0.01u C4942 1u 10V C4932 16V 0.1u C4937 6.3V 1u C4938 50V 0.01u C4941 50V 0.01u C4933 10u 6.3V C4931 10u 6.3V D4735 B0ACCE000005 D4734 B0ACCE000005 D4732 B0ACCE000005 D4733 B0ACCE000005 IC4903 C0DBZFF00004 1 VOUT 2 GND 3 CE 4 NC 5 GND 6 VDD IC4714 C0JBAZ000851 1 1OE 2 1A 3 1Y 4 2OE 5 2A 6 2Y 7 GND 8 3Y 9 3A 10 3OE 11 4Y 12 4A 13 4OE 14 VCC IC4712 C0JBAA000175 1 1A 2 1B 3 1Y 4 2A 5 2B 6 2Y 7 GND 8 3Y 9 3A 10 3B 11 4Y 12 4A 13 4B 14 VCC C0DBZFG00055 IC4904 1 VIN 2 VB 4 NC 5 GND 3 VOUT DN11 1 2 3 4 5 6 7 8 9 10 11 12 13 14 15 16 17 18 19 20 21 22 STB3.3V STB3.3V STB5V STB5V SW_3.3V STB3.3V 3.3V 3.3V STB5V STB3.3V STB5V 2.5V 1.2V 1.8V STB5V Q4901 B1DHDC000028 Q4903 B1DHDC000028 Q4904 2SD0601A0L Q4905 2SD0601A0L Q4906 2SD0601A0L Q4902 2SD0601A0L Q4718 2SD0601A0L Q4714 2SD0601A0L Q4717 2SD0601A0L R4935 10k R4418 10k R4424 5.6k R4415 0 R4422 10k R4416 100 R4414 10k R4411 3.3k R4421 10k R4413 100 R4420 100 R4491 0 R4412 3.3k R4419 100 R4425 100 R4426 100 R4417 0 R4423 10k R4494 0 R4927 22k R4925 4.7k R4926 10k R4928 0 R4970 0 R4931 0 R4934 0 R4938 10k R4937 22k R4936 10k R4940 0 R4950 2.7k R4951 10k R4949 10k R4952 22k R4945 0 R4948 0 R4942 0 R4944 0 R4943 0 R4923 0 R4429 10k R4428 10k R4427 100 R4924 4.7k STB3.3V R4431 10k R4432 22k C4406 16V 0.1u D4356 MA2J11100L TP4001 R4366 4.7k C4351 220u 25V R4351 0 TP4002 R4356 6.34k R4358 0 R4354 47k C4363 1u 16V R4382 0 R4352 22k R4361 0 D4352 MA3X152D0L DN32 1 2 3 D4353 MA3X152D0L R4357 910 R4359 10k C4352 1u 25V C0DBAZG00034 IC4351 1 VCC 2 OUT 4 INV 5 STBY 3 GND R4362 0 R4355 3.3k DN31 1 2 3 L4351 G1C101MA0363 D4351 B0JCME000037 R4363 2.2k R4360 0 C4364 1u 10V FAN5V R4381 0 FAN15V Q4351 2SD0601A0L P5V R4365 4.7k C4354 470u 16V R4353 470 C4912 1000p 50V L4901 G1C2R2Z00007 C4916 68u 4V R4908 20.5k C4908 180p 50V Q4912 B1MBDDA00015 S1 G1 S2 G2 D2 D2 D1 D1 R4904 11k C4909 8200p 50V C0DBAYY00274 IC4901 1 RT 2 CS1 3 VO1 4 FB1 5 REFIN1 6 ILIM1 7 -INC1 8 -INC2 9 ILIM2 10 FSW 11 FB2 12 VO2 13 CS2 14 GND 15 VREF 16 CTL 17 CB2 18 OUT2-1 19 LX2 20 OUT2-2 21 VB 22 PGND 23 VCC 24 OUT1-2 25 LX1 26 OUT1-1 27 CB1 28 PGOOD 29 CUVP 30 OVP R4907 56k R4918 0 C4918 10u 10V R4915 0 R4917 0 D4905 MA22D3900L D4902 B0JCPE000004 R4916 0 L4902 G1C1R5Z00006 C4914 0.1u 25V C4913 0.1u 25V R4912 10k D4906 MA22D3900L C4901 10u 25V C4910 0.01u 50V Q4911 B1MBDDA00003 S1 G1 S2 G2 D2 D2 D1 D1 STB3.3V R4902 47k D4903 B0JCGD000002 C4905 25V 0.1u C4903 10u 25V D4904 B0JCGD000002 C4906 8200p 50V C4904 10u 25V R4905 56k STB5V R4903 12.7k R4901 0 C4907 68p 50V R4913 100k D4901 B0JCME000037 R4906 11k R4909 13k 1.8V_DCDC C4902 10u 25V C4911 4.7u 10V C4915 68u 4V 15V 3.3V SCL1 TDO REMOCON GND SDA2 RXD SCL2 TXD 5V <- 3.3V TDI SDA1 TMS LED_G TRST 5V->3.3V IIC_CONT TCK STBY3.3V IIC_INT LED_R STBY5V GND 3.3V for except SCM USE FOR FACTORY AVR 2.5V AVR 1.2V ! DN-BOARD TXNDN2VETC (1/7) 1 2 TPFAS TPFAO FAN BLOCK (FIN) + (FIN) + + + 1 9 6 7 8 2 3 5 4 TH-50PH11CK DN-Board (1 of 7) Schematic Diagram TH-50PH11CK DN-Board (1 of 7) Schematic Diagram E A C B D F 57 12.13.DN 电路板 (2/7) 线路图 G G G G G G G G TERM SIDE TERM SIDE G G P3V_SCL2 GE_2 P3V_SDA2 BE_9 GE_1 GE_0 BE_3 AD_CLK BE_5 VD_ADA HD_ADA RE_6 GE_8 CLP_A RE_9 BE_0 RE_8 BE_1 RE_7 BE_2 RE_3 GE_7 GE_6 RE_1 RE_4 GE_5 AD_PLLV BE_7 BE_8 RE_2 GE_4 AD_PLLH GE_9 RE_0 GE_3 RE_5 BE_6 BE_4 15V_SOS 5V_SOS IIC_CONT REMOCON DN_SOS HDO1 VDO1 DPMS_HD DPMS_VD PI1HS PI1VS P3V_SCL2 P3V_SDA2 ANF_B_M ANF_G_M ANF_R_M B_EC- A_EA- B_EC+ A_CLK+ B_ED- A_CLK- B_ED+ A_OE+ B_EE- A_OE- B_EE+ A_OD+ A_OD- A_OC+ A_OC- A_OB+ A_OB- B_OA+ B_OB- B_OB+ B_OC- B_OC+ B_OD- B_OD+ A_EE+ A_OA+ B_OE- A_EE- A_OA- B_OE+ A_ED+ B_OA- B_CLK- A_ED- B_CLK+ A_EC+ B_EA- A_EC- B_EA+ A_EB+ B_EB- A_EB- B_EB+ A_EA+ 5VLED_G ALL_OFF1 STB_ON ANF_R_M ANF_B_M ANF_G_M KEY_INPUT 5VLED_R AC_GOOD DPMS_SW 15V_ON/OFF LAN14V_ON/OFF F15V_MON AD_FLD REMOCON_OUT VD_M HD_M IIC_CONT P3V_SCL2 P3V_SDA2 3V_SCL3 3V_SDA3 TXD_PC RXD_PC REMOCON_OUT REMOCON IIC_SW_DAC3 IIC_SW_DAC4 AJ_DAC0 AJ_DAC1 SL2_DET SL3_DET DS_SOS 5VTXD_TU 5VRXD_TU 5VNRST KEY_DET RTC_INT SOUND_MUTE SL1_DET REM_IN DPMS_HD DPMS_VD FAN_CONT C4401 16V 0.1u C4041 16V 0.1u C4020 16V 0.01u C4044 6.3V 10u C4024 16V 0.01u C4014 6.3V 10u C4031 16V0.01u C4048 6.3V 10u C4018 16V 0.01u C4045 16V 0.1u C4030 6.3V 10u C4049 16V 0.1u C4012 6.3V 10u C4011 10u 6.3V C4013 16V 0.01u C4017 16V 0.01u C4025 25V 0.1u C4027 25V 0.1u C4021 6.3V 10u C4003 25V 0.1u C4016 10u 6.3V C4022 16V 0.01u C4005 25V 0.1u C4032 16V0.1u C4001 25V 0.1u C4023 6.3V 10u C4028 25V 0.1u C4019 6.3V 10u C4047 16V 0.1u C4029 25V 0.1u C4015 16V 0.01u C4026 25V 0.1u C4431 16V 0.1u C4432 16V 0.1u C4043 50V 1000p C4042 10u 6.3V C4046 6.3V 10u C4301 16V 0.1u C4303 16V 0.1u D4712 MA2J72800L D4714 B0ACCE000005 D4713 B0ACCE000005 D4715 B0ACCE000005 D4716 B0ACCE000005 FL4905 F1J1E104A148 1 2 3 FL4904 F1J1E104A148 1 2 3 FL4903 F1J1E104A148 1 2 3 FL4901 F1J1E104A148 1 2 3 FL4001 J0MAB0000175 C0JBAA000377 IC4211 1 IN_B 2 IN_A 3 GND 5 VCC 4 OUT_Y C0JBAA000377 IC4212 1 IN_B 2 IN_A 3 GND 5 VCC 4 OUT_Y C0CBCAC00275 IC4003 1 VDD 2 GND 3 CE 5 VOUT 4 NC IC4721 C1ZBZ0003577 1 SCL 2 GND 3 A1 4 VDD 5 A0 6 SDA IC4716 C0JBAS000215 1 1A 2 1B 3 2C 4 GND 5 2A 6 2B 7 1C 8 Vcc IC4715 C0JBAS000215 1 1A 2 1B 3 2C 4 GND 5 2A 6 2B 7 1C 8 Vcc C0DBFFD00003 IC4002 1 2 3 4 5 6 7 C0FBAY000055 IC4001 1 VD(1.8V) 2 BAIN0 3 GND 4 BAIN1 5 VD(1.8V) 6 GAIN0 7 GND 8 SOGIN0 9 VD(1.8V) 10 GAIN1 11 GND 12 SOGIN1 13 VD(1.8V) 14 RAIN0 15 GND 16 RAIN1 17 PWRDWN/TRI-ST 18 REFLO 19 NC 20 REFHI 21 O/E FIELD 22 VSOUT/A0 23 HSOUT 24 SOGOUT 25 DATACK 26 VDD(3.3V) 27 GND 28 RED<9> 29 RED<8> 30 RED<7> 31 RED<6> 32 RED<5> 33 RED<4> 34 RED<3> 35 RED<2> 36 RED<1> 37 RED<0> 38 VDD(3.3V) 39 GND 40 GND 41 DAVDD(1.8) 42 GREEN<9> 43 GREEN<8> 44 GREEN<7> 45 GREEN<6> 46 GREEN<5> 47 GREEN<4> 48 GREEN<3> 49 GREEN<2> 50 GREEN<1> 51 GREEN<0> 52 VDD(3.3V) 53 GND 54 BLUE<9> 55 BLUE<8> 56 BLUE<7> 57 BLUE<6> 58 BLUE<5> 59 BLUE<4> 60 BLUE<3> 61 BLUE<2> 62 BLUE<1> 63 BLUE<0> 64 VDD(3.3V) 65 GND 66 SDA 67 SCL 68 HSYNC1 69 VSYNC1 70 HSYNC0 71 VSYNC0 72 EXTCLK/COAST 73 CLAMP 74 PVD(1.8V) 75 GND 76 PVD(1.8V) 77 GND 78 FILT 79 PVD(1.8V) 80 GND DN2 1 2 3 4 5 6 7 8 9 10 11 12 13 14 15 16 17 18 19 20 21 22 23 24 25 26 27 28 29 30 31 32 33 34 35 36 37 38 39 40 41 42 43 44 45 46 47 48 49 50 51 52 53 54 55 57 58 59 60 61 62 63 64 65 66 67 68 56 69 70 DN1 1 2 3 4 5 6 7 8 9 10 11 12 13 14 15 16 17 18 19 20 21 22 23 24 25 26 27 28 29 30 31 32 33 34 35 36 37 38 39 40 41 42 43 44 45 46 47 48 49 50 51 52 53 54 55 57 58 59 60 61 62 63 64 65 66 67 68 56 69 70 L4001 J0JHC0000096 L4003 J0JHC0000096 STB3.3V 15V STB5V SW_3.3V P5V 15V SW_3.3V STB3.3V 1.2V 2.5V SW_3.3V STB5V SW_3.3V 1.8V_AVDD 1.8V_PLLVDD STB5V STB3.3V SW_3.3V P5V 1.8V PA4901 K5H4022A0031 TP4043 TP4041 TP4030 TP4044 TP4040 TP4042 Q4713 2SD0601A0L Q4704 2SD0601A0L Q4715 2SD0601A0L Q4709 2SD0601A0L Q4710 2SD0601A0L Q4705 2SD0601A0L Q4706 2SD0601A0L Q4707 2SD0601A0L Q4708 2SD0601A0L R4018 EXB28V680JX R4021 EXB2HV680JV R4020 EXB2HV680JV R4019 EXB2HV680JV R4475 100 R4476 100 R4477 100 R4303 0 0 R4307 R4013 4.7k R4022 68 R4016 47 R4004 75 R4003 0 R4881 10k R4023 68 R4026 10k R4005 0 R4873 47k R4869 1k R4863 10k R4819 22 R4818 22 R4442 100 R4407 100 R4433 100 R4436 100 R4439 1k R4438 100 R4440 10k R4441 10k R4045 0 R4015 47 R4011 10k R4474 0 R4029 1.5k R4866 10k R4028 10k R4301 100 R4025 22 R4462 100 R4403 22k R4862 6.8k R4460 100 R4459 100 R4305 100 R4002 75 R4458 100 R4457 100 R4456 100 R4872 1k R4404 22k R4024 22 R4876 5.6k R4867 47k R4861 3.9k R4472 100 R4473 0 R4880 1k R4871 10k R4879 12k R4870 47k R4001 0 R4405 1k R4883 10k R4882 10k R4877 330 R4401 10k R4874 10k R4469 0 R4865 10k R4864 47k R4468 0 R4041 0 R4467 0 R4027 10k R4012 47 R4465 100 R4471 0 R4044 0 R4043 0 R4006 75 R4878 1k R4875 5.6k R4017 56 R4868 10k FL4902 F1J1E104A148 1 2 3 FAN15V PA4902 K5H4022A0031 TP4045 R4470 0 REMOCON SOS ALL_OFF1 AJ_DAC0 SCL2 GND RXD_TU TXD_TU SDA2 LED_G LED_R STB_ON SCL3 SL1_DET AJ_DAC1 KEY_SW REMOCON REMOCON OUT GND GND RTC_INT IIC_CONT DS_SOS RXD_PC KEY_DET DPMS_HD 5V RESET IIC_SW_DAC4 GND IIC_SW_DAC3 TXD_PC GND AC_GOOD DPMS_VD SOUND_MUTE SL3_DET GND SDA3 FAN15V GND VD_M B/PB_M G/Y_M GND GND GND GND HD_M R/PR_M GND 15V 15V STB3.3V STB5V FAN_CONT HP VP SL2_DET 15V_ON/OFF LAN14V_ON/OFF F15V_MON MUTE_SW 5V->3.3V 5V->3.3V GND GND N.C. N.C. GND GND GND GND GND TPFAC TPS5V TP5V TP15V (DS1) DS-BOARD TO 10bit RGB VIDEO SIGNAL DS-BOARD TO (DS3) TX9+ TX7- TX1- TX1- GND TX3+ TX4+ GND TX4- GND TX8- TXC- TX3- TX1+ TX7+ TX4+ TX6- TXC- TX3- GND TX6+ GND TX5- DETECT4 TX4- GND TX8+ GND TXC+ TX0+ TX1+ TX5- TX5+ TX3+ GND TX0- GND TXC+ TX9+ TX2- TX2+ DETECT3 GND GND TX2+ GND GND TX5+ TX0- TX7+ GND GND TX0+ GND TX8+ GND GND GND TX7- TX6+ GND TX6- TX9- TX2- TX8- GND TX9- GND HD SWITCH TEMP SENSOR PLL 1.8V AVDD 1.8V 11 18 12 14 17 10 16 15 13 DN-BOARD TXNDN2VETC (2/7) ! A/D CONVERTER VD SWITCH 1 2 11 13 12 14 TPFAV TH-50PH11CK DN-Board (2 of 7) Schematic Diagram TH-50PH11CK DN-Board (2 of 7) Schematic Diagram 58 12.14.DN 电路板 (3/7) 线路图 9 8 18 19 28 29 9B 8B MC_LD MCCLK MCDATA_O P3V_SDA2 P3V_SCL2 NRST CLKM_20MHZ 29B 28B 2 5 4 3 7 1 6 0 15 12 17 16 11 13 10 14 26 24 25 27 22 21 23 20 25B 20B 21B 22B 24B 27B 23B 26B 18B 19B 16B 13B 14B 10B 11B 17B 15B 12B 4B 0B 3B 6B 1B 7B 5B 2B A_OA- A_OA+ A_OB- A_OB+ A_OC- A_OC+ A_OD- A_OD+ A_OE- A_OE+ A_CLK- A_CLK+ A_EA- A_EA+ A_EB- A_EB+ A_EC- A_EC+ A_ED- A_ED+ A_EE- A_EE+ B_OA- B_OA+ B_OB- B_OB+ B_OC- B_OC+ B_OD- B_OD+ B_OE- B_OE+ B_CLK- B_CLK+ B_EA- B_EA+ B_EB- B_EB+ B_EC+ B_ED- B_ED+ B_EE- B_EE+ BE_5 RE_8 BE_3 RE_2 BE_1 AD_PLLV AD_FLD GE_5 HD_ADA GE_4 RE_0 GE_3 RE_9 GE_2 GE_0 HD_M BE_8 VD_M BE_6 BE_0 GE_7 BE_4 BE_2 RE_1 GE_9 RE_7 CLP_A GE_6 AD_PLLH GE_8 RE_5 AD_CLK RE_3 RE_6 GE_1 BE_9 RE_4 BE_7 VD_ADA B_EC- C4201 6.3V 10u C4210 16V 0.1u C4223 16V 0.1u C4203 16V 0.1u C4221 6.3V 10u C4209 16V 0.1u C4208 16V 0.1u C4207 16V 0.1u C4202 6.3V 10u C4224 16V 0.1u C4206 16V 0.1u C4204 16V 0.1u C4205 16V 0.1u C4222 6.3V 10u C4228 16V 0.1u C4225 6.3V 10u C4212 6.3V 10u C4237 6.3V 10u C4226 6.3V 10u C4216 16V 0.1u C4238 16V 0.1u C4232 16V 0.1u C4214 16V 0.1u C4213 16V 0.1u C4230 6.3V 10u C4227 16V 0.1u C4215 16V 0.1u C4218 16V 0.1u C4211 6.3V 10u C4236 6.3V 10u C4231 6.3V 10u C4217 16V 0.1u C4229 4V 22u L4207 J0JHC0000096 L4201 J0JHC0000096 L4203 J0JHC0000096 L4209 J0JHC0000096 L4205 J0JHC0000096 ASIC1.8V ASIC1.8V 1.8V ASIC1.8V ASIC1.8V ASIC3.3V SW_3.3V ASIC3.3V R4261 EXB2HV101JV R4258 EXB2HV101JV R4255 EXB2HV101JV R4241 EXB2HV101JV R4247 EXB2HV101JV R4244 EXB2HV101JV R4233 47 R4232 0 R4235 47 R4234 47 R4259 100 R4271 47 R4272 47 R4273 0 R4274 0 R4275 0 R4260 100 R4257 100 R4256 100 R4249 100 R4248 100 R4245 100 R4242 100 R4263 100 R4262 100 R4246 100 R4231 0 R4208 100 R4201 100 R4206 100 R4207 100 R4203 100 R4216 100 R4215 100 R4221 100 R4213 100 R4209 100 R4211 100 R4204 100 R4212 100 R4205 100 R4220 100 R4217 100 R4218 100 R4214 100 R4219 100 R4202 100 R4210 100 R4222 100 IC4201 A1 GND IC4201 A10 AD_G6 IC4201 D7 AD_B9 IC4201 C8 AD_G2 IC4201 R5 PI2B0 IC4201 G7 VDD_3.3V IC4201 H1 NC IC4201 L15 LVA_RX5+ IC4201 C2 KME_TEST IC4201 N11 VDD_3.3V IC4201 U3 PI2R4 IC4201 F7 VDD_3.3V IC4201 V17 VDD_1.8V IC4201 G17 LVA_RX0+ IC4201 R12 PI1G7 IC4201 F11 VDD_3.3V IC4201 A9 AD_G3 IC4201 K16 LVDD_1.8V IC4201 K6 NC IC4201 P13 PI1G6 IC4201 L3 LVB_RX0- IC4201 K11 GND IC4201 E8 NC IC4201 V14 VDD_3.3V IC4201 K7 NC IC4201 R7 PI2B2 IC4201 C11 AD_R2 IC4201 F1 NC IC4201 P12 PI1B3 IC4201 H3 LVB_RX5- IC4201 D8 NC IC4201 E2 LVB_RX9- IC4201 N12 VDD_3.3V IC4201 B13 AD_R7 IC4201 B11 AD_R1 IC4201 L14 LGND IC4201 C6 AD_B4 IC4201 P7 PI2B1 IC4201 H10 VDD_1.8V IC4201 F12 VDD_3.3V IC4201 C10 AD_G8 IC4201 J10 GND IC4201 M12 VDD_3.3V IC4201 J2 NC IC4201 K10 VDD_1.8V IC4201 U15 PI1R2 IC4201 P5 PI2G4 IC4201 D12 AD_R6 IC4201 B1 VDD_1.8V IC4201 M11 GND IC4201 T18 GND IC4201 F17 LVA_RX2+ IC4201 C4 NC IC4201 T10 PI1B5 IC4201 F2 LVB_RX8+ IC4201 A15 AD_CLK IC4201 H12 VDD_3.3V IC4201 P8 VDD_3.3V IC4201 D15 NRST IC4201 M7 VDD_3.3V IC4201 B4 CLP_OUT IC4201 F16 LVA_RX3- IC4201 V12 PI1G5 IC4201 E3 LVB_RX9+ IC4201 K5 LGND IC4201 L9 VDD_1.8V IC4201 U13 PI1G2 IC4201 J9 VDD_1.8V IC4201 K9 GND IC4201 H5 LPVDD_1.8V IC4201 L13 LPGND IC4201 E13 NC IC4201 E17 LGND IC4201 B2 GND IC4201 D13 AD_R9 IC4201 B7 AD_B7 IC4201 K2 NC IC4201 H11 GND IC4201 K8 GND IC4201 N6 VDD_1.8V IC4201 B14 AD_V IC4201 F13 GND IC4201 T6 PI2G8 IC4201 B18 VDD_1.8V IC4201 D6 AD_B5 IC4201 H16 LVA_RX4- IC4201 E14 NC IC4201 U6 PI2G9 IC4201 T17 PI1R4 IC4201 K17 NC IC4201 U8 PI2B8 IC4201 V11 PI1B6 IC4201 P14 LGND IC4201 H15 LVDD_3.3V IC4201 U11 PI1B0 IC4201 H7 NC IC4201 T3 PI2R5 IC4201 N3 LGND IC4201 P6 PI2G5 IC4201 G11 GND IC4201 G12 GND IC4201 F10 VDD_1.8V IC4201 L1 NC IC4201 D4 NC IC4201 B9 AD_G4 IC4201 K15 LPVDD_1.8V IC4201 N7 VDD_3.3V IC4201 C3 VDA_OUT IC4201 J15 LVA_RXC+ IC4201 G18 LVA_RX0- IC4201 L2 LVB_RX0+ IC4201 P10 PI1B9 IC4201 D16 SCL IC4201 F6 VDD_1.8V IC4201 A7 AD_B6 IC4201 N13 VDD_1.8V IC4201 U16 PI1R0 IC4201 F8 FPCAP IC4201 C16 MCCLK IC4201 T14 PI1G1 IC4201 K3 NC IC4201 H14 LGND IC4201 T7 PI2B4 IC4201 M4 LVB_RX1- IC4201 V8 PI2B6 IC4201 G1 LVB_RX6+ IC4201 U1 VDD_1.8V IC4201 C15 CLKM IC4201 C12 FPCAP IC4201 P1 VDD_3.3V IC4201 J14 NC IC4201 A13 VDDP_1.8V IC4201 C14 AD_FLD IC4201 T1 GND IC4201 P17 NC IC4201 E16 LPGND IC4201 T13 PI1G3 IC4201 J3 LVB_RXC+ IC4201 K14 NC IC4201 E4 NC IC4201 J8 GND IC4201 G2 LVB_RX6- IC4201 C17 MCDAT IC4201 G16 LVA_RX1+ IC4201 E15 NC IC4201 L17 LVA_RX6+ IC4201 J17 NC IC4201 L12 NC IC4201 R1 PI2R0 IC4201 E11 NC IC4201 U17 GND IC4201 C18 GND IC4201 D1 NAND_TEST IC4201 G15 LVA_RX1- IC4201 R4 PI2R6 IC4201 B3 HDA_IN IC4201 G4 LVB_RX7- IC4201 A18 GND IC4201 G13 GND IC4201 N18 LVA_RX9- IC4201 N15 LVA_RX8+ IC4201 E10 NC IC4201 D17 SDA IC4201 B10 AD_G7 IC4201 A17 VDD_1.8V IC4201 A12 AD_R4 IC4201 J1 NC IC4201 B5 HDA_OUT IC4201 R17 PI1R5 IC4201 M5 LVB_RX1+ IC4201 E1 VDD_3.3V IC4201 M15 NC IC4201 H8 GND IC4201 L4 LVB_RX4- IC4201 T5 PI2G7 IC4201 V3 GND IC4201 P2 PI2R3 IC4201 A8 AD_G0 IC4201 U2 GND IC4201 K12 GND IC4201 H13 VDD_3.3V IC4201 J13 GND IC4201 M3 LVB_RX2+ IC4201 T12 PI1B1 IC4201 F15 LVA_RX3+ IC4201 P11 VDD_3.3V IC4201 G9 AC_TEST IC4201 H9 GND IC4201 R11 PI1B7 IC4201 R16 PI1R8 IC4201 B12 AD_R5 IC4201 V2 VDD_1.8V IC4201 M8 GND IC4201 E9 VDD_3.3V IC4201 U7 PI2B5 IC4201 A6 AD_B2 IC4201 J4 LVB_RXC- IC4201 H17 LVA_RX4+ IC4201 R15 PI1G0 IC4201 J16 LVA_RXC- IC4201 A16 GND IC4201 F4 NC IC4201 V18 GND IC4201 R8 PI2B7 IC4201 U4 PI2G0 IC4201 K18 NC IC4201 A14 VDD_3.3V IC4201 H2 LVB_RX5+ IC4201 M10 GND IC4201 H6 VDD_3.3V IC4201 E12 VDD_3.3V IC4201 R6 PI2G2 IC4201 K4 LVDD_3.3V IC4201 U14 PI1R9 IC4201 U5 PI2G1 IC4201 L10 GND IC4201 A11 AD_R0 IC4201 T11 PI1B2 IC4201 H18 NC IC4201 B16 MCLD IC4201 D9 NC IC4201 G5 LGND IC4201 F14 NC IC4201 T4 PI2R9 IC4201 V5 VDD_3.3V IC4201 N9 VDD_3.3V IC4201 P4 PI2G3 IC4201 L6 VDD_3.3V IC4201 J5 NC IC4201 G10 VDD_1.8V IC4201 L16 LVA_RX5- IC4201 P18 VDD_3.3V IC4201 L8 GND IC4201 N10 VDD_3.3V IC4201 M16 NC IC4201 L18 LVA_RX6- IC4201 A3 GND IC4201 V16 GND IC4201 M9 GND IC4201 B8 AD_G1 IC4201 M1 NC IC4201 V1 GND IC4201 R18 PI1R3 IC4201 K13 NC IC4201 F3 LVB_RX8- IC4201 P15 LVDD_3.3V IC4201 M6 VDD_1.8V IC4201 F18 LVA_RX2- IC4201 J6 GND IC4201 N16 LVA_RX8- IC4201 E18 VDD_3.3V IC4201 C7 AD_B8 IC4201 R2 PI2R7 IC4201 N8 VDD_3.3V IC4201 T8 PI2B9 IC4201 C1 GND IC4201 R3 PI2R2 IC4201 A4 VDA_IN IC4201 F5 VDD_1.8V IC4201 D10 AD_G9 IC4201 V7 PI2B3 IC4201 E6 NC IC4201 M18 LVA_RX7- IC4201 N5 LPGND IC4201 R10 PI1B4 IC4201 M17 LVA_RX7+ IC4201 D11 AD_R3 IC4201 H4 LVDD_1.8V IC4201 U10 PI1B8 IC4201 E5 NC IC4201 D2 LVDD_3.3V IC4201 T2 PI2R1 IC4201 R14 PI1G4 IC4201 G3 LVB_RX7+ IC4201 B6 AD_B3 IC4201 T16 PI1R6 IC4201 U18 VDD_1.8V IC4201 D5 AD_B1 IC4201 M2 LVB_RX2- IC4201 D14 AD_H IC4201 L5 LVB_RX4+ IC4201 M13 VDD_3.3V IC4201 J11 GND IC4201 G8 VDDP_1.8V IC4201 C13 AD_R8 IC4201 P3 PI2R8 IC4201 J7 NC IC4201 G6 LPGND IC4201 J12 NC IC4201 L11 GND IC4201 C9 AD_G5 IC4201 K1 NC IC4201 D3 LGND IC4201 G14 NC IC4201 J18 NC IC4201 U12 PI1G9 IC4201 L7 GND IC4201 F9 LVDS_TEST IC4201 D18 NC IC4201 M14 VDD_1.8V IC4201 C5 AD_B0 IC4201 A2 VDD_1.8V IC4201 B17 GND IC4201 T15 PI1R7 IC4201 N1 LVB_RX3+ IC4201 E7 NC IC4201 N14 NC IC4201 B15 VDD_3.3V IC4201 N17 LVA_RX9+ IC4201 A5 VDD_3.3V IC4201 R13 PI1G8 IC4201 N2 LVB_RX3- IC4201 V15 PI1R1 IC4201 N4 PI2G6 R4270 100 R4243 100 ASIC INPUT from DS ASIC CLKM NRST ASIC IIC ASIC ASIC-ARM ASIC to SCW3_INPUT 2 ASIC to SCW3_INPUT 1 ASIC NC ASIC VDE33(3.3V) ASIC GND ASIC VCCINT(1.8V) ASIC from A/D To A/D From DS PCB ASIC TEST C1AB00002899 IC4201 ASIC NC 24 22 26 25 27 20 23 19 21 DN-BOARD TXNDN2VETC (3/7) ! 11 12 13 21 23 22 14 24 25 TH-50PH11CK DN-Board (3 of 7) Schematic Diagram TH-50PH11CK DN-Board (3 of 7) Schematic Diagram PI1FLD PI1ACT PI1HS PI1VS PI1CLK PI2VS PI2HS PI2FLD PI2ACT PI2CLK R4254 47 R4253 47 R4252 47 R4250 0 R4267 47 *R4268 47 R4265 47 R4264 47 R4266 47 R4251 0 IC4201 V13 PI1CLK IC4201 R9 PI2ACT IC4201 V9 PI1HSB IC4201 P9 PI2VSB IC4201 V4 PI2CLK IC4201 T9 PI2FLD IC4201 V6 PI2HSB IC4201 V10 PI1ACT IC4201 P16 PI1FLD IC4201 U9 PI1VSB L4212 0 L4211 0 59 12.15.DN 电路板 (4/7) 线路图 LED_G 3V_SDA3 AJ_DAC0 3VRXD_TU 5V_SOS LED_R STB_ON NRST ALL_OFF1 IIC_INT IIC_CONT TV_ON/OFF DRVMUTE UART_SW SOUND_MUTE REM_IN RXD_PC TXD_PC_M P3V_SDA2 RXD_PC TXD_PC 3V_SDA3 3V_SDA1 3V_SCL1 IIC_INT IIC_CONT IIC_CONT EEPROM_WP 3V_SCL1 3V_SDA1 RTC_INT KEY_DET DPMS_HD DPMS_VD DPMS_SW 3V_SCL1 3V_SDA1 P3V_SCL2 P3V_SDA2 3V_SCL3 3V_SCL4 3V_SDA4 P3V_SCL2 3V_SCL3 15V_SOS DN_SOS EEPROM_WP P_ON/OFF READY AC_GOOD SL1_DET SL2_DET SL3_DET IIC_SW_DAC4 IIC_SW_DAC3 POCLK CLKM_20MHZ ALARM DS_SOS AJ_DAC1 F15V_MON KEY_INPUT 15V_ON/OFF FAN_SOS PNL12V_ON/OFF LAN14V_ON/OFF 3VTXD_TU C4821 50V 100p C4721 50V 1000p C4741 50V 1000p C4893 16V 4.7u C4706 16V 0.1u C4704 16V 0.1u C4708 16V 0.1u C4701 16V 0.1u C4675 16V 0.1u C4672 16V 0.1u C4679 50V 15p C4676 16V 0.1u C4680 50V 18p C4677 16V 0.1u C4673 16V 0.1u C4678 16V 0.1u C4671 6.3V 10u C4709 16V 0.1u C4705 16V 0.1u C4702 16V 0.1u C4707 16V 0.1u C4894 16V 0.1u D4703 MA2J72800L D4721 MAZ30360HL IC4501 D13 ADIN[6] IC4501 C14 ADIN[4] IC4501 C4 GIO[45] IC4501 B4 GIO[42] IC4501 Y6 SI0 IC4501 E14 ADIN[0] IC4501 B1 GIO[4] IC4501 N3 IFMD[1] IC4501 AE2 SO3 IC4501 W1 SCL3 IC4501 AC3 SI2 IC4501 B18 VRL IC4501 L1 GIO[35] IC4501 L2 GIO[34] IC4501 A2 GIO[46] IC4501 M4 GIO[39] IC4501 A5 TESTH IC4501 AB4 SO2 IC4501 C1 GIO[6] IC4501 D1 GIO[11] IC4501 R6 TEST[1] IC4501 J6 GIO[15] IC4501 A17 DAOUT[1] IC4501 W4 SCL2 IC4501 AF2 SO1 IC4501 T6 JTAGICEEN IC4501 Y5 SDA3 IC4501 D5 GIO[43] IC4501 F14 ADIN[2] IC4501 C3 GIO[5] IC4501 C17 DAOUT[0] IC4501 AA1 SDA1 IC4501 C16 DAOUT[2] IC4501 E11 INT[3] IC4501 M2 GIO[37] IC4501 Y2 SDA0 IC4501 M6 GIO[32] IC4501 W6 SI3 IC4501 D12 IRRMIN IC4501 L3 GIO[33] IC4501 M3 GIO[38] IC4501 L5 GIO[31] IC4501 D2 GIO[9] IC4501 C11 INT[2] IC4501 E7 GIO[41] IC4501 E6 GIO[44] IC4501 AD2 SO0 IC4501 G5 GIO8] IC4501 Y3 SCL0 IC4501 A15 ADIN[3] IC4501 E12 INT[0] IC4501 W3 SCL1 IC4501 B17 VRH IC4501 N6 TEST[2] IC4501 F3 GIO[14] IC4501 G6 GIO[47] IC4501 F4 GIO[10] IC4501 K1 GIO[29] IC4501 E15 ADIN[5] IC4501 P3 IFMD[0] IC4501 E2 GIO[13] IC4501 K4 GIO[30] IC4501 AF1 SI1 IC4501 A14 ADIN[7] IC4501 E4 GIO[2] IC4501 D14 ADIN[1] IC4501 B16 DAOUT[3] IC4501 P2 TEST[3] IC4501 N4 GIO[36] IC4501 A11 INT[1] IC4501 B5 GIO[40] IC4501 N5 TEST[0] IC4501 Y4 SDA2 IC4501 E3 GIO[7] IC4501 H6 GIO[12] TVRP852-2 IC4703 1 E0 2 E1 3 E2 4 VSS 5 SDA 6 SCL 7 WC 8 VCC C1ZBZ0003600 IC4514 XT 1 2 SL0 3 SL1 4 CLK9 5 VDD1 6 VSS1 7 CLK1 8 N/C 9 CLK2 10 VSS 11 N/C 12 CLK7 13 CLK6 14 CLK5 15 VSS2 16 VDD2 17 SL2 18 STBY 19 VDD3 20 XTN DN4 1 2 3 4 5 6 7 8 9 10 11 12 13 14 L4701 J0JHC0000096 L4523 J0JHC0000096 STB3.3V STB3.3V STB3.3V STB3.3V SW_3.3V STB3.3V SCW_3.3V STB3.3V SW_3.3V STB5V STB3.3V TP4025 TP4021 TP4026 TP4023 TP4031 TP4018 TP4024 TP4019 TP4017 TP4022 TP4020 Q4711 2SD0601A0L R4797 EXB38V103JV R4702 EXB38V101JV R4703 10k R4713 100 R4734 100 R4667 47 R4773 100 R4836 2.2k R4664 10k R4670 1k R4669 10k R4662 10k R4845 100 R4837 100 R4668 47 R4844 100 R4838 100 R4841 100 R4846 100 R4752 10k R4843 100 R4840 100 R4712 100 R4709 100 R4842 100 R4839 100 R4753 10k R4754 2.2k R4811 2.7k R4813 5.6k R4814 5.6k R4812 2.7k R4809 2.7k R4810 2.7k R4816 2.7k R4815 2.7k R4755 3.3k R4798 10k R4756 100 R4796 0 R4801 47 R4802 47 R4804 22 R4805 22 R4807 22 R4808 22 R4772 100 R4732 100 R4735 10k R4726 100k R4759 47k R4760 1k R4730 10k R4728 10k R4724 100 R4722 100 R4721 100 R4778 100k R4775 1k R4777 1k R4776 100k R4738 100 R4737 10k R4768 100 R4767 10k R4766 100 R4765 10k R4764 100 R4763 10k R4762 100 R4896 6.8k R4793 10k R4898 10k R4791 10k R4784 10k R4899 10k R4761 10k R4785 10k R4786 100 R4783 100 R4781 10k R4803 22 R4711 12k R4774 10k R4779 10k R4780 10k R4708 10k R4707 100 R4705 39k R4666 10k R4706 10k R4710 1k R4806 22 R4769 10k X4502 H0J200500076 C4703 16V 1u D4701 MAZ303300L EEPROM SCW3 ARM I/O CLOCK GEN AJ_DAC0 P2_SW DEBUG_in RXD_Tuner RXD_PC TXD_Tuner TXD_PC DEBUG_out SOS_INH RMIN SCW3 ARM IIC SCW3 ARM_TEST 3V_SOS AC_SENSE FAN_SOS/INV_SOS 5V_SOS F15V_MON 15V_SOS LED_Red LED_Green STAB_ON LSI_RESET(OUTPUT) P_ON/OFF2 ALL_OFF IIC_INT IIC_CONT EEPROM_WP TV_ON/OFF DRIVER_MUTE AUDIO_MUTE UART_SW SENSE_OUT RTC_INT READY ALARM IIC_CONT BUS CONTROL GND IIC_INT/BOOT SDA3 SCL2 STB3.3V TXD RXD SDA1 GND SCL1 STB5V SCL3 SDA2 KEY_DET AC_GOOD P_ON/OFF DPMS_HD DPMS_VD DPMS_SW SDA1 SCL1 SDA3 SCL2 SCL3 SDA2 SDA4 SCL4 INV_OM FLD_OUT KEY_INPUT SL1_DET SL2_DET SL3_DET DS_SOS 15V_ON/OFF F15V_ON/OFF IIC_SW_DAC3 IIC_SW_DAC4 VRH VRL KILL_SOS RUSH_ON/OFF AJ_DAC1 ADIM TPEPW TPI2L SCW3(ARM) IC4501 C1AB00002902 SCW3 29 36 35 34 32 31 30 28 33 DN-BOARD TXNDN2VETC (4/7) ! 21 22 23 31 33 32 24 25 34 35 TH-50PH11CK DN-Board (4 of 7) Schematic Diagram TH-50PH11CK DN-Board (4 of 7) Schematic Diagram 60 12.16.DN 电路板 (5/7) 线路图 AO_A6 AQ_D5 AP_WE AQ_D15 AO_A10 AQ_D8 AO_A1 AQ_D9 AO_A16 AQ_D11 AO_A18 AQ_D13 AQ_D7 AO_A12 AQ_D6 AQ_D4 AO_A13 AQ_D1 AP_OE AO_A4 AO_A0 AO_A8 AO_A11 AQ_D0 AO_A2 AO_A14 AO_A5 AQ_D2 AO_A7 AP_CE AQ_D3 AQ_D10 AO_A17 AO_A9 AQ_D14 AQ_D12 AO_A15 AO_A3 SCW3_TDO TRACEPKT0 TRACEPKT1 TRACEPKT2 TRACEPKT3 TRACECLK RTCK AO_A4 AO_A3 AO_A5 AO_A6 AO_A7 AO_A2 AO_A1 AO_A0 AO_A8 AO_A9 AO_A10 AO_A11 AO_A12 AO_A15 AO_A14 AO_A13 AO_A17 AO_A16 AO_A19 AO_A18 AP_WE AP_CE AP_OE AQ_D15 AQ_D14 AQ_D13 AQ_D12 AQ_D11 AQ_D10 AQ_D9 AQ_D8 AQ_D6 AQ_D5 AQ_D4 AQ_D3 AQ_D2 AQ_D1 AQ_D0 AQ_D7 MC_LD MCDATA_O MCCLK PIPESTAT0 PIPESTAT1 PIPESTAT2 TRACESYNC SCW3_TCK SCW3_TDI SCW3_TMS SCW3_NTRST SCW3_NTRST C4891 16V 1u C4892 16V 0.1u C4886 16V 0.1u C4887 16V 0.1u IC4501 H2 GIO[21] IC4501 D6 DB[1] IC4501 D21 CS0 IC4501 F7 DB[15] IC4501 B13 ADL[2] IC4501 B6 DB[6] IC4501 C10 DB[11] IC4501 C20 ADH[17] IC4501 G22 SDCAS IC4501 E19 ADH[18] IC4501 C5 RTCK IC4501 K2 GIO[28] IC4501 D7 DB[3] IC4501 C19 ADH[10] IC4501 K5 GIO[26] IC4501 E17 ADH[11] IC4501 B12 ADL[7] IC4501 B20 ADH[12] IC4501 G3 GIO[16] IC4501 J5 GIO[19] IC4501 L6 GIO[25] IC4501 A8 DB[10] IC4501 AB1 TRST IC4501 J3 GIO[24] IC4501 A12 ADL[6] IC4501 A7 DB[8] IC4501 D8 DB[0] IC4501 B2 GIO[1] IC4501 F17 WR0 IC4501 J4 GIO[23] IC4501 E20 CS2 IC4501 D18 ADH[15] IC4501 H4 GIO[17] IC4501 A22 ADH[19] IC4501 A20 ADL[3] IC4501 E8 DB[2] IC4501 C7 DB[5] IC4501 F18 CS4 IC4501 C21 CS1 IC4501 F1 GIO[20] IC4501 D20 RD IC4501 E18 ADH[13] IC4501 AD1 TCK IC4501 F13 ADL[1] IC4501 AC1 TDO IC4501 AA2 TMS IC4501 J1 GIO[27] IC4501 F11 DB[9] IC4501 A19 ADL[4] IC4501 A21 ADH[14] IC4501 F8 RST IC4501 C12 RDY IC4501 B22 ADH[21] IC4501 G21 WR1 IC4501 E9 BUSCLK IC4501 E22 SDCS IC4501 AC2 TDI IC4501 C6 DB[4] IC4501 G2 GIO[18] IC4501 F10 DB[13] IC4501 A18 ADL[0] IC4501 F22 SDWE IC4501 B21 ADH[16] IC4501 E16 ADH[9] IC4501 D11 DB[14] IC4501 F5 GIO[0] IC4501 F21 SDCKE IC4501 A13 ADL[5] IC4501 D3 GIO[3] IC4501 D10 DB[12] IC4501 H1 GIO[22] IC4501 F16 ADH[8] IC4501 F19 SDRAS IC4501 B8 DB[7] IC4501 D19 ADH[20] C0EBE0000120 IC4704 1 RST 2 VDD 3 GND 5 Cd 4 NC TVRP682-3 IC4702 1 A15 2 A14 3 A13 4 A12 5 A11 6 A10 7 A9 8 A8 9 NC 10 NC 11 WE# 12 RESET# 13 NC 14 NC 15 RY/BY# 16 A18 17 A17 18 A7 19 A6 20 A5 21 A4 22 A3 23 A2 24 A1 25 A0 26 CE# 27 VSS 28 OE# 29 DQ0 30 DQ8 31 DQ1 32 DQ9 33 DQ2 34 DQ10 35 DQ3 36 DQ11 37 VCC 38 DQ4 39 DQ12 40 DQ5 41 DQ13 42 DQ6 43 DQ14 44 DQ7 45 DQ15/A-1 46 VSS 47 BYTE# 48 A16 L4702 J0JHC0000096 STB3.3V STB3.3V SW_3.3V STB3.3V STB3.3V Q4701 B1CBHD000002 G D S R4821 EXB38V103JV R4825 EXB38V220JV R4826 EXB38V220JV R4853 EXB38V100JV R4827 EXB38VR000V R4858 EXB2HV100JV R4852 EXB2HV100JV R4857 EXB2HV100JV R4851 EXB2HV100JV R4848 0 R4890 5.6k R4892 0 R4824 22 R4823 22 R4743 2.7k R4742 100 R4746 100 R4749 100 R4856 0 R4745 10k R4855 0 R4854 0 R4822 0 R4887 10k R4886 0 R4859 10k R4701 0 R4739 10k R4835 EXB38VR000V R4834 EXB38VR000V R4849 EXB38VR000V R4832 0 R4828 10k R4830 0 R4829 10k R4831 10k STB3.3V SCW3 FLASHROM/SDRAM I/O 8M-FLASH TRACEPKT[3] TRACESYNC TRACECLK PIPESTAT[2] TRACEPKT[1] TRACEPKT[2] TRACEPKT[0] PIPESTAT[1] PIPESTAT[0] TRACEPKT[7] TRACEPKT[6] TRACEPKT[5] TRACEPKT[4] FPGA_CLK FPGA_LD FPGA_DATIN ASIC-ARM SCW3 ARM_ICE SCW3 RST RESET 43 44 42 41 37 38 39 40 45 IC4501 C1AB00002902 SCW3 DN-BOARD TXNDN2VETC (5/7) ! SCW SIDE FPGA 31 32 33 41 43 42 34 35 44 TH-50PH11CK DN-Board (5 of 7) Schematic Diagram TH-50PH11CK DN-Board (5 of 7) Schematic Diagram 61 12.17.DN 电路板 (6/7) 线路图 + + + G G G G G G 9 8 7 6 5 4 3 2 0 1 14 13 12 17 10 11 16 15 18 19 24 23 22 27 20 21 26 25 28 29 PI1FLD PI1ACT 3B 4B 5B 6B 7B 8B 9B 1B 0B 2B 11B 10B 17B 19B 12B 18B 13B 14B 15B 16B POCLK PI2ACT PI2FLD 20B 21B 22B 23B 24B 25B 26B 27B 28B 29B HDO1 VDO1 PI2HS PI2VS PI2CLK PI1CLK C4540 6.3V 10u C4541 16V 0.1u C4542 16V 0.1u C4543 16V 0.1u C4544 16V 0.1u C4545 16V 0.1u C4546 16V 0.1u C4547 16V 0.1u C4548 16V 0.1u C4549 16V 0.1u C4550 16V 0.1u C4584 16V 0.1u C4551 16V 0.1u C4552 16V 0.1u C4553 16V 0.1u C4554 16V 0.1u C4555 16V 0.1u C4556 16V 0.1u C4557 16V 0.1u C4558 16V 0.1u C4559 16V 0.1u C4560 16V 0.1u C4591 50V 9p C4592 50V 9p C4571 16V 0.1u C4572 16V 0.1u C4573 16V 0.1u C4574 16V 0.1u C4570 16V 0.1u C4569 16V 0.1u C4568 16V 0.1u C4567 16V 0.1u C4566 16V 0.1u C4565 16V 0.1u C4564 16V 0.1u C4563 16V 0.1u C4562 16V 0.1u C4561 16V 0.1u C4582 16V 0.1u C4506 6.3V 10u C4505 6.3V 10u C4531 6.3V 10u C4532 6.3V 10u C4507 16V 0.1u C4508 16V 0.1u C4509 16V 0.1u C4510 16V 0.1u C4511 16V 0.1u C4512 16V 0.1u C4575 16V 0.1u C4513 16V 0.1u C4524 16V 0.1u C4514 16V 0.1u C4515 16V 0.1u C4516 16V 0.1u C4517 16V 0.1u C4518 16V 0.1u C4519 16V 0.1u C4520 16V 0.1u C4521 16V 0.1u C4522 16V 0.1u C4523 16V 0.1u C4525 16V 0.1u C4526 16V 0.1u C4527 16V 0.1u C4528 16V 0.1u C4529 16V 0.1u C4530 16V 0.1u C4580 16V 0.1u C4579 6.3V 10u C4538 16V 0.1u C4537 16V 0.1u C4536 16V 0.1u C4535 16V 0.1u C4534 16V 0.1u C4533 16V 0.1u C4539 6.3V 10u C4581 6.3V 10u C4576 6.3V 10u C4588 16V 0.1u C4587 6.3V 10u C4586 16V 0.1u C4585 6.3V 10u C4583 6.3V 10u C4578 6.3V 10u C4577 16V 0.1u C4504 220u 4V C4503 220u 4V C4502 220u 4V FL4504 F1J1E104A148 1 2 3 FL4502 F1J1E104A148 1 2 3 FL4501 F1J1E104A148 1 2 3 IC4501 A1 VDE33 IC4501 P13 VDDC IC4501 L13 VDDC IC4501 B15 ADC_VDE33 IC4501 AE19 VDE25 IC4501 C22 PI2D[4] IC4501 AC4 VDE33 IC4501 N11 VDDC IC4501 B9 RTCXTALVSS IC4501 D15 VDE33 IC4501 F23 PI2D[18] IC4501 AC25 VDE25 IC4501 AD8 POXCLKO IC4501 V17 VDDC IC4501 N24 PI1D[21] IC4501 AC9 POXCLKOEN IC4501 J23 PI2D[28] IC4501 T24 VSS IC4501 W16 VDE25 IC4501 N18 VDDC IC4501 T8 VDE33 IC4501 AB7 POD[14] IC4501 AF15 OSDT[1] IC4501 AE17 TOCLKPLLVSS IC4501 AB10 POD[20] IC4501 AD3 VSS IC4501 E1 VDE33 IC4501 T19 VDE25 IC4501 H13 VDE33 IC4501 C13 VDE33 IC4501 AC15 MCLK IC4501 AA4 VDE33 IC4501 H24 PI2D[25] IC4501 U22 VSS IC4501 R17 VDDC IC4501 AE12 POD[29] IC4501 J9 VDDC IC4501 P22 PI1D[11] IC4501 L14 VDDC IC4501 AD21 VSS IC4501 C15 DAC_VDE33 IC4501 B24 PI2D[5] IC4501 H19 VDE33 IC4501 P18 VDDC IC4501 T10 VDDC IC4501 AA8 POD[16] IC4501 W5 VSS IC4501 U16 VDDC IC4501 AB14 VSS IC4501 U19 VDE25 IC4501 F15 VSS IC4501 L24 PI1D[28] IC4501 J16 VDDC IC4501 R15 VDDC IC4501 L18 VDDC IC4501 K6 VSS IC4501 U24 PI1D[4] IC4501 P6 VSS IC4501 C18 VDE33 IC4501 J15 VDDC IC4501 E5 VDE33 IC4501 T9 VDDC IC4501 AB16 VDE25 IC4501 P12 VDDC IC4501 W8 VDE33 IC4501 AB5 POD[4] IC4501 M15 VDDC IC4501 K22 PI2FLD IC4501 AD14 POCLK IC4501 L10 VDDC IC4501 F20 VSS IC4501 A26 PI2D[7] IC4501 L9 VDDC IC4501 AD12 POVS IC4501 J12 VDDC IC4501 N8 VDE33 IC4501 AC11 POD[25] IC4501 AE7 POD[15] IC4501 T16 VDDC IC4501 U17 VDDC IC4501 AF18 VSS IC4501 AE3 SYSCLK IC4501 R14 VDDC IC4501 Y23 VDE25 IC4501 AE13 POFLD IC4501 AA12 VDE33 IC4501 R10 VDDC IC4501 AB9 POCLKO IC4501 R26 PI1D[14] IC4501 B10 RTCXTALVDD IC4501 K15 VDDC IC4501 M11 VDDC IC4501 AA22 VSS IC4501 R13 VDDC IC4501 J11 VDDC IC4501 AC17 VSS IC4501 J18 VDDC IC4501 A3 ARMPLLVDD IC4501 P25 PI1D[16] IC4501 P16 VDDC IC4501 M18 VDDC IC4501 U14 VDDC IC4501 AE4 VDE33 IC4501 AB2 VDE33 IC4501 AA5 IPCLK IC4501 K21 PI1ACT IC4501 R18 VDDC IC4501 H14 VDE33 IC4501 AA16 OSDT[0] IC4501 K16 VDDC IC4501 V24 VDE25 IC4501 B23 PI2D[3] IC4501 AD17 APLLVDS IC4501 N26 PI1D[23] IC4501 V14 VDDC IC4501 L12 VDDC IC4501 M13 VDDC IC4501 G23 PI2D[19] IC4501 F12 VSS IC4501 N19 VDE33 IC4501 H12 VDE33 IC4501 K24 VSS IC4501 C8 VSS IC4501 M19 VDE33 IC4501 E24 PI2D[11] IC4501 D22 VSS IC4501 P23 PI1D[13] IC4501 M1 VSS IC4501 W15 VDE25 IC4501 A6 VSS IC4501 D4 VSS IC4501 E26 PI2D[20] IC4501 P9 VDDC IC4501 A10 VSS IC4501 M22 PI1D[19] IC4501 M5 VSS IC4501 T12 VDDC IC4501 AD24 VSS IC4501 V16 VDDC IC4501 T17 VDDC IC4501 M12 VDDC IC4501 AD10 POD[18] IC4501 V13 VDDC IC4501 R4 VSS IC4501 AC14 MCLKSELX IC4501 AE6 POD[9] IC4501 AD22 VDE25 IC4501 R9 VDDC IC4501 L25 PI1D[25] IC4501 J19 VDE33 IC4501 T11 VDDC IC4501 D26 PI2CLK IC4501 E25 PI2D[17] IC4501 AF14 POCLKSELX IC4501 V2 VSS IC4501 A4 ARMPLLVSS IC4501 AF5 POD[6] IC4501 AF8 XTALIN IC4501 T21 PI1D[1] IC4501 V8 VDE33 IC4501 AB11 POD[22] IC4501 AB3 VSS IC4501 U18 VDDC IC4501 R25 VDE33 IC4501 H18 VDE33 IC4501 J14 VDDC IC4501 J10 VDDC IC4501 R23 PI1D[7] IC4501 H5 VSS IC4501 B25 PI2D[2] IC4501 T13 VDDC IC4501 D23 PI2D[10] IC4501 J25 PI2VS IC4501 H3 VSS IC4501 T15 VDDC IC4501 AB26 VSS IC4501 B11 VDE33 IC4501 L21 PI1FLD IC4501 E23 VSS IC4501 U12 VDDC IC4501 K19 VDE33 IC4501 V9 VDDC IC4501 D16 DAC_VSS IC4501 F6 VSS IC4501 AB8 POD[11] IC4501 K25 PI1VS IC4501 AD7 POD[10] IC4501 AC5 POD[0] IC4501 R12 VDDC IC4501 R11 VDDC IC4501 F9 RTCXTALIOB IC4501 N10 VDDC IC4501 M17 VDDC IC4501 H15 VDE33 IC4501 T26 PI1D[8] IC4501 L8 VDE33 IC4501 AC6 POD[7] IC4501 J8 VDE33 IC4501 H22 VDE33 IC4501 AD6 POD[8] IC4501 AA6 POD[3] IC4501 AC7 POD[13] IC4501 J21 VSS IC4501 U9 VDDC IC4501 U10 VDDC IC4501 F25 VDE33 IC4501 AE15 OSDEN IC4501 H21 PI2HS IC4501 G1 VDE33 IC4501 AF7 POD[17] IC4501 AA10 POD[24] IC4501 P19 VDE33 IC4501 P14 VDDC IC4501 G25 PI2D[22] IC4501 T18 VDDC IC4501 J17 VDDC IC4501 D24 PI2D[9] IC4501 N15 VDDC IC4501 W10 VDE33 IC4501 AE8 VDE33 IC4501 K8 VDE33 IC4501 AD15 VSS IC4501 U13 VDDC IC4501 E13 ADC_VSS IC4501 W2 VDE33 IC4501 F24 PI2D[12] IC4501 K17 VDDC IC4501 W18 VDE25 IC4501 K23 PI1HS IC4501 AE5 POD[5] IC4501 J24 PI2ACT IC4501 P8 VDE33 IC4501 P11 VDDC IC4501 AC12 POACT IC4501 R8 VDE33 IC4501 AD9 VSS IC4501 A23 PI2D[0] IC4501 H11 VDE33 IC4501 AE14 OSDT[2] IC4501 AA7 VDE33 IC4501 L26 PI1D[24] IC4501 AA11 POD[26] IC4501 AE16 TOCLKPLLVDD IC4501 G26 PI2D[21] IC4501 E10 VSS IC4501 W11 VDE33 IC4501 V19 VDE25 IC4501 W17 VDE25 IC4501 AE11 POD[23] IC4501 B7 VDE33 IC4501 AF17 TIPCLKPLLVSS IC4501 V10 VDDC IC4501 AE10 XTALVSS IC4501 K10 VDDC IC4501 R21 VREF1 IC4501 E21 VDE33 IC4501 AA15 VREF0 IC4501 W12 VDE33 IC4501 L23 VDE33 IC4501 AD11 VDE33 IC4501 AC13 POEXT IC4501 K11 VDDC IC4501 T14 VDDC IC4501 V11 VDDC IC4501 N25 PI1D[17] IC4501 L15 VDDC IC4501 Y1 VSS IC4501 A24 PI2D[1] IC4501 L11 VDDC IC4501 AF4 POD[1] IC4501 B19 VSS IC4501 G24 VSS IC4501 A9 RTCXTALIN IC4501 AF13 POHS IC4501 AF16 TIPCLKPLLVDD IC4501 K26 PI1D[29] IC4501 H9 VDE33 IC4501 L19 VDE33 IC4501 W9 VDE33 IC4501 P17 VDDC IC4501 N9 VDDC IC4501 N13 VDDC IC4501 AA9 POD[19] IC4501 J2 VDE33 IC4501 L22 PI1D[26] IC4501 P10 VDDC IC4501 D9 VDE33 IC4501 N16 VDDC IC4501 J13 VDDC IC4501 H10 VDE33 IC4501 AC8 XTALIOB IC4501 AD5 VSS IC4501 R19 VDE25 IC4501 U8 VDE33 IC4501 C2 VSS IC4501 M10 VDDC IC4501 P15 VDDC IC4501 H17 VDE33 IC4501 M24 PI1D[22] IC4501 R22 PI1D[2] IC4501 AD16 APLLVSS IC4501 H25 PI2D[24] IC4501 W19 VDE25 IC4501 N17 VDDC IC4501 R24 PI1D[10] IC4501 AA3 I2CVSS IC4501 W13 VDE33 IC4501 N14 VDDC IC4501 AF10 XTALVDE IC4501 V12 VDDC IC4501 R16 VDDC IC4501 J22 PI2D[26] IC4501 P5 VDE33 IC4501 AD13 POSYRST IC4501 U5 VDE33 IC4501 AD4 POD[2] IC4501 K12 VDDC IC4501 M21 PI1D[15] IC4501 P26 VSS IC4501 T23 PI1D[6] IC4501 AE9 XTALVDD IC4501 T3 VDE33 IC4501 L4 VDE33 IC4501 AE1 VDE33 IC4501 C9 VSS IC4501 C26 PI2D[16] IC4501 G4 VDE33 IC4501 M8 VDE33 IC4501 H23 PI2D[23] IC4501 U11 VDDC IC4501 H26 PI2D[27] IC4501 T25 PI1D[5] IC4501 N2 VDE33 IC4501 N23 PI1D[12] IC4501 V15 VDDC IC4501 V18 VDDC IC4501 AF3 SYSCLKSELX IC4501 H8 VDE33 IC4501 C24 VSS IC4501 T22 PI1D[0] IC4501 N12 VDDC IC4501 C23 PI2D[6] IC4501 F26 PI2D[15] IC4501 K3 VSS IC4501 AF6 POD[12] IC4501 D17 VSS IC4501 P24 PI1D[18] IC4501 W14 VDE33 IC4501 M23 PI1D[20] IC4501 U26 PI1D[3] IC4501 K14 VDDC IC4501 B26 PI2D[8] IC4501 B14 VSS IC4501 M26 PI1D[27] IC4501 AF12 POD[27] IC4501 D25 PI2D[14] IC4501 AA20 VDE25 IC4501 W21 VDE25 IC4501 C25 PI2D[13] IC4501 AA18 VDE25 IC4501 F2 VSS IC4501 AC10 VSS IC4501 AA13 OSDT[3] IC4501 A16 VSS IC4501 N22 VSS IC4501 J26 PI2D[29] IC4501 AF9 VSS IC4501 AB6 VSS IC4501 AB12 POD[28] IC4501 M16 VDDC IC4501 AB13 VDE33 IC4501 A25 VDE33 IC4501 L17 VDDC IC4501 M9 VDDC IC4501 N21 PI1CLK IC4501 U15 VDDC IC4501 K9 VDDC IC4501 L16 VDDC IC4501 U6 VSS IC4501 B3 VDE33 IC4501 H16 VDE33 IC4501 P21 PI1D[9] IC4501 K18 VDDC IC4501 M25 VDE33 IC4501 K13 VDDC IC4501 M14 VDDC IC4501 AF11 POD[21] L4513 J0JHC0000096 L4514 J0JHC0000096 L4505 J0JHC0000096 L4508 J0JHC0000096 L4512 J0JHC0000096 L4501 J0JHC0000096 L4503 J0JHC0000096 L4507 J0JHC0000096 L4511 J0JHC0000096 L4509 J0JHC0000096 D_3.3V D_2.5V D_2.5V 2.5V 3.3V SCW_3.3V SCW_1.2V SCW_3.3V D_2.5V SCW_1.2V D_1.2V SCW_3.3V 1.2V D_1.2V SCW_3.3V D_3.3V R4520 EXB2HV103JV R4533 0 R4522 0 R4521 0 R4523 0 R4525 0 R4526 0 R4527 0 R4512 10k R4514 10k R4517 0 R4501 820 R4503 10k R4504 0 R4510 10k R4506 10k R4508 10k R4518 10k X4501 H0J360500017 SEPARATE POWER SCW3 GND SCW3 VDDC(1.2V) SCW3 VDE33(3.3V) SCW3 VDE25(2.5V) SCW3_INPUT A from ASIC SCW3_INPUT B from ASIC SCW3 VREF(1.25V) SCW3-NON USE (DIGITAL OUT ) SCW3 POCLK SCW3 SCW3 SYSCLK CLK RTC CLK SCW3 NONUSE CLK SCW3 CLK SEPARATE 54 52 46 53 49 47 50 48 51 SCW3 IC4501 C1AB00002902 DN-BOARD TXNDN2VETC (6/7) ! 41 42 43 51 52 44 TH-50PH11CK DN-Board (6 of 7) Schematic Diagram TH-50PH11CK DN-Board (6 of 7) Schematic Diagram 62 12.18.DN 电路板 (7/7) 线路图 + DDR_DQM2 DDR_DQM1 DDR_DQM3 DDR_A0 DDR_A1 DDR_A2 DDR_DQS0 DDR_A3 DDR_A4 DDR_DQS2 DDR_A5 DDR_A6 DDR_A7 DDR_A8 DDR_DQS3 DDR_A9 DDR_A10 DDR_A11 DDR_BA0 DDR_BA1 DDR_DQM0 DDR_DQ0 DDR_DQ1 DDR_DQ2 DDR_DQ3 DDR_DQ4 DDR_DQ5 DDR_DQ6 DDR_DQ16 DDR_DQ17 DDR_DQ18 DDR_DQ19 DDR_DQ20 DDR_DQ21 DDR_DQ22 DDR_DQ23 DDR_DQ8 DDR_DQ9 DDR_DQ10 DDR_DQ11 DDR_DQ12 DDR_DQ13 DDR_DQ14 DDR_DQ15 DDR_DQ24 DDR_DQ25 DDR_DQ26 DDR_DQ27 DDR_DQ28 DDR_DQ29 DDR_DQ30 DDR_DQ31 DDR_DQ7 DDR_DQS1 DDR_SDCKE DDR_RAS DDR_WE DDR_CAS DMCSB DDR_CLK DDR_NCLK SCW3_DQ8 SCW3_DQ19 SCW3_DQ10 SCW3_DQ13 SCW3_DQS3 SCW3_DQ21 SCW3_DQ18 SCW3_DQ11 SCW3_DQ20 SCW3_DQM0 SCW3_DQ15 SCW3_DQ17 SCW3_DQS2 SCW3_DQ0 SCW3_DQ9 SCW3_DQ12 SCW3_DQ27 SCW3_DQ23 SCW3_DQ5 SCW3_DQ26 SCW3_DQ30 SCW3_DQ6 SCW3_DQ2 SCW3_DQ29 SCW3_DQ16 SCW3_DQS1 SCW3_DQ3 SCW3_DQ25 SCW3_DQ28 SCW3_DQS0 SCW3_DQ4 SCW3_DQM1 SCW3_DQ22 SCW3_DQ7 SCW3_DQ31 SCW3_DQM2 SCW3_DQ24 SCW3_DQ1 SCW3_DQ14 SCW3_DQM3 DDR_DQ0 DDR_DQ1 DDR_DQ2 DDR_DQ3 DDR_DQ4 DDR_DQ5 DDR_DQ6 DDR_DQ7 DDR_DQS0 DDR_DQM0 SCW3_DQ0 SCW3_DQ1 SCW3_DQ2 SCW3_DQ3 SCW3_DQ4 SCW3_DQ5 SCW3_DQ6 SCW3_DQ7 SCW3_DQS0 SCW3_DQM0 DDR_DQ16 DDR_DQ17 DDR_DQ18 DDR_DQ19 DDR_DQ20 DDR_DQ21 DDR_DQ22 DDR_DQ23 DDR_DQS2 DDR_DQM2 DDR_DQS1 DDR_DQM1 DDR_DQ8 DDR_DQ9 DDR_DQ10 DDR_DQ11 DDR_DQ12 DDR_DQ13 DDR_DQ14 DDR_DQ15 DDR_DQ24 DDR_DQ25 DDR_DQ26 DDR_DQ27 DDR_DQ28 DDR_DQ29 DDR_DQ30 DDR_DQ31 DDR_DQS3 DDR_DQM3 SCW3_A0 SCW3_A1 SCW3_A2 SCW3_A3 SCW3_A4 SCW3_A5 SCW3_A6 SCW3_A7 SCW3_A8 SCW3_A9 SCW3_A10 SCW3_A11 DDR_A8 DDR_A9 DDR_A10 DDR_A11 SCW3_MRAS SCW3_BA1 SCW3_MCS SCW3_MCLKB SCW3_MCLK SCW3_MCAS SCW3_MWR SCW3_MCKE SCW3_BA0 DDR_BA0 DDR_BA1 DDR_SDCKE DMCSB DDR_RAS DDR_CAS DDR_WE DDR_CLK DDR_NCLK D_IIC_CONT D_RXD D_TXD D_IIC_CLK2 D_IIC_DATA2 READY PANEL_STBY_ON ALARM DISPEN DISPEN DRVMUTE PANEL_STBY_ON SCW3_DQ8 SCW3_DQ9 SCW3_DQ10 SCW3_DQ11 SCW3_DQ12 SCW3_DQ13 SCW3_DQ14 SCW3_DQ15 SCW3_DQS1 SCW3_DQM1 SCW3_DQ16 SCW3_DQ17 SCW3_DQ18 SCW3_DQ19 SCW3_DQ20 SCW3_DQ21 SCW3_DQ22 SCW3_DQ23 SCW3_DQS2 SCW3_DQM2 SCW3_DQ24 SCW3_DQ25 SCW3_DQ26 SCW3_DQ27 SCW3_DQ28 SCW3_DQ29 SCW3_DQ30 SCW3_DQ31 SCW3_DQS3 SCW3_DQM3 SCW3_MCLK SCW3_MCLKB SCW3_A8 SCW3_A9 SCW3_A10 SCW3_A11 SCW3_BA0 SCW3_BA1 SCW3_MCKE SCW3_MCS SCW3_MRAS SCW3_MCAS SCW3_MWR 3V_SDA4 3V_SCL4 D_IIC_CLK1 D_IIC_DATA1 DDR_A0 DDR_A1 DDR_A2 DDR_A3 DDR_A4 DDR_A5 DDR_A6 DDR_A7 SCW3_A7 SCW3_A6 SCW3_A5 SCW3_A4 SCW3_A3 SCW3_A2 SCW3_A1 SCW3_A0 TX_TE+ TX_TE- TX_TA- TX_TA+ TX_TB- TX_TB+ TX_TC- TX_TC+ TX_TCLK- TX_TCLK+ TX_TD+ TX_TD- TV_ON/OFF C4602 6.3V 10u C4599 16V 0.1u C4597 16V 0.1u C4629 10V 0.1u C4625 10V 0.1u C4626 16V 0.01u C4618 16V 0.01u C4609 10V 0.1u C4604 10V 0.1u C4621 10V 0.1u C4613 10V 0.1u C4603 6.3V 10u C4617 10V 0.1u C4614 16V 0.01u C4605 10V 0.1u C4606 16V 0.01u C4622 16V 0.01u C4610 16V 0.01u C4598 6.3V 10u C4596 6.3V 10u C4601 56u 4V FL4114 J0JAD0000028 1 2 3 4 FL4115 J0JAD0000028 1 2 3 4 FL4116 J0JAD0000028 1 2 3 4 IC4501 N1 LVDSPLLVDS IC4501 R1 LVDSBIASPINPUT IC4501 AF25 MA[10] IC4501 AA19 MCKE IC4501 AB19 MDQS[2] IC4501 AA24 MA[3] IC4501 AE22 MCLKO2B IC4501 U23 MD[3] IC4501 T1 LVDSBRES1 IC4501 AC19 MD[23] IC4501 R2 LVDSBRES2 IC4501 AE23 MD[17] IC4501 AD23 MA[12] IC4501 T5 LVDSO3 IC4501 V21 MD[12] IC4501 AD18 MD[28] IC4501 AA21 MA[6] IC4501 R3 LVDSOB5 IC4501 AD25 MWR IC4501 AE21 MD[20] IC4501 AB20 MD[16] IC4501 AA23 MA[1] IC4501 V6 LVDS_VSS IC4501 AC22 BA[0] IC4501 W23 MDQM[1] IC4501 AF20 MD[29] IC4501 V25 MDQS[0] IC4501 AE25 MCLKO1 IC4501 AC23 MA[8] IC4501 Y26 MD[7] IC4501 AC26 MD[11] IC4501 U25 MD[1] IC4501 V5 LVDS_VDE IC4501 V26 MD[0] IC4501 AA25 MD[14] IC4501 AF22 MD[24] IC4501 T2 LVDSO5 IC4501 AD19 MD[25] IC4501 V3 LVDSO2 IC4501 AC21 MD[18] IC4501 AF19 MD[30] IC4501 AB17 MD[26] IC4501 AF26 MRAS IC4501 AC24 MCLKO2 IC4501 AD26 MD[15] IC4501 AF23 MD[21] IC4501 V23 MD[4] IC4501 Y22 MA[0] IC4501 AC16 MCLKSEL[2] IC4501 V22 MD[5] IC4501 Y24 MD[13] IC4501 AB23 MA[4] IC4501 AE26 MA[7] IC4501 AB22 MA[9] IC4501 V4 LVDSO0 IC4501 AA17 MD[19] IC4501 P4 LVDSBIASNINPUT IC4501 U1 LVDSOB4 IC4501 AE18 MD[31] IC4501 AC20 MDQM[2] IC4501 U2 LVDSO4 IC4501 AB15 MCLKSEL[0] IC4501 AA14 MCLKSEL[1] IC4501 V1 LVDSOB2 IC4501 AF21 MDQM[3] IC4501 AB24 MDQS[1] IC4501 W24 MCS IC4501 AE20 MDQS[3] IC4501 AB25 MD[10] IC4501 AC18 MD[27] IC4501 AE24 MA[11] IC4501 Y21 MA[5] IC4501 W26 MD[2] IC4501 W25 MDQM[0] IC4501 AB18 MD[22] IC4501 U3 LVDSO1 IC4501 AD20 MCAS IC4501 P1 LVDSPLLVSS IC4501 W22 MA[2] IC4501 U4 LVDSOB0 IC4501 AB21 MCLKO1B IC4501 AA26 MD[6] IC4501 T4 LVDSOB1 IC4501 U21 MD[8] IC4501 AF24 BA[1] IC4501 R5 LVDSOB3 IC4501 Y25 MD[9] DN5 1 2 3 4 5 6 7 8 9 10 11 12 13 14 15 16 17 18 19 20 21 22 23 24 25 26 27 28 29 30 31 L4521 J0JHC0000096 L4516 J0JHC0000096 L4515 J0JHC0000096 2.5V SCW_1.2V D_3.3V LVDS_3.3V SW_3.3V SCW_3.3V ZA4002 K4CD01000011 ZA4001 K4CD01000011 TP4027 TP4028 TP4029 Q4702 2SD0601A0L Q4703 2SD0601A0L R4550 EXB28V220JX R4549 EXB28V220JX R4546 EXB28V220JX R4545 EXB28V220JX R4542 EXB28V220JX R4565 EXB38V103JV R4541 EXB28V220JX R4558 EXB28V220JX R4554 EXB28V220JX R4559 EXB28V220JX R4553 EXB28V220JX R4557 EXB2HV220JV R4603 0 R4543 22 R4544 22 R4547 22 R4548 22 R4551 22 R4552 22 R4555 22 R4556 22 R4575 33 R4574 360 R4560 22 R4563 22 R4564 22 R4573 100 R4572 680 R4571 100 R4561 22 R4487 1k R4482 10k R4484 100 R4483 10k R4486 10k R4485 10k R4601 1k R4602 1k R4497 0 R4562 22 R4496 0 R4488 100 R4498 0 LVDS_3.3V R4570 100 R4585 100 R4586 100 R4584 100 R4583 100 R4582 100 R4581 100 1u 10V C4600 1u 10V C4595 IC4502 B2 DQS0 IC4502 G3 DQ18 IC4502 K3 DQ23 IC4502 H12 DM1 IC4502 J8 VSS_Thermal IC4502 E4 VDD IC4502 N13 VREF IC4502 F10 VSSQ IC4502 J12 DQ11 IC4502 E13 DQ24 IC4502 G5 VSSQ IC4502 H11 NC IC4502 H4 NC IC4502 M5 BA1 IC4502 J10 VSSQ IC4502 G2 DQ19 IC4502 M8 A9 IC4502 M4 NC IC4502 L11 VDD IC4502 E3 VDDQ IC4502 F9 VSS_Thermal IC4502 C5 VDDQ IC4502 J13 DQ10 IC4502 M9 A5 IC4502 F3 DQ16 IC4502 B7 DQ0 IC4502 G12 DQ13 IC4502 H10 VSSQ IC4502 D6 VSSQ IC4502 B5 DQ3 IC4502 B10 DQ28 IC4502 H3 DM2 IC4502 N6 A1 IC4502 D9 VSSQ IC4502 F6 VSS_Thermal IC4502 F11 VDDQ IC4502 K8 VSS IC4502 M3 NC IC4502 D11 VSSQ IC4502 M7 A11 IC4502 N8 A4 IC4502 E8 VSS IC4502 C3 VDDQ IC4502 M2 RAS IC4502 N3 NC IC4502 L7 VDD IC4502 F4 VDDQ IC4502 J6 VSS_Thermal IC4502 C2 DQ4 IC4502 B12 DM3 IC4502 K10 VSSQ IC4502 J11 VDDQ IC4502 L3 WE IC4502 E5 VSS IC4502 B13 DQS3 IC4502 F2 DQ17 IC4502 J3 DQ20 IC4502 B6 DQ2 IC4502 H9 VSS_Thermal IC4502 J7 VSS_Thermal IC4502 N5 A0 IC4502 C7 VDDQ IC4502 H2 DQS2 IC4502 M12 CK IC4502 F5 VSSQ IC4502 N12 CKE IC4502 E6 VSSQ IC4502 E7 VSS IC4502 H13 DQS1 IC4502 L13 NC IC4502 B4 VSSQ IC4502 K6 VSS IC4502 C11 NC IC4502 K11 VDDQ IC4502 D5 VSSQ IC4502 J5 VSSQ IC4502 L5 VSS IC4502 K12 DQ9 IC4502 D2 DQ6 IC4502 L12 NC IC4502 K2 DQ22 IC4502 M11 CK IC4502 K13 DQ8 IC4502 J2 DQ21 IC4502 G4 VDDQ IC4502 K7 VSS IC4502 C9 DQ30 IC4502 H8 VSS_Thermal IC4502 H6 VSS_Thermal IC4502 C4 NC IC4502 E2 DQ7 IC4502 E10 VSS IC4502 G13 DQ12 IC4502 M10 RFU IC4502 B8 DQ31 IC4502 E12 VDDQ IC4502 N4 BA0 IC4502 N11 A8/AP IC4502 D4 VSSQ IC4502 C10 VDDQ IC4502 N2 CS IC4502 B11 VSSQ IC4502 G8 VSS_Thermal IC4502 C6 DQ1 IC4502 L6 A10 IC4502 G11 VDDQ IC4502 M13 NC IC4502 D7 VDD IC4502 D3 DQ5 IC4502 E11 VDD IC4502 C8 VDDQ IC4502 L10 VSS IC4502 K4 VDDQ IC4502 F8 VSS_Thermal IC4502 M6 A2 IC4502 G9 VSS_Thermal IC4502 J9 VSS_Thermal IC4502 N10 A7 IC4502 D13 DQ25 IC4502 B9 DQ29 IC4502 E9 VSSQ IC4502 D12 DQ26 IC4502 F13 DQ14 IC4502 L2 CAS IC4502 D10 VSSQ IC4502 G7 VSS_Thermal IC4502 G10 VSSQ IC4502 L9 NC IC4502 C12 VDDQ IC4502 L4 VDD IC4502 K9 VSS IC4502 L8 VDD IC4502 K5 VSSQ IC4502 F7 VSS_Thermal IC4502 C13 DQ27 IC4502 N7 A3 IC4502 N9 A6 IC4502 F12 DQ15 IC4502 D8 VDD IC4502 B3 DM0 IC4502 G6 VSS_Thermal IC4502 J4 VDDQ IC4502 H5 VSSQ IC4502 H7 VSS_Thermal SCW3-DDR GND TXD D_SCL1 D_SCL2 RXD GND INEXCH D_SDA2 DISPEN PANEL_STBY_ON D_SDA1 GND IIC_CONT - LVDSCLK A+ LVDS0 D- LVDS3 C- LVDS2 B- LVDS1 B+ LVDS1 + LVDSCLK GND GND A- LVDS0 GND D+ LVDS3 C+ LVDS2 E- LVDS4 DDR DDR GND DDR NC PIN POWER FOR DDR Data I/O Data I/O Input mask Data strobe SCW3 LVDS TERMINATION SCW3 LVDS BIAS LVDS VDE E+ LVDS4 TPRDY TPALM IC4502 C3ABQY000032 D-BOARD TO (D5) 63 62 56 55 58 57 60 59 61 SCW3 C1AB00002902 IC4501 SCW3_LVDS OUT to PD1M DN-BOARD TXNDN2VETC (7/7) ! 51 52 PANEL SOS PANEL_STATUS TH-50PH11CK DN-Board (7 of 7) Schematic Diagram TH-50PH11CK DN-Board (7 of 7) Schematic Diagram 63 12.19.D 电路板 (1/5) 线路图 + + + G G G G G G TERM SIDE SC_CSL SC_DRV_RST SC_SID SC_SCSU SC_CLK FP_SCSU FP_CMH SC_CBK FP_CBK SC_CPH1 SC_OC2 SC_SIU FP_CSH FP_OC2 SC_CML SC_CSH SC_CMH SC_CSH FP_CML SC_CMH SC_CLK FP_SC_DRV_RST SC_SIU SC_OC2 FP_SID SC_CML SC_SID SC_CBK FP_CPH1 SC_CSL SC_DRV_RST SC_CPH1 FP_SIU SC_SCSU P_ON/OFF SC_OC1 SC_CPH2 SC_OC1 SC_CPH2 FP_OC1 FP_CPH2 VDATA_DET FP_CLK SC_LAT SC_CEL FP_LAT FP_CEL SC_LAT SC_CEL SOS6_SC1 SOS4_PS PANEL_MAIN_ON SOS7_SC2 FP_CSL C9029 10V 10u C9881 0.01u 25V C9867 10u 25V C9823 10u 25V C9884 1000p 50V C9869 10u 25V C9864 0.1u 25V C9860 4.7u 6.3V C9885 1000p 50V C9887 0.1u 25V C9837 10u 10V C9840 25V 0.01u C9872 10u 25V C9028 10V 10u C9877 68p 50V C9861 0.1u 25V C9883 100p 50V C9841 16V 0.1u C9842 16V 0.1u C9874 68p 50V C9846 16V 0.1u C9882 8200p 16V C9832 10u 10V C9886 0.1u 25V C9859 25V 0.01u C9863 4.7u 6.3V C9880 0.056u 10V C9870 10u 25V C9871 10u 25V C9878 0.01u 25V C9868 10u 25V C9858 10u 25V C9844 25V 0.01u C9845 16V 0.1u C9862 0.1u 25V C9879 0.015u 16V C9888 360p 50V C9873 68u 4V C9865 68u 4V C9866 68u 4V D9815 B0JCGD000002 D9813 B0JCGD000002 D9812 MA22D3900L D9814 B0JCGD000002 D9808 B0JCCE000008 D9807 B0JCCE000008 D9817 MA22D3900L D9816 MA22D3900L F1J1E104A148 FL9803 F1J1E104A148 FL9805 F1J1E104A148 FL9806 C0JBAZ002692 IC9802 G1 1 2 A1 3 A2 4 A3 5 A4 6 A5 7 A6 8 A7 9 A8 10 GND 11 Y8 12 Y7 13 Y6 14 Y5 15 Y4 16 Y3 17 Y2 18 Y1 19 G2 20 Vcc C0JBAZ002692 IC9803 G1 1 2 A1 3 A2 4 A3 5 A4 6 A5 7 A6 8 A7 9 A8 10 GND 11 Y8 12 Y7 13 Y6 14 Y5 15 Y4 16 Y3 17 Y2 18 Y1 19 G2 20 Vcc C0DBAYY00273 IC9806 1 GND 2 REFIN 3 VREF 4 CS 5 COVP 6 CUVP 7 PGOOD 8 CTL 9 LSAT 10 ILIM 11 +INC 12 -INC 13 FSW 14 PGND 15 OUT-2 16 VB 17 VCC 18 VBIN 19 LX 20 OUT-1 21 CB 22 RT 23 VO 24 FB C0DBAYY00274 IC9805 1 RT 2 CS1 3 VO1 4 FB1 5 REFIN1 6 ILIM1 7 -INC1 8 -INC2 9 ILIM2 10 FSW 11 FB2 12 VO2 13 CS2 14 GND 15 VREF 16 CTL 17 CB2 18 OUT2-1 19 LX2 20 OUT2-2 21 VB 22 PGND 23 VCC 24 OUT1-2 25 LX1 26 OUT1-1 27 CB1 28 PGOOD 29 CUVP 30 OVP D20 1 2 3 4 5 6 7 8 9 10 11 12 13 14 15 16 17 18 19 20 21 22 23 24 25 26 27 28 29 30 D25 1 2 3 4 5 6 7 8 9 10 11 12 13 L9802 G1C2R2Z00007 L9801 G1C1R5Z00006 L9800 G1C2R2Z00007 STB5V_M P15V P15V_MOTO P3.3V P5V P15V P2.5V P5V P15V P5V P5V VB1_5V P3.3V P15V VB1_5V P15V_MOTO VB1_5V P15V P1.2V PA9900 K5H5022A0031 PA9800 K5H4022A0031 Q9807 B1MBDDA00003 S1 G1 S2 G2 D2 D2 D1 D1 Q9808 B1MBDDA00015 S1 G1 S2 G2 D2 D2 D1 D1 Q9809 B1MBDDA00003 1 S1 2 G1 3 S2 4 G2 5 D2 6 D2 7 D1 8 D1 Q9806 2SD0601A0L Q9805 2SD0601A0L R9849 EXB2HV470JV R9848 EXB2HV470JV R9846 EXB2HV103JV R9847 EXB2HV103JV R9888 15k R9869 10k R9120 100 R9893 43k R9897 47.5k R9896 18.2k R9889 18.2k R9110 100 R9870 10k R9879 13k R9894 20k R9886 47k R9891 12.7k R9142 100 R9887 51k R9890 47.5k R9878 15k R9892 100k R9115 100 R9871 10k R9895 100k R9868 100k R9145 100 R9851 0 STBY5V GND GND +15V +15V GND GND +5V +5V GND VDATA_DET PANEL_MAIN_ON SOS4_PS P5V OC1 CPH2 GND GND GND GND GND GND GND CLK SIU SID SCSU OC2 CPH1 LAT SOS6_SC1 SOS7_SC2 CEL CERS SC_DRV_RST CSL CSH CML CMH NC +15V +15V +15V LEVEL CONVERTER LEVEL CONVERTER DC-DC CONVERTER 15V 1.2V 15V 3.3V 15V 2.5V DC-DC CONVERTER 15V 5.0V TO (SC20) SC-BOARD P-BOARD TO (P25) 4 5 7 8 B 3 2 D E 9 6 C 1 F A ! D-BOARD TXN/D1VETC (1/5) 1 2 TH-50PH11CK D-Board (1 of 5) Schematic Diagram TH-50PH11CK D-Board (1 of 5) Schematic Diagram 64 12.20.D 电路板 (2/5) 线路图 STB_SCL02 STB_SDA02 ALARM READY REM_IN STB_SCL01 STB_SDA01 STB_SCL02 STB_SDA02 IIC_CONT RXD_PC AR_IIC_CONT TRST ALARM READY INEXCH STB_SCL01 STB_SDA01 STB_SCL02 STB_SDA02 IIC_SW P3V_SCL02 P3V_SDA02 DRVMUTE P3V_SDA02 P3V_SCL1 P3V_SDA1 P3V_SDA1 P3V_SCL1 P3V_SCL02 AR_RXD_PC AR_TXD_PC AR_STB_SCL02 INEXCH RE+ RE- RD+ RCLK- RC+ RC- RB+ RB- RA+ RA- DRVRST FPGANRST EEP_WR_CTL MCCLK LED_R LED_G IIC_CONT SOS8_SS TXD_PC PANEL_MAIN_ON SIN SFRST SFVRST OSD_HIN OSD_VIN FVSEL OSD_R OSD_G OSD_B OSD_YS EEP_WR_CTL AR_IIC_CONT XRST XRST SOS6_SC1 SOS7_SC2 SOS4_PS XI_DONE REM_IN AR_TXD_PC AR_STB_SDA02 AR_STB_SCL02 AR_RXD_PC STB_SDA02 STB_SCL02 TXD_PC RXD_PC TDI TMS PROG_M IIC_CONT PANEL_STBY_ON PANEL_STBY_ON AR_IIC_CONT AR_STB_SCL02 AR_STB_SDA02 LED_R P3V_SDA1 P3V_SCL1 LED_G AR_RXD_PC AR_TXD_PC XRST_SYS IIC_SW TDO TCK VDATA_DET P_ON/OFF OSD_CLKIN AR_STB_SDA02 RD- RCLK+ C9825 50V 100p C9048 16V 0.1u C9037 0.01u 25V C9034 16V 0.1u C9045 16V 0.1u C9040 16V 0.1u C9061 16V 0.1u C9033 16V 0.1u C9056 16V 0.1u C9049 16V 0.1u C9055 16V 0.1u C9035 10V 10u C9057 16V 0.1u C9050 16V 0.1u C9036 10V 10u C9053 16V 0.1u C9058 10V 10u C9062 4.7u 6.3V C9051 16V 0.1u C9044 6.3V 4.7u C9039 10V 10u C9052 16V 0.1u C9063 16V 0.1u C9047 16V 0.1u C9064 16V 0.1u C9065 16V 0.1u D9110 B0JCGD000002 D9017 B0BC3R3A0273 D9018 B0BC3R3A0273 D9019 B0BC3R3A0273 IC9002 C1ZBZ0003577 1 SCL 2 GND 3 A1 4 VDD 5 A0 6 SDA IC9011 C0EBF0000431 1 RESET 2 Cd 3 VOUT 4 VDD 5 GND 6 CE IC9001 TVRP858-2 1 E0 2 E1 3 E2 4 Vss 5 SDA 6 SCL 7 WC 8 Vcc IC9013 C0JBAZ002060 1 1OE 2 1A 3 1B 4 2OE 5 2A 6 2B 7 GND 8 3B 9 3A 10 3OE 11 4B 12 4A 13 4OE 14 VCC MN103SG4GPH3 IC9003 1 P60_SBO0A 2 P61_SBT0A 3 P62_SBI0A 4 P05_IRQ6 5 P06_IRQ7 6 P07_IRQ8 7 P70_SDA0 8 P71_SCL0 9 P50_RMIN_IRQ0 10 P20 11 P21 12 P22 13 P23 14 IVDD 15 VSS 16 P10 17 P11 18 P12 19 P13 20 P14 21 P15 22 P16 23 EXCLKSEL 24 P72_SDA1 25 P73_SCL1 26 P65_SBT2 27 P66_SBI2 28 P30 29 P31 30 P32 31 P33 32 P34 33 P35 34 P36 35 P37 36 VPPEX_(N.C.) 37 IVDD 38 VDD 39 RONA 40 VSS 41 OSCXO 42 OSCXI 43 IVDD 44 P64_SBI1 45 P63_SBT1 46 NBOOT_(N.C.) 47 NRST 48 NTEST 49 SCLOCK_(UND) 50 SDATA_(UND) 51 ENTRG0_(UND) 52 ENTRG1_(UND) 53 TRCCLK_(UND) 54 TRCST_(UND) 55 TRCD0_(UND) 56 TRCD1_(UND) 57 TRCD2_(UND) 58 TRCD3_(UND) 59 P80_ADIN0 60 P81_ADIN1 61 P82_ADIN2 62 P83_ADIN3 63 IVDD 64 VSS 65 P84_ADIN4 66 P85_ADIN5 67 P86_ADIN6 68 P87_ADIN7 69 P90_ADIN8 70 P91_ADIN9 71 P92_ADIN10 72 P93_ADIN11 73 P74_SDA2 74 P75_SCL2 75 P40_TM0IO 76 P41_TM1IO 77 P42_TM2IO 78 P43_TM3IO 79 P44_TM4IO_SYSCLK 80 P00 81 P01 82 P02 83 P03 84 P04_SBO0B 85 P51_IRQ2 86 P52_IRQ3 87 P53_IRQ4 88 P54_IRQ5 89 PA7_VCLKOUT 90 PA6_HOUT 91 PA5_YSOUT 92 PA4_B00 93 PA3_G00 94 PA2_R00 95 PA1_VSYNC_IRQ1 96 PA0_HSYNC 97 VSS 98 OSDXI 99 IVDD 100 VDD D6 1 2 3 4 5 6 7 8 9 10 11 12 13 14 15 16 17 18 19 20 D5 1 2 3 4 5 6 7 8 9 10 11 12 13 14 15 16 17 18 19 20 21 22 23 24 25 26 27 28 29 30 31 STB3.3V P3.3V STB3.3V P5V P3.3V STB3.3V P3.3V STB5V_M STB3.3V P3.3V P15V STB3.3V STB3.3V STB5V_M P3.3V Q9010 2SD0601A0L R9859 EXB38V101JV R9839 EXB38V101JV R9119 EXB38V470JV R9122 EXB38V103JV R9207 24k R9827 100 R9826 100 R9223 2.7k R9215 100k R9170 39k R9158 10k R9854 100 R9107 3.3k R9155 4.7k R9150 22 R9066 100 R9840 22 R9105 10k R9129 68k R9203 22k R9172 39k R9064 100 R9121 100k R9164 10k R9071 22k R9131 4.7k R9133 1k R9166 10k R9824 100 R9986 1k R9162 10k R9825 100 R9200 10 R9201 10 R9154 4.7k R9163 10k R9205 33k R9149 4.7k R9068 10k R9225 2.7k R9189 10k R9159 10k R9126 1k 39k R9171 R9194 0 R9062 100 R9187 4.7k R9065 100 R9206 56k R9141 100 R9072 1k R9185 22 R9151 22 R9132 4.7k R9188 4.7k R9186 22 R9070 10k R9073 4.7k R9130 47 R9125 1k R9123 1k R9124 47 R9063 100 R9067 100 X9000 H2D100500004 C001 16V 0.1u TP9000 RD- RD+ RC+ RC- RCLK+ GND RCLK- GND GND GND RA-(MSB) RB- GND IIC_CLK2 IIC_CONT RA+(MSB) RXD TXD PANEL_STBY_ON IIC_DATA2 GND IIC_CLK1 IIC_DATA1 DISPEN RE+(LSB) RE-(LSB) INEXCH RB+ GND TXD REMOCON SDA1 LED_R SCL2 TDI TCK GND STBY5V LED_G RXD GND IIC_CONT SDA2 TMS TDO IIC_INT TRST SCL1 STBY3.3V PANEL MICOM BUS SW EEPROM RESET STB 3.3V FOR USE FACTORY DN-BOARD TO (DN5) TEMP SENSOR 15 12 13 10 11 14 16 18 17 D-BOARD TXN/D1VETC (2/5) ! Gen X6 1 2 12 13 11 PANEL_STATUS PANEL SOS TH-50PH11CK D-Board (2 of 5) Schematic Diagram TH-50PH11CK D-Board (2 of 5) Schematic Diagram 65 12.21.D 电路板 (3/5) 线路图 L8R_UC15 L8R_UC14 L8R_UB15 L8R_ROMCE L8R_UA14 L8R_UA15 L8R_UB14 L8R_ROMWE L8R_ROMOE XRST DD_PCD4 FP_URH DD_PCD1 USL_C2 DD_LED1 DD_PCD3 FP_LAT XRST D-LED1 FP_CEL FP_OC2 DD_LED2 FP_USL FP_CBK FP_CLK FP_UMH FP_SC_DRV_RST UML_C2 FP_CSL FP_CPH1 FP_CSH FP_CML FP_CMH DD_LED1 DD_CLRD2 NUEL_C2 DD_PCD1 DD_PCD2 FP_UEH DD_ODED1 DD_ODED2 FP_USH DD_CLRD1 FP_SIU DD_LED2 DRVRST UMH_C2 DD_PCD3 FPGANRST DD_PCD4 FP_OC1 DD_CLRD1 DD_ODED2 URH_C2 FP_NUEL D-CLRD1 FP_SCSU UEH_C2 FP_SID DD_CLRD2 FP_CPH2 FP_UMH DD_ODED1 FP_UML D-ODED1 FP_URH FP_USH D-PCD2 FP_USL FP_UML DD_PCD2 FP_UEH D-PCD1 FP_NUEL USH_C2 P3V_SCL02 P3V_SDA02 L8R_FPCLK SFLATCH L8R_CLKMO 0V L8R_ROMRST L8R_DIO16 L8R_DIO30 L8R_DIO27 L8R_DIO28 L8R_DIO29 L8R_DIO26 L8R_DIO23 L8R_DIO17 L8R_DIO18 L8R_DIO20 L8R_DIO19 L8R_DIO21 L8R_DIO22 L8R_DIO25 L8R_DIO24 XI_DONE L8R_FCCLK L8R_PROG L8R_FPDAT1 SFRST SFVRST FVSEL FP_HD FP_VD TCK TMS L8R_TDO L8R_DIO05 L8R_DIO06 L8R_DIO10 L8R_DIO02 L8R_DIO04 L8R_DIO01 L8R_DIO03 L8R_DIO00 L8R_DIO07 L8R_DIO08 L8R_DIO09 L8R_DIO12 L8R_DIO13 L8R_DIO11 L8R_DIO15 L8R_DIO14 D-PCD3 D-LED2 D-PCD4 D-CLRD2 D-ODED2 L8R_FPDAT0 L8R_TDO2 DRVMUTE C9469 16V 0.1u C9548 16V 0.1u C9539 16V 0.1u C9541 16V0.1u C9549 16V 0.1u C9543 16V 0.1u C9540 16V 0.1u C9547 16V 0.1u C9544 16V 0.1u C9535 16V 0.1u C9537 16V 0.1u C9538 16V 0.1u C9545 16V 0.1u C9536 16V 0.1u C9550 16V 0.1u C9542 16V 0.1u C9546 16V 0.1u C9889 10V 10u TVRP861-1 IC9303 1 A15 2 A14 3 A13 4 A12 5 A11 6 A10 7 A9 8 A8 9 A19 10 NC 11 WE# 12 RESET# 13 NC 14 NC 15 RY/BY# 16 A18 17 A17 18 A7 19 A6 20 A5 21 A4 22 A3 23 A2 24 A1 25 A0 26 CE# 27 VSS 28 OE# 29 DQ0 30 DQ8 31 DQ1 32 DQ9 33 DQ2 34 DQ10 35 DQ3 36 DQ11 37 VCC 38 DQ4 39 DQ12 40 DQ5 41 DQ13 42 DQ6 43 DQ14 44 DQ7 45 DQ15/A-1 46 VSS 47 BYTE# 48 A16 C1ZBZ0003759 IC9500 1 PROG_B 2 IO_L01P_3 3 IO_L01N_3 4 IO_L02P_3 5 IO_L02N_3/VREF_3 6 VCCINT 7 GND 8 VCCO_3 9 IO_L03P_3/LHCLK0 10 IO_L03N_3/LHCLK1 11 IO_L04P_3/LHCLK2 12 IO_L04N_3/LHCLK3 13 IP 14 GND 15 IO_L05P_3/LHCLK4 16 IO_L05N_3/LHCLK5 17 IO_L06P_3/LHCLK6 18 IO_L06N_3/LHCLK7 19 GND 20 VCCO_3 21 VCCAUX 22 IO_L07P_3 23 IO_L07N_3 24 IO_L01P_2/CSO_B 25 IO_L01N_2/INIT_B 26 IO_L02P_2/DOUT/BUSY 27 IO_L02N_2/MOSI/CSI_B 28 VCCINT 29 GND 30 IP/VREF_2 31 VCCO_2 32 IO_L03P_2/D7/GCLK12 33 IO_L03N_2/D6/GCLK13 34 IO/D5 35 IO_L04P_2/D4/GCLK14 36 IO_L04N_2/D3/GCLK15 37 GND 38 IP_L05P_2/RDWR_B/GCLK0 39 IP_L05N_2/M2/GCLK1 40 IO_L06P_2/D2/GCLK2 41 IO_L06N_2/D1/GCLK3 42 IO/M1 43 IO_L07P_2/M0 44 IO_L07N_2/DIN/D0 45 VCCO_2 46 VCCAUX 47 IO_L08P_2/VS2 48 IO_L08N_2/VS1 49 IO_L09P_2/VS0 50 IO_L09N_2/CCLK 51 DONE 52 GND 53 IO_L01P_1 54 IO_L01N_1 55 VCCO_1 56 VCCINT 57 IO_L02P_1 58 IO_L02N_1 59 GND 60 IO_L03P_1/RHCLK0 61 IO_L03N_1/RHCLK1 62 IO_L04P_1/RHCLK2 63 IO_L04N_1/RHCLK3 64 GND 65 IO_L05P_1/RHCLK4 66 IO_L05N_1/RHCLK5 67 IO_L06P_1/RHCLK6 68 IO_L06N_1/RHCLK7 69 IP/VREF_1 70 IO_L07P_1 71 IO_L07N_1 72 GND 73 VCCO_1 74 VCCAUX 75 TMS 76 TDO 77 TCK 78 IO_L01P_0 79 IO_L01N_0 80 VCCINT 81 GND 82 VCCO_0 83 IO_L02P_0/GCLK4 84 IO_L02N_0/GCLK5 85 IO_L03P_0/GCLK6 86 IO_L03N_0/GCLK7 87 GND 88 IP_L04P_0/GCLK8 89 IP_L04N_0/GCLK9 90 IO_L05P_0/GCLK10 91 IO_L05N_0/GCLK11 92 IO 93 GND 94 IO_L06P_0 95 IO_L06N_0/VREF_0 96 VCCAUX 97 VCCO_0 98 IO_L07P_0 99 IO_L07N_0/HSWAP 100 TDI P3.3V P1.2V P2.5V P3.3V P3.3V P3.3V TP9311 HIN TP9312 VIN R9609 EXB2HV470JV R9610 EXB2HV470JV R9406 EXB2HV103JV R9403 EXB2HV103JV R9608 EXB2HV470JV R9405 EXB2HV103JV R9404 EXB2HV103JV R9402 47 R9604 10k R9385 4.7k R9618 330 R9611 68 R9578 4.7k R9588 4.7k R9587 47 R9586 47 R9601 68 R9616 47 R9600 68 DATA_DRIVER SS_PULSE DISCHAGE 24 26 22 21 27 25 19 23 20 FLASH MEMORY D-BOARD TXN/D1VETC (3/5) ! CONTROL 12 11 13 24 22 23 21 TH-50PH11CK D-Board (3 of 5) Schematic Diagram TH-50PH11CK D-Board (3 of 5) Schematic Diagram 66 12.22.D 电路板 (4/5) 线路图 G G TERM SIDE L8R_UA15 L8R_UA14 L8R_UA05 L8R_DA03 L8R_DA11 L8R_DA15 L8R_DA12 L8R_DA06 L8R_DA02 L8R_DA13 L8R_DA07 L8R_DA04 L8R_DA08 L8R_DA09 L8R_DA00 L8R_DA01 L8R_DA14 L8R_DA05 L8R_DA10 L8R_UB14 L8R_UB15 L8R_UB05 L8R_DB02 L8R_DB12 L8R_DB04 L8R_DB07 L8R_DB08 L8R_DB01 L8R_DB15 L8R_DB13 L8R_DB09 L8R_DB05 L8R_DB10 L8R_DB00 L8R_DB14 L8R_DB03 L8R_DB06 L8R_DB11 L8R_UC14 L8R_DC01 L8R_UC05 L8R_DC05 L8R_DC00 L8R_DC09 L8R_UC15 L8R_DC06 L8R_DC10 L8R_DC11 L8R_DC13 L8R_DC03 L8R_DC07 L8R_DC14 L8R_DC12 L8R_DC02 L8R_DC04 L8R_DC08 L8R_DC15 L8R_DRVCLKD0 L8R_DRVCLKD3 L8R_DRVCLKD2 L8R_DRVCLKD1 L8R_UA03 L8R_UA02 L8R_UA00 L8R_UA01 L8R_UA04 L8R_UB00 L8R_UB01 L8R_UB02 L8R_UB03 L8R_UB04 L8R_UC04 L8R_UC03 L8R_UC02 L8R_UC00 L8R_UC01 L8R_DRVCLKU0 L8R_DRVCLKU1 L8R_DRVCLKU2 L8R_DRVCLKU3 L8R_DRVCLKD3 L8R_DRVCLKD2 L8R_DRVCLKD0 L8R_DRVCLKD1 DDA20 DDB20 DDB21 DDC20 DDC21 DDA21 DDC19 DDA18 DDA19 DDB19 DDC18 DDB18 DDB17 DDA16 DDC16 DDC17 DDB16 DDA17 DDA15 DDC15 DDC14 DDA14 DDB14 DDB15 DDC13 DDA12 DDA13 DDC12 DDB13 DDB12 CLKD_0P CLKD_1N CLKD_2P CLKD_3N CLKD_2P CLKD_0P D-LED1 D-PCD1 D-PCD2 D-ODED1 D-LED1 D-PCD1 D-ODED1 D-CLRD1 CLKD_1N CLKD_3N 0V DRVRST D-PCD2 D-CLRD1 L8R_DIO00 L8R_DIO01 L8R_DIO02 L8R_DIO03 L8R_DIO04 L8R_DIO05 L8R_DIO06 L8R_DIO07 L8R_DIO08 L8R_DIO09 L8R_DIO10 L8R_DIO11 L8R_DIO12 L8R_DIO13 L8R_DIO14 L8R_DIO15 L8R_DIO16 L8R_DIO17 L8R_DIO18 L8R_DIO19 L8R_DIO20 L8R_DIO21 L8R_DIO22 L8R_DIO23 L8R_DIO24 L8R_DIO25 L8R_DIO26 L8R_DIO27 L8R_DIO28 L8R_DIO29 L8R_DIO30 L8R_ROMRST L8R_ROMOE L8R_ROMWE L8R_ROMCE 3.30V L8R_PROG L8R_FCCLK L8R_FPCLK L8R_FPDAT1 SFLATCH PROG_M MCCLK XRST XRST_SYS RA- RB+ RB- RC+ RC- RCLK+ RCLK- RD+ RD- RA+ RE+ RE- SIN SFRST SFRST SFVRST SFVRST FVSEL FVSEL FP_HD OSD_HIN FP_VD OSD_VIN OSD_CLKIN OSD_YS OSD_R OSD_B OSD_G L8R_CLKMO TRST TMS TMS TCK TCK L8R_FPDAT0 L8R_DB01 DDA17 L8R_DC02 DDA16 DDA21 DDA15 L8R_DA04 L8R_DC01 DDB17 DDC17 DDC19 DDA20 L8R_DB02 DDA18 DDC16 DDC14 L8R_DC06 DDB16 DDB19 DDC15 DDB18 L8R_DB05 L8R_DC04 DDA14 L8R_DB03 DDB15 L8R_DA05 DDC20 DDC21 L8R_DB06 DDA19 L8R_DA06 DDB20 L8R_DA03 L8R_DB04 L8R_DA02 L8R_DC05 L8R_DB07 L8R_DC03 L8R_DA07 L8R_DB00 L8R_DC00 DDC18 L8R_DC07 L8R_DA00 DDB14 L8R_DA01 DDB21 L8R_DB08 DDA13 L8R_DA08 DDC13 L8R_DB09 L8R_DA09 DDA12 L8R_DC08 DDB13 DDB12 DDC12 L8R_DC09 TDO TDI P3V_SCL02 P3V_SDA02 C9923 0.1u 16V C9913 0.1u 16V C9924 0.1u 16V C9950 16V 0.1u C9915 0.1u 16V C9914 0.1u 16V C9925 0.1u 16V C9902 0.1u 16V C9967 0.1u 16V C9956 0.1u 16V C9908 0.1u 16V C9959 0.1u 16V C9962 10V10u C9921 0.1u 16V C9949 16V 0.1u C9910 0.1u 16V C9903 0.1u 16V C9912 0.1u 16V C9920 0.1u 16V C9907 0.1u 16V C9961 10V 10u C9906 0.1u 16V C9468 25V 0.01u C9905 0.1u 16V C9904 0.1u 16V C9919 0.1u 16V C9916 0.1u 16V C9909 0.1u 16V C9955 0.1u 16V C9918 0.1u 16V C9917 0.1u 16V C9958 0.1u 16V C9911 0.1u 16V C9900 0.1u 16V C9922 0.1u 16V C9957 0.1u 16V C9901 0.1u 16V C9971 50V 18p C9972 50V 15p C9968 0.1u 16V C9954 0.1u 16V C9965 0.1u 16V C9966 10V 10u C9970 16V 0.1u C9973 0.1u 16V C9974 0.1u 16V C9975 0.1u 16V C9976 0.1u 16V C9977 0.1u 16V C9978 0.1u 16V C9979 0.1u 16V C9980 0.1u 16V FL9300 F1J1E104A148 1 2 3 IC9900 AC2 MCCLK IC9900 AC4 VDD25 IC9900 AB25 TDO IC9900 AB19 VDD25 IC9900 AB4 XRST IC9900 AB26 TCK IC9900 AB10 VDD25 IC9900 AC24 VDD33 IC9900 AA25 TMS IC9900 AD1 PROG_M IC9900 AB21 AVDD_PD33 IC9900 AD3 VDD25 IC9900 AD6 VDD25 IC9900 AD25 VDD33 IC9900 AE2 VDD25 IC9900 AB8 AVDD_D25 IC9900 AC1 XOUT IC9900 AD2 XRSTSYS IC9900 AE26 VDD33 IC9900 AF1 VDD25 IC9900 B3 HIO IC9900 B4 DIO2 IC9900 B5 DIO7 IC9900 B6 DIO9 IC9900 B7 DIO13 IC9900 B8 DIO18 IC9900 B10 DIO26 IC9900 B11 ROMCE IC9900 B12 DOUTUB15 IC9900 B13 DRVCLKU2 IC9900 B14 DRVCLKU0 IC9900 B15 DOUTUA12 IC9900 B16 DOUTUC11 IC9900 B17 DOUTUA09 IC9900 B18 DOUTUC08 IC9900 B19 DOUTUA06 IC9900 B20 DOUTUA05 IC9900 B21 DOUTUA04 IC9900 B22 DOUTUC03 IC9900 AB9 VDD25 IC9900 B24 DOUTUB00 IC9900 B25 DOUTDC15 IC9900 B26 VDD33 IC9900 C1 VDD12 IC9900 C4 ACTV IC9900 C5 DIO3 IC9900 C6 DIO10 IC9900 AA1 XI IC9900 C8 DIO17 IC9900 C9 DIO20 IC9900 C10 DIO25 IC9900 C11 ROMOE IC9900 C12 ROMWE IC9900 C13 DOUTUC14 IC9900 C14 DOUTUB13 IC9900 C15 DOUTUB12 IC9900 C17 DOUTUC09 IC9900 C19 DOUTUB06 IC9900 C20 DOUTUB05 IC9900 C21 DOUTUC04 IC9900 C22 DOUTUA02 IC9900 C23 DOUTUC01 IC9900 C25 VDD33 IC9900 D1 VDD12 IC9900 D2 VDD12 IC9900 D4 VIO IC9900 D5 SLVDOUTUB14 IC9900 D6 DIO5 IC9900 D7 DIO11 IC9900 D8 DIO16 IC9900 D9 DIO21 IC9900 D10 DIO23 IC9900 D11 DIO29 IC9900 D12 DOUTUC15 IC9900 D13 DOUTUB14 IC9900 D14 DOUTUA13 IC9900 D15 DOUTUB11 IC9900 D16 DOUTUA10 IC9900 D17 DOUTUA08 IC9900 D18 DOUTUC07 IC9900 D19 DOUTUC06 IC9900 D20 DOUTUB04 IC9900 D21 DOUTUA03 IC9900 D22 DOUTUB01 IC9900 D23 DOUTDB15 IC9900 D24 VDD33 IC9900 D26 DOUTDB14 IC9900 E1 ROMRESET IC9900 AB3 FVSEL IC9900 E3 VDD12 IC9900 E5 IOSW IC9900 E6 DIO4 IC9900 E8 DIO14 IC9900 E9 VDD12 IC9900 E10 VDD12 IC9900 Y26 DOUTDC01 IC9900 AB16 AVDD_Q25 IC9900 Y3 SDA IC9900 W26 DOUTDC02 IC9900 B23 DOUTUA01 IC9900 W24 TDI IC9900 W23 TRST IC9900 W5 OSDHO IC9900 W3 SCL IC9900 W2 OSDVO IC9900 W1 OSDYSI IC9900 V26 DOUTDC03 IC9900 V25 DOUTDA02 IC9900 AA24 VDD33 IC9900 V23 DOUTDA01 IC9900 V22 DOUTDC00 IC9900 V5 AVDD_PI33 IC9900 V4 OSDGI IC9900 V3 OSDBI IC9900 V2 OSDRI IC9900 U26 DOUTDC04 IC9900 U25 DOUTDB03 IC9900 U23 DOUTDB02 IC9900 U22 VDD33 IC9900 U13 VDD25 IC9900 U11 VDD25 IC9900 U5 AVDD_L33 IC9900 U4 AVDD_L33 IC9900 AB7 AVDD_D25 IC9900 A22 DOUTUB03 IC9900 T25 DOUTDB04 IC9900 T24 VDD33 IC9900 AB13 AVDD_D25 IC9900 AB15 VDD25 IC9900 C16 DOUTUB10 IC9900 T13 VDD25 IC9900 T12 VDD25 IC9900 T10 VDD12 IC9900 AB20 VDD25 IC9900 AB23 VDD33 IC9900 T2 REP IC9900 T1 REM IC9900 R26 DOUTDA05 IC9900 R25 DOUTDC05 IC9900 R23 DOUTDB05 IC9900 R17 VDD33 IC9900 R16 VDD33 IC9900 R11 VDD12 IC9900 R10 VDD12 IC9900 R5 AVDD_L33 IC9900 R4 AVDD_L33 IC9900 R2 RDP IC9900 R1 RDM IC9900 P26 DOUTDA06 IC9900 P25 DOUTDB06 IC9900 P24 VDD33 IC9900 P22 DOUTDC06 IC9900 P5 AVDD_L33 IC9900 P4 AVDD_L33 IC9900 P2 RCLKP IC9900 P1 RCLKM IC9900 N26 DOUTDC07 IC9900 N25 DOUTDA07 IC9900 N23 DOUTDB07 IC9900 N22 VDD33 IC9900 N10 AVDD_L12 IC9900 N5 AVDD_L33 IC9900 N4 AVDD_L33 IC9900 N2 RCP IC9900 N1 RCM IC9900 M26 DOUTDB08 IC9900 M25 DOUTDA08 IC9900 M24 VDD33 IC9900 M22 DOUTDC08 IC9900 M17 VDD33 IC9900 M16 VDD33 IC9900 M13 VDD12 IC9900 M11 VDD12 IC9900 AB5 VDD25 IC9900 M5 AVDD_L33 IC9900 M4 AVDD_L33 IC9900 M2 RBP IC9900 M1 RBM IC9900 L26 DOUTDC09 IC9900 L25 DOUTDB09 IC9900 L23 DOUTDA09 IC9900 L17 VDD33 IC9900 L13 VDD12 IC9900 L12 VDD12 IC9900 L10 VDD12 IC9900 L5 AVDD_PM33 IC9900 L4 AVDD_L33 IC9900 L2 RAP IC9900 L1 RAM IC9900 K26 DRVCLKD3 IC9900 K25 DRVCLKD2 IC9900 K24 VDD33 IC9900 K22 DOUTDC10 IC9900 K13 VDD12 IC9900 K12 VDD12 IC9900 K11 VDD12 IC9900 K5 AVDD_PO33 IC9900 J26 DRVCLKD1 IC9900 J25 DRVCLKD0 IC9900 J23 DOUTDC11 IC9900 J22 VDD33 IC9900 J5 AVDD_L12 IC9900 J4 OCK IC9900 J3 SFRST IC9900 H26 DOUTDB10 IC9900 H25 DOUTDA10 IC9900 H24 VDD33 IC9900 H23 DOUTDA11 IC9900 H22 DOUTDB13 IC9900 H5 VDD12 IC9900 H4 FULL1 IC9900 H3 FPDAT0 IC9900 H2 SFLATCH IC9900 H1 SFVRST IC9900 G26 DOUTDB11 IC9900 G25 DOUTDC12 IC9900 G23 DOUTDC14 IC9900 G5 VDD12 IC9900 G4 VDD12 IC9900 G3 FCCLK IC9900 G2 FPDAT1 IC9900 G1 FPCLK IC9900 F26 DOUTDB12 IC9900 F25 DOUTDA12 IC9900 F24 DOUTDA14 IC9900 F22 VDD33 IC9900 F4 VDD12 IC9900 F3 VDD12 IC9900 F2 FULL0 IC9900 F1 CLKMO IC9900 E26 DOUTDC13 IC9900 E25 DOUTDA13 IC9900 E23 VDD33 IC9900 E22 DOUTUC00 IC9900 E21 DOUTUC02 IC9900 E15 DOUTUC12 IC9900 E19 DOUTUB07 IC9900 E18 VDD33 IC9900 E17 VDD33 IC9900 E16 DOUTUB09 IC9900 E12 DIO30 IC9900 AA22 VDD33 IC9900 AA5 PROG IC9900 V24 VDD33 IC9900 AA2 XO IC9900 A21 DOUTUC05 IC9900 A20 CKSO IC9900 A19 CKSI IC9900 A18 DOUTUB08 IC9900 A26 VDD33 IC9900 A25 DOUTDA15 IC9900 A24 DOUTUA00 IC9900 A23 DOUTUB02 IC9900 A2 DIO0 IC9900 A3 DIO1 IC9900 A4 DIO6 IC9900 A5 CKMI IC9900 A6 CKMO IC9900 A7 DIO15 IC9900 A8 DIO19 IC9900 A9 DIO24 IC9900 A10 DIO28 IC9900 A11 DOUTUA15 IC9900 A12 DOUTUA14 IC9900 A13 DRVCLKU3 IC9900 A14 DRVCLKU1 IC9900 A15 DOUTUC13 IC9900 A16 DOUTUA11 IC9900 A17 DOUTUC10 IC9900 C7 DIO12 IC9900 AA26 DOUTDB00 IC9900 U12 VDD25 IC9900 E2 VDD12 IC9900 W25 DOUTDB01 IC9900 AB17 AVDD_D25 IC9900 E7 DIO8 IC9900 B9 DIO22 IC9900 T17 VDD33 IC9900 E11 DIO27 IC9900 Y25 DOUTDA00 IC9900 M10 VDD12 IC9900 T5 AVDD_L33 IC9900 Y4 PRCKO IC9900 C18 DOUTUA07 IC9900 C24 OCKOUT IC9900 AB14 AVDD_D25 IC9900 T22 DOUTDA03 IC9900 T4 AVDD_L33 IC9900 Y5 OSDCKO IC9900 T26 DOUTDA04 D31 1 2 3 4 5 6 7 8 9 10 11 12 13 14 15 16 17 18 19 20 21 22 23 24 25 26 27 28 29 30 31 32 33 34 35 36 37 38 39 40 41 42 43 44 45 46 47 48 49 50 51 52 53 54 55 L9900 J0JHC0000078 L9901 J0JHC0000078 L9902 J0JHC0000078 L9903 J0JHC0000078 P3.3V P1.2V P2.5V P3.3V P1.2V L8RAVDD3.3V L8RAVDD3.3V P3.3V L8RAVDD3.3V P3.3V P3.3V P2.5V P5V TP9010 Q9302 2SD0601A0L Q9301 2SD0601A0L R9347 EXB2HV220JV R9348 EXB2HV220JV R9353 EXB2HV220JV R9352 EXB2HV330JV R9991 0 R9987 47 R9968 47 R9396 47 R9198 10k R9391 100k R9964 10k R9988 47 R9975 47 R9970 47 R9351 47 R9969 47 R9989 47 R9974 10k R9370 10k R9973 10k R9972 10k R9966 470 R9983 47 R9350 47 R9401 1k R9204 10k R9317 1k R9598 47 R9976 1k R9371 100k R9199 10k R9369 4.7k R9397 47 R9967 47 R9977 47 X9900 H0J200500076 LVDS_INPUT IIC P5V DOUTDA[20] P5V P5V DOUTDB[20] PC1_C1 GND ODE_C1 CLR_C1 DOUTDC[12] DOUTDC[20] DOUTDC[13] DOUTDA[12] DOUTDA[13] DOUTDB[12] DOUTDB[13] CLK1N_C1 CLK0P_C1 LE_C1 DOUTDC[21] DOUTDB[21] DOUTDA[21] DOUTDC[19] DOUTDA[19] DOUTDC[18] DOUTDB[19] DOUTDB[18] DOUTDA[18] DOUTDB[17] DOUTDC[16] DOUTDB[16] DOUTDA[17] DOUTDA[16] DOUTDC[17] DOUTDB[15] DOUTDC[14] DOUTDB[14] DOUTDA[15] DOUTDC[15] DOUTDA[14] GND GND GND GND GND GND GND GND NC CLK2P_C1 CLK3N_C1 RC- RB- RB+ RC+ RCLK- RCLK+ RD+ RA-(MSB) RA+(MSB) RD- RE-(LSB) GND GND C_5V_DET PC2_C1 to FLASH RE+(LSB) C1-BOARD TO (C11) 30 36 35 33 31 34 32 28 29 MN84526 IC9900 VIDEO/PANEL CONTROL D-BOARD TXN/D1VETC (4/5) ! 23 22 24 33 31 32 21 34 TH-50PH11CK D-Board (4 of 5) Schematic Diagram TH-50PH11CK D-Board (4 of 5) Schematic Diagram 67 12.23.D 电路板 (5/5) 线路图 G G TERM SIDE 0V L8DR_DQ28 L8R_DQ9 L8DR_DQS0 L8DR_DQ31 L8R_DQ23 L8R_A6 L8R_DQ15 L8DR_A5 L8DR_NCAS L8DR_A11 L8R_DQ17 L8DR_DQ21 L8DR_DQ23 L8DR_DQ22 L8DR_DQ25 L8R_DQ16 L8R_A5 L8R_A4 L8DR_DQ10 L8R_DQ13 L8DR_DQ3 L8R_DQ24 L8R_DQ14 L8DR_DQ1 L8DR_DQ9 L8R_DQ10 L8DR_A7 L8DR_DQ4 L8R_SDCLKO L8DR_DQ31 L8DR_A2 L8R_BA0 L8R_DQS2 L8DR_NRAS L8R_BA1 L8DR_DQ11 L8R_DQ4 L8R_DQ31 L8DR_DQ2 L8DR_DQ26 L8DR_DQ0 L8DR_BA1 L8DR_DQ5 L8DR_DQ11 L8R_DQ0 L8R_DQ19 L8R_DQ2 L8R_DQ13 L8DR_A6 L8DR_DQS3 L8R_DQ9 L8DR_NCLK L8DR_DQ20 L8R_RAS L8DR_DQ18 L8R_DQ18 L8DR_A3 L8R_DQ22 L8R_A8 L8R_A1 L8R_A10 L8R_A0 L8R_DQS2 L8R_DQ31 L8DR_DQ7 L8DR_NCLK L8DR_DQ8 L8DR_DQ16 L8R_DQ3 L8R_DQ4 L8DR_DQ20 L8DR_DQ6 L8R_DQ8 L8R_DQ11 L8DR_DQ19 L8DR_DQ24 L8R_A3 L8R_DQ14 L8DR_A4 L8R_DQS3 L8DR_A0 L8R_DQ1 L8DR_DQ12 L8R_A6 L8DR_A6 L8DR_DQ8 L8R_DQ23 L8R_WE L8R_DQ3 L8R_DQ10 L8DR_DQ12 L8DR_DQ2 L8R_DQ26 2.50V L8R_DQ8 L8R_DQ1 L8DR_DQ18 L8DR_DQ4 L8DR_DQ0 L8R_DQ21 L8DR_DQS2 L8DR_A1 L8DR_DQ22 L8R_SDCKE L8DR_DQ6 L8DR_DQ29 L8DR_DQS0 L8R_DQ21 L8DR_DQS2 L8DR_DQ7 L8DR_DQ19 L8DR_DQ14 L8DR_DQ5 L8R_SDCLKO L8R_DQ12 L8R_DQ28 L8R_DQ30 L8DR_DQ23 L8DR_DQ14 L8R_DQ6 L8DR_CKE L8DR_DQ13 L8R_A9 L8DR_DQS1 L8DR_DQ30 L8R_DQS1 L8DR_A8 L8R_DQ22 L8DR_NCS L8R_A7 L8DR_DQ16 L8R_DQ17 L8DR_DQ17 L8R_NSDCLKO L8R_DQ5 L8R_DQ7 L8DR_DQ28 L8DR_DQ17 L8DR_DQ15 L8DR_DQ15 L8R_DQ30 L8R_DQS3 L8R_DQ15 L8DR_A5 L8DR_DQS1 L8R_DQS0 L8R_DQ6 L8R_DQ11 L8R_DQ25 L8R_DQ29 L8R_A8 L8DR_DQ9 L8DR_DQS3 L8DR_NWE L8R_DQ27 L8R_A11 L8R_NSDCLKO L8R_A7 L8R_DQ29 L8DR_A9 L8DR_A8 L8DR_DQ21 L8R_DQ12 L8R_CS L8DR_BA0 L8R_DQ20 L8DR_DQ27 L8R_DQS1 L8R_DQ20 L8DR_DQ13 L8DR_CLK L8R_DQS0 L8R_A5 L8R_DQ19 L8DR_CLK L8R_DQ2 L8DR_DQ10 L8R_DQ28 L8R_DQ16 L8DR_A7 L8R_A2 L8DR_DQ30 L8R_DQ18 L8DR_DQ1 L8R_CAS L8DR_DQ29 L8DR_DQ3 L8R_DQ0 L8R_DQ5 L8R_DQ7 L8DR_A10 L8R_DRVCLKU1 L8R_DRVCLKU0 L8R_DRVCLKU3 L8R_DRVCLKU2 DDA01 DDB01 DDC01 DDA00 DDB00 DDC00 DDA03 DDB03 DDC03 DDA02 DDB02 DDC02 DDA04 DDB04 DDC04 DDA05 DDB05 DDC05 DDA07 DDB07 DDC07 DDA06 DDB06 DDC06 DDC09 DDA08 DDB08 DDC08 DDA09 DDB09 DDA10 DDC11 DDB11 DDA11 DDB10 CLKU_1N CLKU_2P CLKU_3N CLKU_0P CLKU_1N DDC10 UMH_C2 UML_C2 USH_C2 USL_C2 UEH_C2 NUEL_C2 D-LED2 D-PCD4 D-PCD3 D-ODED2 D-LED2 D-PCD3 URH_C2 D-PCD4 D-ODED2 D-CLRD2 D-CLRD2 CLKU_3N CLKU_2P L8R_DQ27 L8R_DQ26 L8R_DQ25 L8R_DQ24 L8DR_DQ27 L8DR_DQ26 L8DR_DQ25 L8DR_DQ24 L8DR_A4 L8R_A4 L8R_A11 L8DR_A11 L8R_A3 L8DR_A3 L8R_A10 L8DR_A10 L8R_A1 L8DR_A1 L8R_A2 L8DR_A2 L8DR_A0 L8R_A0 L8R_A9 L8R_BA1 L8R_BA0 L8R_CS L8R_RAS L8R_SDCKE L8R_WE L8R_CAS L8DR_A9 L8DR_NCAS L8DR_NWE L8DR_NRAS L8DR_NCS L8DR_BA0 L8DR_BA1 L8R_DB10 DDA07 DDA11 L8R_DA11 DDC04 DDB11 DDB04 DDC10 L8R_DC11 DDA04 DDC11 DDC05 DDA10 DDB02 DDC08 DDB05 DDB08 DDA02 L8R_UB03 L8R_DC15 DDA05 DDC03 DDC02 L8R_DB11 DDB03 DDC01 L8R_UA05 DDA03 L8R_DC14 DDB01 DDC00 DDA01 DDB00 L8R_DA10 DDA00 DDC07 L8R_UA01 DDA08 DDC09 DDB09 DDA09 L8R_DB12 DDC06 DDB06 L8R_UA00 DDA06 L8R_DC10 DDB07 DDB10 L8R_DC12 L8R_DA12 L8R_DC13 L8R_DB13 L8R_DA13 L8R_DB14 L8R_DA14 L8R_DB15 L8R_DA15 L8R_UC00 L8R_UB00 L8R_UC01 L8R_UB01 L8R_UC02 L8R_UB02 L8R_UA02 L8R_UC03 L8R_UA03 L8R_UC04 L8R_UB04 L8R_UA04 L8R_UC05 L8R_UB05 L8R_MONOUT L8R_MONOUT L8DR_CKE SOS8_SS 0V CLKU_0P C9927 16V 0.1u C9948 16V 0.1u C9944 16V 0.1u C9935 16V 0.1u C9951 16V 0.1u C9947 16V 0.1u C9929 16V 0.1u C9941 16V 0.1u C9937 16V 0.1u C9946 16V 0.1u C9945 16V 0.1u C9933 16V 0.1u C9939 16V 0.1u C9934 16V 0.1u C9943 16V 0.1u C9940 16V 0.1u C9938 16V 0.1u C9932 16V 0.1u C9936 16V 0.1u C9942 16V 0.1u C9928 16V 0.1u C9930 16V 0.1u C9931 16V 0.1u C9953 0.1u 16V C9952 0.1u 16V FL9301 F1J1E104A148 1 2 3 IC9900 A1 VSS IC9901 B2 DQS0 IC9900 AC3 VSS IC9900 AC6 AVSS_D IC9901 D7 VDD IC9900 AC8 DQ7 IC9900 AC10 DQ27 IC9900 AB22 VSS IC9900 AC13 VSS IC9900 AC14 VREF0 IC9901 E6 VSSQ IC9900 AC17 VSS IC9900 AC18 VSS IC9900 AC19 CKE IC9900 AC20 AD6 IC9900 AC5 DQ17 IC9900 AC23 VSS IC9901 F12 DQ15 IC9900 AD4 DQ18 IC9900 AD5 DQ16 IC9900 AC16 VSS IC9900 AD8 DQ6 IC9900 AD9 DQ4 IC9900 AD10 DQ26 IC9900 AD11 DQ24 IC9900 AD12 VSS IC9900 AD13 AVSS_D IC9900 AD14 VSS IC9900 AD15 DQ14 IC9900 AD16 DQ12 IC9900 AD17 AVSS_Q IC9900 AD18 NCAS IC9900 AD19 NWE IC9900 AD20 AD9 IC9900 AD21 AD5 IC9900 AD22 AD8 IC9900 AB11 VSS IC9900 AD24 VSS IC9901 C6 DQ1 IC9900 AC12 VSS IC9900 AE3 DQ19 IC9900 AE4 DQ23 IC9900 AC21 AD7 IC9900 AE7 DQS0 IC9900 AE8 DQ3 IC9900 AE9 DQ1 IC9900 AE10 DQ31 IC9900 AE11 DQ30 IC9900 AC26 MONOUT IC9900 AC11 DQ25 IC9900 AE16 DQ9 IC9900 AE17 NCK IC9900 AE18 AVSS_D IC9900 AE19 NCS IC9900 AD7 AVSS_D IC9900 AE21 AD0 IC9900 AE22 AD1 IC9900 AE23 AD3 IC9900 AE24 TCPOUT_D IC9900 AE25 VSS IC9900 AF2 VSS IC9900 AF3 DQ22 IC9900 AF4 DQ21 IC9900 AF5 VSS IC9900 AF6 VSS IC9900 AF7 VSS IC9900 AF8 DQ2 IC9900 AF9 DQ0 IC9900 AF10 DQ29 IC9900 AF11 DQ28 IC9900 AF12 VSS IC9900 AF13 VSS IC9900 AF14 AVSS_D IC9900 AF15 DQ11 IC9900 AF16 DQ10 IC9900 AF17 DQ8 IC9900 AF18 CK IC9900 AC15 DQ13 IC9900 AF20 VSS IC9900 AF21 BA1 IC9900 AF22 AD2 IC9900 AF23 AD10 IC9900 AF24 AD11 IC9900 AF25 AD4 IC9900 AF26 VSS IC9900 B1 VSS IC9900 B2 VSS IC9900 AD23 ID0 IC9900 C2 VSS IC9900 C3 VSS IC9900 AB12 VSS IC9900 AB18 VSS IC9900 AE12 DQS3 IC9900 AC22 AVSS_PD IC9900 C26 VSS IC9901 J4 VDDQ IC9900 D3 VSS IC9901 J3 DQ20 IC9901 N3 NC IC9901 K11 VDDQ IC9901 N8 A4 IC9901 B11 VSSQ IC9901 B8 DQ31 IC9901 G11 VDDQ IC9901 D12 DQ26 IC9901 N10 A7 IC9901 M10 RFU IC9901 C5 VDDQ IC9901 G8 VSS_Thermal IC9901 N9 A6 IC9900 AC7 VREF1 IC9901 L3 WE IC9901 H8 VSS_Thermal IC9901 E13 DQ24 IC9901 H12 DM1 IC9901 G5 VSSQ IC9900 AC9 DQ5 IC9901 B9 DQ29 IC9901 K10 VSSQ IC9901 M9 A5 IC9901 E12 VDDQ IC9901 E3 VDDQ IC9901 C3 VDDQ IC9901 B10 DQ28 IC9901 J10 VSSQ IC9901 D5 VSSQ IC9901 C13 DQ27 IC9901 F8 VSS_Thermal IC9901 D9 VSSQ IC9901 E4 VDD IC9901 L7 VDD IC9901 H9 VSS_Thermal IC9901 C11 NC IC9901 K7 VSS IC9901 D4 VSSQ IC9901 D10 VSSQ IC9901 J13 DQ10 IC9901 J7 VSS_Thermal IC9900 D25 VSS IC9901 B7 DQ0 IC9901 L10 VSS IC9900 E4 VSS IC9901 L9 NC IC9900 AE5 DQ20 IC9901 D8 VDD IC9900 AE6 DQS2 IC9901 M7 A11 IC9901 D6 VSSQ IC9901 K9 VSS IC9901 J2 DQ21 IC9900 E13 VSS IC9900 AE13 VSS IC9900 AE14 DQS1 IC9900 AE15 DQ15 IC9900 Y23 TEST IC9900 Y22 TEST0 IC9900 AE20 BA0 IC9900 Y2 VSS IC9900 Y1 VSS IC9900 W22 VSS IC9900 W4 VSS IC9900 V1 AVSS_PI IC9900 U24 VSS IC9900 U17 VSS IC9900 U16 VSS IC9900 U15 VSS IC9900 U14 VSS IC9900 AB2 VSS IC9900 U10 VSS IC9900 U3 AVSS_L IC9900 U1 AVSS_L IC9900 T23 VSS IC9900 T16 VSS IC9900 T14 VSS IC9900 T11 VSS IC9900 T3 AVSS_L IC9900 R24 VSS IC9900 R22 VSS IC9900 R15 VSS IC9900 R14 VSS IC9900 R13 VSS IC9900 R12 VSS IC9900 R3 AVSS_L IC9900 P23 VSS IC9900 P17 VSS IC9900 P16 VSS IC9900 P15 VSS IC9900 P14 VSS IC9900 P13 VSS IC9900 P12 VSS IC9900 P11 VSS IC9900 P10 VSS IC9900 P3 AVSS_L IC9900 N24 VSS IC9900 N17 VSS IC9900 N16 VSS IC9900 N15 VSS IC9900 N14 VSS IC9900 N13 VSS IC9900 N12 VSS IC9900 N11 VSS IC9900 N3 AVSS_L IC9900 M23 VSS IC9900 M15 VSS IC9900 M14 VSS IC9900 M12 VSS IC9900 M3 AVSS_L IC9900 L24 VSS IC9900 L22 VSS IC9900 L16 VSS IC9900 L15 VSS IC9900 L14 VSS IC9900 L11 VSS IC9900 L3 AVSS_L IC9900 K23 VSS IC9900 K17 VSS IC9900 K16 VSS IC9900 K15 VSS IC9900 K14 VSS IC9900 K10 VSS IC9900 K4 AVSS_PM IC9900 K3 AVSS_L IC9900 K2 AVSS_L IC9900 K1 AVSS_L IC9900 J24 VSS IC9900 J2 AVSS_PO IC9900 J1 TCPOUT IC9900 G24 VSS IC9900 G22 VSS IC9900 F23 VSS IC9900 F6 VSS IC9900 F5 VSS IC9900 E24 VSS IC9900 E20 VSS IC9901 K8 VSS IC9901 N12 CKE IC9901 K4 VDDQ IC9901 M5 BA1 IC9901 M12 CK IC9901 J8 VSS_Thermal IC9901 M13 NC IC9901 N2 CS IC9901 M11 CK IC9901 E5 VSS IC9901 F10 VSSQ IC9901 C12 VDDQ IC9901 B3 DM0 IC9901 F4 VDDQ IC9901 L12 NC IC9901 F13 DQ14 IC9901 N5 A0 IC9901 H11 NC IC9901 M8 A9 IC9901 L8 VDD IC9901 F9 VSS_Thermal IC9901 N13 VREF IC9901 G12 DQ13 IC9900 AC25 V_TEST IC9901 F5 VSSQ IC9901 L6 A10 IC9901 L13 NC IC9901 J6 VSS_Thermal IC9901 M4 NC IC9901 H5 VSSQ IC9901 K5 VSSQ IC9900 AD26 TEST1 IC9901 G9 VSS_Thermal IC9901 B4 VSSQ IC9901 M6 A2 IC9901 D3 DQ5 IC9901 G3 DQ18 IC9901 H3 DM2 IC9901 J5 VSSQ IC9901 K12 DQ9 IC9901 C4 NC IC9901 J9 VSS_Thermal IC9901 G10 VSSQ IC9901 C7 VDDQ IC9901 N4 BA0 IC9901 F7 VSS_Thermal IC9901 H13 DQS1 IC9901 D11 VSSQ IC9901 B12 DM3 IC9901 E10 VSS IC9901 E9 VSSQ IC9901 F11 VDDQ IC9901 F6 VSS_Thermal IC9901 N7 A3 IC9901 B13 DQS3 IC9901 C2 DQ4 IC9901 G13 DQ12 IC9901 J12 DQ11 IC9901 B6 DQ2 IC9901 G2 DQ19 IC9901 H2 DQS2 IC9901 E7 VSS IC9901 E11 VDD IC9901 C9 DQ30 IC9901 L4 VDD IC9901 G6 VSS_Thermal IC9901 K13 DQ8 IC9901 L5 VSS IC9901 F3 DQ16 IC9901 J11 VDDQ IC9901 M2 RAS IC9901 N11 A8/AP IC9901 H7 VSS_Thermal IC9901 G7 VSS_Thermal IC9901 K2 DQ22 IC9901 G4 VDDQ IC9901 D2 DQ6 IC9901 H10 VSSQ IC9901 C8 VDDQ IC9901 B5 DQ3 IC9901 H6 VSS_Thermal IC9901 H4 NC IC9901 F2 DQ17 IC9901 E2 DQ7 IC9901 K6 VSS IC9901 C10 VDDQ IC9901 E8 VSS IC9901 L2 CAS IC9901 L11 VDD IC9901 M3 NC IC9900 AF19 NRAS IC9900 AA23 ID1 IC9900 AA4 VSS IC9900 AA3 VSS IC9901 D13 DQ25 IC9901 K3 DQ23 IC9900 AB1 VSS IC9901 N6 A1 IC9900 U2 AVSS_L IC9900 AB6 VSS IC9900 E14 VSS IC9900 Y24 VSS IC9900 AE1 VSS IC9900 AB24 ID2 IC9900 T15 VSS D32 1 2 3 4 5 6 7 8 9 10 11 12 13 14 15 16 17 18 19 20 21 22 23 24 25 26 27 28 29 30 31 32 33 34 35 36 37 38 39 40 41 42 43 44 45 46 47 48 49 50 51 52 53 54 55 57 58 59 60 61 62 63 64 65 66 67 68 56 P2.5V P2.5V P2.5V P5V P2.5V ZA9001 K4CD01000011 R9944 47 EXB38V470JV R9948 47 EXB38V470JV R9906 47 EXB38V470JV R9946 47 EXB38V470JV R9949 47 EXB38V470JV R9951 47 EXB38V470JV R9950 47 EXB38V470JV R9945 47 EXB38V470JV R9947 47 EXB38V470JV R9357 EXB2HV220JV R9903 EXB2HV470JV 47 R9356 EXB2HV220JV R9358 EXB2HV330JV R9943 47 EXB2HV470JV R9354 EXB2HV220JV R9359 EXB2HV330JV R9355 EXB2HV220JV R9953 47 R9939 1k 1% R9936 1k R9954 47 R9116 100 R9937 1k R9398 47 R9907 150 R9940 33 R9362 47 R9905 33 R9361 47 R9399 47 R9952 47 R9938 1k 1% R9363 10k R9360 3.3k R9955 47 DOUTDA[5] DOUTDB[3] DOUTDC[2] DOUTDC[9] UMH DOUTDB[4] DOUTDA[4] DOUTDB[1] UML DOUTDA[9] DOUTDC[1] DOUTDB[9] DOUTDC[8] DOUTDA[2] DOUTDC[5] DOUTDA[0] DOUTDA[8] DOUTDB[8] DOUTDC[11] DOUTDB[2] DOUTDA[11] DOUTDB[11] DOUTDC[10] DOUTDA[3] USH SOS8_SS DOUTDA[10] DOUTDB[10] DOUTDA[1] DOUTDC[0] USL UEH DOUTDC[3] DOUTDC[4] DOUTDB[0] DOUTDB[5] DOUTDB[6] DOUTDA[6] DOUTDC[6] DOUTDC[7] DOUTDB[7] DOUTDA[7] D31 D32 DDR-Terminate to DDR P5V P5V P5V UEL NC LE_C2 ODE_C2 PC3_C2 CLR_C2 CLK0P_C2 CLK1N_C2 GND GND GND CLK2P_C2 CLK3N_C2 GND GND GND GND GND GND GND URH GND PC4_C2 C2-BOARD TO (C21) IC9901 DDR MEMORY 42 43 40 39 38 37 45 41 44 C3ABQY000032 D-BOARD TXN/D1VETC (5/5) ! MN84526 IC9900 VIDEO/PANEL CONTROL 32 31 33 34 TH-50PH11CK D-Board (5 of 5) Schematic Diagram TH-50PH11CK D-Board (5 of 5) Schematic Diagram 68 12.24.C1 电路板 (1/2) 线路图 TERM SIDE TERM SIDE TERM SIDE TERM SIDE CLR_C1 AA_DDC20 AA_DDA20 AA_DDC20 CLKD_11N AA_DDB20 AA_DDA20 AA_DDB20 LE_C1 AA_DDA21 AA_DDB21 AA_DDC21 ODE_C1 AA_DDC21 AA_DDB21 AA_DDA21 CLKD_01P AA_DDC19 AA_DDA18 AA_DDB18 AA_DDC18 CLKD_02P AA_DDA18 AA_DDA19 AA_DDA19 ODE_C1 LE_C1 AA_DDB19 AA_DDC18 CLKD_12N AA_DDC19 AA_DDB19 AA_DDB18 CLR_C1 CLKD_23P AA_DDB16 AA_DDA17 AA_DDC16 LE_C1 CLKD_33N AA_DDB17 AA_DDC17 AA_DDA16 ODE_C1 CLR_C1 ODE_C1 CLKD_24P AA_DDA14 AA_DDB14 LE_C1 AA_DDC15 AA_DDC14 AA_DDB14 AA_DDA15 AA_DDB15 CLKD_34N AA_DDA14 AA_DDA15 AA_DDB15 CLR_C1 AA_DDC15 AA_DDC14 AA_DDC17 AA_DDB17 AA_DDA17 AA_DDB16 AA_DDA16 AA_DDC16 PC2_C1 PC2_C1 PC1_C1 PC1_C1 C17112 10V 1u C17141 10V 1u C17142 10V 1u C17143 250V 0.15u C17134 250V 0.15u C17131 10V 1u C17144 250V 0.15u C17132 10V 1u C17124 250V 0.15u C17121 10V 1u C17133 250V 0.15u C17111 10V 1u C17114 250V 0.15u C17123 250V 0.15u C17122 10V 1u C17113 250V 0.15u 1 3 4 5 7 8 9 10 11 12 13 14 15 16 17 18 19 20 21 22 23 24 25 26 27 28 29 31 32 33 34 35 36 37 39 40 41 42 43 44 45 46 47 48 49 50 51 52 53 54 55 57 58 59 60 61 63 64 65 67 68 56 1 3 4 5 7 8 9 10 11 12 13 14 15 16 17 18 19 20 21 22 23 24 25 26 27 28 29 31 32 33 34 35 36 37 39 40 41 42 43 44 45 46 47 48 49 50 51 52 53 54 55 57 58 59 60 61 63 64 65 67 68 56 1 3 4 5 7 8 9 10 11 12 13 14 15 16 17 18 19 20 21 22 23 24 25 26 27 28 29 31 32 33 34 35 36 37 39 40 41 42 43 44 45 46 47 48 49 50 51 52 53 54 55 57 58 59 60 61 63 64 65 67 68 56 1 3 4 5 7 8 9 10 11 12 13 14 15 16 17 18 19 20 21 22 23 24 25 26 27 28 29 31 32 33 34 35 36 37 39 40 41 42 43 44 45 46 47 48 49 50 51 52 53 54 55 57 58 59 60 61 63 64 65 67 68 56 VDA_75V VDA_75V C1_5V VDA_75V C1_5V C1_5V C1_5V VDA_75V R17121 EXB38V471JV R17122 EXB38V471JV R17142 EXB38V471JV R17141 EXB38V471JV R17112 EXB38V471JV R17111 EXB38V471JV R17132 EXB38V561JV R17131 EXB38V471JV R17147 6.8 R17136 6.8 R17116 6.8 R17191 4.7k R17146 6.8 R17117 6.8 R17137 6.8 R17127 6.8 R17126 6.8 NC NC A4-1 VDD1 A6-1 NC GND GND VDD1 NC A5-2 GND DM GND GND GND A3-2 NC NC GND VDD2 VDD2 FX1 VDD1 GND NC NC A3-1 A2-2 VDD2 GND VDD2 VDD2 NC NC GND GND GND VDD2 GND DM BLK A2-1 VDD2 VDD2 VDD2 VDD2 GND CLR A1-2 GND VDD2 A6-2 A1-1 DSEL LEN VDD2 NC NC VDD1 A4-2 GND NC A5-1 NC ODE FX2 NC GND NC GND A1-2 DM A1-1 NC NC GND NC A6-1 NC BLK VDD2 FX2 GND GND A2-1 LEN GND VDD2 VDD1 NC CLR A5-2 VDD2 FX1 GND A4-1 A3-1 A2-2 GND NC VDD2 GND GND NC A4-2 GND GND DM A6-2 VDD2 ODE VDD1 NC GND VDD2 VDD2 NC VDD2 DSEL VDD2 VDD2 NC GND VDD1 A5-1 NC VDD1 GND NC GND VDD2 A3-2 VDD2 NC NC GND NC GND FX2 NC NC NC DM BLK VDD2 A5-2 GND VDD2 DM GND GND LEN VDD2 NC A1-2 NC GND NC VDD2 A3-1 GND A2-2 GND GND NC VDD1 NC A3-2 A2-1 NC NC A4-2 A4-1 VDD1 GND VDD2 VDD2 GND A6-1 A6-2 VDD2 NC GND VDD2 ODE VDD2 VDD2 FX1 NC GND GND CLR GND A5-1 A1-1 NC GND VDD2 VDD1 VDD2 DSEL NC VDD1 GND NC GND LEN A4-2 DM A4-1 ODE BLK A2-2 VDD2 GND VDD2 VDD1 NC NC NC NC GND VDD1 NC NC VDD2 VDD2 GND FX1 A6-1 A6-2 NC VDD1 NC NC VDD2 GND A3-1 A3-2 GND A2-1 GND VDD2 VDD2 GND DSEL VDD2 GND NC VDD1 A1-2 GND NC A5-1 A1-1 GND VDD2 DM GND GND VDD2 FX2 NC A5-2 NC CLR GND GND VDD2 VDD2 NC 1 5 6 3 4 2 7 8 D C F A B E 9 PANEL DATA TO DRIVER CB2 CB4 PANEL DATA TO DRIVER CB3 DRIVER TO PANEL DATA CB1 PANEL DATA TO DRIVER C1-BOARD TXNC11RQTC (1/2) ! 1 2 3 4 5 6 TH-50PH11CK C1-Board (1 of 2) Schematic Diagram TH-50PH11CK C1-Board (1 of 2) Schematic Diagram 69 12.25.C1 电路板 (2/2) 线路图 SIDE TERM TERM SIDE TERM SIDE LE_C1A AA_DDA13 PC1_C1A CLKD_2P CLKD_3N AA_DDC20 AA_DDC19 ODE_C1A AA_DDB19 CLR_C1A AA_DDB18 AA_DDB13 AA_DDA20 CLKD_0P AA_DDB20 AA_DDB12 AA_DDC17 AA_DDA14 AA_DDA16 5V_DET AA_DDC16 AA_DDA18 AA_DDA21 AA_DDB15 AA_DDB21 AA_DDA17 CLKD_25P AA_DDB17 AA_DDC18 AA_DDC21 AA_DDC12 AA_DDC15 AA_DDC13 LE_C1 AA_DDB16 AA_DDA12 AA_DDA19 CLKD_1N ODE_C1 AA_DDB14 AA_DDA15 AA_DDC14 CLKD_24P CLR_C1 PC2_C1 PC2_C1A CLKD_2P CLKD_3N CLR_C1A ODE_C1A PC1_C1 CLKD_02P CLKD_12N CLKD_01P CLKD_23P CLKD_34N CLKD_35N CLKD_33N CLKD_11N PC1_C1A LE_C1A CLKD_0P CLKD_1N ODE_C1 AA_DDB12 AA_DDC13 AA_DDC12 AA_DDA13 AA_DDB13 CLKD_35N AA_DDA12 CLR_C1 CLKD_25P AA_DDC13 AA_DDB13 AA_DDA13 AA_DDB12 AA_DDA12 AA_DDC12 LE_C1 PC2_C1 PC2_C1A C17153 250V 0.15u C17152 10V 1u C17151 10V 1u C17165 16V 0.1u C17154 250V 0.15u C17161 10V 1u C17163 16V 0.1u C0JBAZ002692 IC17101 G1 1 2 A1 3 A2 4 A3 5 A4 6 A5 7 A6 8 A7 9 A8 10 GND 11 Y8 12 Y7 13 Y6 14 Y5 15 Y4 16 Y3 17 Y2 18 Y1 19 G2 20 Vcc C0JBAZ002692 IC17102 G1 1 2 A1 3 A2 4 A3 5 A4 6 A5 7 A6 8 A7 9 A8 10 GND 11 Y8 12 Y7 13 Y6 14 Y5 15 Y4 16 Y3 17 Y2 18 Y1 19 G2 20 Vcc C10 1 2 3 4 5 6 7 8 9 10 11 12 13 14 15 16 17 18 19 20 C11 1 2 3 4 5 6 7 8 9 10 11 12 13 14 15 16 17 18 19 20 21 22 23 24 25 26 27 28 29 30 31 32 33 34 35 36 37 38 39 40 41 42 43 44 45 46 47 48 49 50 51 52 53 54 55 1 3 4 5 7 8 9 10 11 12 13 14 15 16 17 18 19 20 21 22 23 24 25 26 27 28 29 31 32 33 34 35 36 37 39 40 41 42 43 44 45 46 47 48 49 50 51 52 53 54 55 57 58 59 60 61 63 64 65 67 68 56 C1_5V C1_5V C1_5V VDA_75V C1_5V VDA_75V ZA17105 K4AD01Z00001 ZA17103 K4AD01Z00001 ZA17106 K4AD01Z00001 ZA17101 K4AD01Z00001 ZA17102 K4AD01Z00001 ZA17104 K4AD01Z00001 R17151 EXB38V471JV R17152 EXB38V471JV R17162 EXB38V220JV R17164 EXB38V102JV R17163 EXB38V220JV R17167 EXB38V102JV R17165 EXB38V220JV R17166 EXB38V470JV R17156 6.8 R17161 0 R17157 6.8 R17170 1k R17172 47 R17171 47 GND PC1_C1 GND GND DOUTDA[15] GND DOUTDC[15] CLR_C1 GND GND DOUTDB[17] DOUTDB[21] P5V DOUTDB[18] DOUTDB[15] P5V NC DOUTDC[13] CLK1N_C1 GND DOUTDA[12] DOUTDB[12] NC DOUTDB[20] NC DOUTDC[14] NC Vda 75V DOUTDB[19] NC GND Vda 75V 5V_DET DOUTDC[17] Vda 75V GND DOUTDC[19] DOUTDA[17] NC GND NC DOUTDA[21] Vda 75V P5V GND GND GND CLK0P_C1 Vda 75V DOUTDA[20] DOUTDC[20] DOUTDA[16] DOUTDB[14] Vda 75V GND GND DOUTDA[14] CLK3N_C1 DOUTDC[18] DOUTDA[19] GND DOUTDB[13] DOUTDA[13] DOUTDB[16] ODE_C1 5V_DET DOUTDC[12] DOUTDC[16] LE_C1 CLK2P_C1 DOUTDA[18] DOUTDC[21] Vda 75V GND PC2_C1 C10 1 20 1 55 1 68 68 1 68 1 68 1 68 1 C11 GND NC GND LEN A4-2 DM A4-1 ODE BLK A2-2 VDD2 GND VDD2 VDD1 NC NC NC NC GND VDD1 NC NC VDD2 VDD2 GND FX1 A6-1 A6-2 NC VDD1 NC NC VDD2 GND A3-1 A3-2 GND A2-1 GND VDD2 VDD2 GND DSEL VDD2 GND NC VDD1 A1-2 GND NC A5-1 A1-1 GND VDD2 DM GND GND VDD2 FX2 NC A5-2 NC CLR GND GND VDD2 VDD2 NC 12 18 10 16 17 13 15 11 14 DRIVER TO PANEL DATA CB5 BUFFER BUFFER C1-BOARD TXNC11RQTC (2/2) ! TO D-BOARD (D31) TO C2-BOARD (C20) 1 2 3 4 5 6 TH-50PH11CK C1-Board (2 of 2) Schematic Diagram TH-50PH11CK C1-Board (2 of 2) Schematic Diagram 70 12.26.C2 电路板 (1/2) 线路图 SIDE TERM TERM SIDE TERM SIDE TERM SIDE AA_DDA2 ODE_C3 AA_DDB9 AA_DDC11 AA_DDB7 UML_C2 AA_DDC4 AA_DDA6 CLKU_07P CLKU_3N UEL AA_DDB3 USL_C2 CLKU_08P AA_DDC1 CLR_C2 LE_C3 LE_C2 UML AA_DDB5 LE_C2A UEH AA_DDB4 CLKU_0P AA_DDA1 USH_C2 AA_DDC8 AA_DDC9 AA_DDB1 PC3_C2A SOS8_C2 AA_DDC6 AA_DDB11 AA_DDC2 AA_DDB6 AA_DDC7 AA_DDA7 USH PC4_C3 ODE_C2 CLKU_06P AA_DDC0 CLKU_16N AA_DDA8 AA_DDA5 PC3_C2 AA_DDA0 USL CLKU_2P AA_DDB10 CLR_C3 AA_DDA9 UMH AA_DDC3 AA_DDC5 AA_DDA11 CLKU_1N AA_DDC10 CLKU_0P AA_DDA3 CLKU_18N AA_DDB0 AA_DDA10 AA_DDA4 UMH_C2 CLKU_17N AA_DDB2 AA_DDB8 CLR_C2A ODE_C2A PC4_C3A CLKU_1N PC3_C2A ODE_C2A CLR_C2A LE_C2A UEL UEH USL USH UML UMH UEL_C2 UEH_C2 AA_DDA10 AA_DDC10 CLKU_16N AA_DDA11 AA_DDA11 AA_DDB10 AA_DDB11 AA_DDA10 CLKU_06P AA_DDB10 CLR_C2 AA_DDC10 AA_DDC11 AA_DDB11 LE_C2 AA_DDC11 ODE_C2 AA_DDC9 AA_DDB8 CLKU_07P AA_DDC8 AA_DDA8 AA_DDA9 ODE_C2 AA_DDA8 AA_DDB9 AA_DDB8 CLKU_17N AA_DDC8 LE_C2 AA_DDC9 AA_DDA9 CLR_C2 AA_DDB9 PC3_C2 PC3_C2 PC4_C3A C17211 10V 1u C17224 250V 0.15u C17264 16V 0.1u C17214 250V 0.15u C17261 10V 1u C17221 10V 1u C17212 10V 1u C17262 16V 0.1u C17222 10V 1u C17266 16V 0.1u C17213 250V 0.15u C17223 250V 0.15u C0JBAZ002692 IC17201 G1 1 2 A1 3 A2 4 A3 5 A4 6 A5 7 A6 8 A7 9 A8 10 GND 11 Y8 12 Y7 13 Y6 14 Y5 15 Y4 16 Y3 17 Y2 18 Y1 19 G2 20 Vcc C0JBAZ002692 IC17203 G1 1 2 A1 3 A2 4 A3 5 A4 6 A5 7 A6 8 A7 9 A8 10 GND 11 Y8 12 Y7 13 Y6 14 Y5 15 Y4 16 Y3 17 Y2 18 Y1 19 G2 20 Vcc C0JBAZ002692 IC17202 G1 1 2 A1 3 A2 4 A3 5 A4 6 A5 7 A6 8 A7 9 A8 10 GND 11 Y8 12 Y7 13 Y6 14 Y5 15 Y4 16 Y3 17 Y2 18 Y1 19 G2 20 Vcc C20 1 2 3 4 5 6 7 8 9 10 11 12 13 14 15 16 17 18 19 20 C21 1 2 3 4 5 6 7 8 9 10 11 12 13 14 15 16 17 18 19 20 21 22 23 24 25 26 27 28 29 30 31 32 33 34 35 36 37 38 39 40 41 42 43 44 45 46 47 48 49 50 51 52 53 54 55 57 58 59 60 61 62 63 64 65 66 67 68 56 1 3 4 5 7 8 9 10 11 12 13 14 15 16 17 18 19 20 21 22 23 24 25 26 27 28 29 31 32 33 34 35 36 37 39 40 41 42 43 44 45 46 47 48 49 50 51 52 53 54 55 57 58 59 60 61 63 64 65 67 68 56 1 3 4 5 7 8 9 10 11 12 13 14 15 16 17 18 19 20 21 22 23 24 25 26 27 28 29 31 32 33 34 35 36 37 39 40 41 42 43 44 45 46 47 48 49 50 51 52 53 54 55 57 58 59 60 61 63 64 65 67 68 56 VDA_75V VDA_75V C2_5V C2_5V VDA_75V C2_5V C2_5V C2_5V C2_5V R17221 EXB38V471JV R17222 EXB38V471JV R17266 EXB38V470JV R17262 EXB38V470JV R17273 EXB38V222JV R17263 EXB38V470JV R17267 EXB38V222JV R17274 EXB38V222JV R17271 EXB38V470JV R17264 EXB38V102JV R17265 EXB38V470JV R17272 EXB38V470JV R17212 EXB38V471JV R17211 EXB38V471JV R17216 6.8 R17217 6.8 R17227 6.8 R17261 0 R17268 2.2k R17226 6.8 DOUTDA[3] DOUTDC[4] DOUTDC[11] DOUTDB[1] GND GND GND UMH DOUTDC[6] DOUTDA[8] GND DOUTDC[0] DOUTDA[7] DOUTDC[1] ODE DOUTDB[11] CLR DOUTDB[7] DOUTDC[8] DOUTDA[2] DOUTDB[8] DOUTDA[4] PC3_C2 DOUTDA[0] P5V Vda 75V CLK2P_C2 GND UEH NC GND DOUTDB[0] Vda 75V NC 5V_DET DOUTDC[9] DOUTDA[5] GND DOUTDC[2] GND DOUTDA[11] LE USH NC Vda 75V GND Vda 75V NC NC DOUTDB[4] DOUTDB[2] GND GND DOUTDC[7] GND NC SOS8_SS P5V CLK1N_C2 DOUTDC[10] DOUTDA[1] DOUTDB[6] DOUTDA[10] DOUTDB[5] DOUTDA[9] Vda 75V USL DOUTDB[9] GND UEL DOUTDA[6] GND DOUTDC[3] NC DOUTDC[5] DOUTDB[10] Vda 75V CLK0P_C2 UML GND CLK3N_C2 P5V DOUTDB[3] NC GND GND Vda 75V PC4_C3 VDD1 NC A4-2 GND A5-1 VDD1 VDD2 GND VDD2 GND A5-2 A6-2 GND GND A3-2 GND GND NC NC A1-2 VDD2 NC GND GND VDD2 VDD2 NC NC NC GND GND DM DM CLR NC VDD1 VDD2 A2-1 GND NC A4-1 NC FX1 FX2 DSEL GND VDD2 VDD2 VDD2 VDD1 VDD2 NC NC NC BLK NC VDD2 A2-2 VDD2 A3-1 GND NC ODE A6-1 A1-1 GND GND LEN A6-2 GND FX1 FX2 GND VDD1 DSEL A3-2 VDD2 NC VDD2 A4-1 VDD1 NC VDD2 VDD1 NC DM DM GND GND GND GND VDD2 NC ODE A1-1 A6-1 GND A4-2 GND GND GND VDD2 VDD2 CLR VDD2 NC NC NC A3-1 NC GND NC GND LEN GND VDD2 A5-1 GND A1-2 A5-2 VDD2 NC BLK NC VDD2 A2-2 VDD2 NC VDD1 NC VDD2 GND A2-1 GND NC NC 9 4 B A E 7 D 5 3 8 2 C 1 F 6 TO PANEL DATA DRIVER CB6 TO PANEL DATA DRIVER CB7 BUFFER BUFFER BUFFER C2-BOARD TXNC21RQTC (1/2) ! TO C1-BOARD (C10) TO D-BOARD (D32) 1 2 3 5 4 6 7 8 TH-50PH11CK C2-Board (1 of 2) Schematic Diagram TH-50PH11CK C2-Board (1 of 2) Schematic Diagram 71 12.27.C2 电路板 (2/2) 线路图 TERM SIDE TERM SIDE LE_C3 AA_DDA4 AA_DDC3 AA_DDC4 AA_DDC1 PC4_C3 AA_DDB3 AA_DDB0 AA_DDA3 USL_C2 AA_DDA1 AA_DDA2 AA_DDB1 ODE_C3 UMH_C2 AA_DDB2 AA_DDC0 UML_C2 AA_DDC5 UEL_C2 AA_DDA5 UEH_C2 CLKU_3N USH_C2 AA_DDA0 SOS8_C2 CLR_C3 AA_DDB5 AA_DDC2 CLKU_2P AA_DDB4 CLR_C2 AA_DDA6 AA_DDA7 AA_DDA6 ODE_C2 AA_DDC6 AA_DDC7 CLKU_18N AA_DDC7 AA_DDB6 AA_DDC6 LE_C2 CLKU_08P AA_DDB7 AA_DDB6 AA_DDB7 AA_DDA7 5V_DET PC3_C2 C17234 250V 0.15u C17231 10V 1u C17268 10V 1u C17232 10V 1u C17233 250V 0.15u C22 1 2 3 4 5 6 7 8 9 10 11 12 13 14 15 16 17 18 19 20 21 22 23 24 25 26 27 28 29 30 31 32 33 34 35 36 37 38 39 40 41 42 43 44 45 46 47 48 49 50 51 52 53 54 55 1 3 4 5 7 8 9 10 11 12 13 14 15 16 17 18 19 20 21 22 23 24 25 26 27 28 29 31 32 33 34 35 36 37 39 40 41 42 43 44 45 46 47 48 49 50 51 52 53 54 55 57 58 59 60 61 63 64 65 67 68 56 VDA_75V C2_5V VDA_75V C2_5V R17231 EXB38V471JV R17232 EXB38V471JV R17275 0 R17237 6.8 R17236 6.8 CLR_C3 AA_DDB1 AA_DDC0 AA_DDA1 Vda 75V GND GND Vda 75V GND NC Vda 75V AA_DDA3 Vda 75V AA_DDB2 NC AA_DDC1 SOS8_SS AA_DDC4 AA_DDB3 P5V Vda 75V GND AA_DDC5 UMH AA_DDC3 AA_DDA4 LE_C3 PC4_C3 AA_DDB0 CLKU_3N UEL NC P5V UEH 5V_DET UML GND GND GND USL USH AA_DDA5 NC AA_DDC2 Vda 75V AA_DDB5 GND AA_DDA2 AA_DDB4 AA_DDA0 CLKU_2P ODE_C3 GND GND GND FX1 A4-2 GND A5-1 GND A1-2 A5-2 VDD2 CLR VDD2 NC NC GND DM DM GND GND NC A3-1 GND NC GND GND VDD2 NC VDD2 GND A2-1 GND NC NC VDD1 GND DSEL GND A3-2 VDD2 VDD2 NC GND NC LEN BLK GND NC NC VDD2 VDD2 VDD2 A6-2 A2-2 A4-1 FX2 VDD1 GND VDD2 NC VDD1 NC VDD2 NC VDD2 VDD1 NC ODE A1-1 A6-1 GND 16 10 17 14 18 11 13 12 15 PANEL DATA DRIVER CB8 TO ! C2-BOARD TXNC21RQTC (2/2) TO C3-BOARD (C32) 8 3 4 5 6 1 2 7 TH-50PH11CK C2-Board (2 of 2) Schematic Diagram TH-50PH11CK C2-Board (2 of 2) Schematic Diagram 72 12.28.C3 电路板 (1/2) 线路图 TERM SIDE TERM SIDE TERM SIDE AA_DDC2 CLR_C3A AA_DDA4 AA_DDC3 AA_DDC1 AA_DDB0 USL_C3 AA_DDA2 CLKU_2P AA_DDC4 AA_DDB2 ODE_C3A AA_DDA3 AA_DDC0 AA_DDA1 AA_DDC5 AA_DDB1 AA_DDB4 UMH_C3 UML_C3 AA_DDA5 CLKU_3N UEH_C3 USH_C3 AA_DDA0 SOS8_C3 AA_DDB5 AA_DDB3 CLKU_39N CLKU_30N CLKU_21P UEL_C3 AB_DDB5 AB_DDA5 AB_DDC5 AB_DDA4 AB_DDC4 AB_DDB4 PC4_C3 LE_C3 CLKU_29P CLKU_20P CLKU_3N CLKU_2P CLR_C3A ODE_C3A PC4_C3A CLR_C3 ODE_C3 LE_C3A AB_DDA3 AB_DDB3 AB_DDC3 AB_DDA2 AB_DDB2 AB_DDC2 CLKU_31N LE_C3 AB_DDC5 AB_DDC4 AB_DDC5 AB_DDB4 AB_DDC4 CLR_C3 ODE_C3 CLKU_39N AB_DDB4 AB_DDB5 CLKU_29P AB_DDA4 AB_DDA5 AB_DDA4 AB_DDB5 AB_DDC2 AB_DDA3 AB_DDB2 AB_DDC3 ODE_C3 CLKU_30N LE_C3 AB_DDA2 CLKU_20P CLR_C3 AB_DDC2 AB_DDC3 AB_DDA3 AB_DDB3 AB_DDB2 AB_DDB3 AB_DDA2 AA_DDA5 AA_DDB5 AA_DDC5 AA_DDA4 AA_DDB4 AA_DDC4 PC4_C3A LE_C3A AA_DDA3 AA_DDB3 AA_DDC3 AA_DDA2 AA_DDB2 AA_DDC2 PC4_C3 PC4_C3 AB_DDA5 C17361 10V 1u C17322 10V 1u C17321 10V 1u C17311 10V 1u C17366 16V 0.1u C17312 10V 1u C17313 250V 0.15u C17323 250V 0.15u C17324 250V 0.15u C17314 250V 0.15u C17364 16V 0.1u C17362 16V 0.1u C0JBAZ002692 IC17302 G1 1 2 A1 3 A2 4 A3 5 A4 6 A5 7 A6 8 A7 9 A8 10 GND 11 Y8 12 Y7 13 Y6 14 Y5 15 Y4 16 Y3 17 Y2 18 Y1 19 G2 20 Vcc C0JBAZ002692 IC17303 G1 1 2 A1 3 A2 4 A3 5 A4 6 A5 7 A6 8 A7 9 A8 10 GND 11 Y8 12 Y7 13 Y6 14 Y5 15 Y4 16 Y3 17 Y2 18 Y1 19 G2 20 Vcc C0JBAZ002692 IC17301 G1 1 2 A1 3 A2 4 A3 5 A4 6 A5 7 A6 8 A7 9 A8 10 GND 11 Y8 12 Y7 13 Y6 14 Y5 15 Y4 16 Y3 17 Y2 18 Y1 19 G2 20 Vcc C32 1 2 3 4 5 6 7 8 9 10 11 12 13 14 15 16 17 18 19 20 21 22 23 24 25 26 27 28 29 30 31 32 33 34 35 36 37 38 39 40 41 42 43 44 45 46 47 48 49 50 51 52 53 54 55 1 3 4 5 7 8 9 10 11 12 13 14 15 16 17 18 19 20 21 22 23 24 25 26 27 28 29 31 32 33 34 35 36 37 39 40 41 42 43 44 45 46 47 48 49 50 51 52 53 54 55 57 58 59 60 61 63 64 65 67 68 56 1 3 4 5 7 8 9 10 11 12 13 14 15 16 17 18 19 20 21 22 23 24 25 26 27 28 29 31 32 33 34 35 36 37 39 40 41 42 43 44 45 46 47 48 49 50 51 52 53 54 55 57 58 59 60 61 63 64 65 67 68 56 VDA_75V VDA_75V C3_5V C3_5V C3_5V VDA_75V C3_5V C3_5V C3_5V R17375 EXB38V471JV R17369 EXB38V470JV R17363 EXB38V220JV R17373 EXB38V470JV R17374 EXB38V470JV R17371 EXB38V471JV R17376 EXB38V471JV R17367 EXB38V102JV R17372 EXB38V471JV R17364 EXB38V220JV R17368 EXB38V470JV R17361 0 R17316 6.8 R17327 6.8 R17325 680 R17326 6.8 R17315 680 R17317 6.8 R17366 47 R17365 47 R17362 1k USH AA_DDC5 NC UMH AA_DDC1 SOS8_SS AA_DDC3 AA_DDA4 AA_DDA5 LE_C3 PC4_C3 AA_DDB0 AA_DDC2 CLKU_3N Vda 75V Vda 75V GND AA_DDB5 GND GND AA_DDA2 AA_DDB4 AA_DDA0 CLKU_2P ODE_C3 NC Vda 75V UEL GND NC AA_DDC4 P5V CLR_C3 GND AA_DDB3 GND Vda 75V AA_DDB1 UEH P5V AA_DDA3 Vda 75V 5V_DET AA_DDC0 UML GND Vda 75V AA_DDA1 AA_DDB2 GND GND GND USL NC GND NC VDD2 FX1 NC A4-2 GND A5-1 VDD2 VDD1 NC BLK ODE GND NC NC A2-2 A4-1 FX2 VDD1 A1-1 A6-1 A3-2 VDD2 VDD2 NC A2-1 GND NC VDD1 NC GND DSEL GND CLR VDD2 NC GND NC VDD2 GND NC DM GND VDD1 DM NC LEN VDD2 NC VDD2 GND GND GND NC GND GND NC GND A3-1 VDD2 VDD2 VDD2 A6-2 GND A1-2 A5-2 VDD2 VDD2 A3-2 A4-2 VDD1 VDD2 A3-1 NC NC VDD2 VDD2 NC GND BLK ODE GND GND FX1 NC DSEL A6-1 VDD2 NC NC NC A2-1 NC GND A1-1 VDD1 NC GND CLR VDD1 VDD2 GND GND GND A5-1 GND GND VDD2 NC FX2 A4-1 NC GND NC VDD1 GND A2-2 GND VDD2 A5-2 DM VDD2 A6-2 DM NC GND NC VDD2 A1-2 GND LEN GND VDD2 VDD2 GND NC 1 2 3 4 5 6 7 8 9 B A E D C F TO PANEL DATA DRIVER CB9 TO C2-BOARD (C22) TO PANEL DATA DRIVER CB10 BUFFER BUFFER BUFFER C3-BOARD TXNC31RQTC (1/2) ! 1 2 3 4 5 6 TH-50PH11CK C3-Board (1 of 2) Schematic Diagram TH-50PH11CK C3-Board (1 of 2) Schematic Diagram 73 12.29.C3 电路板 (2/2) 线路图 TERM SIDE AB_DDC0 AB_DDB0 AB_DDA0 AB_DDC1 AB_DDB1 AB_DDA1 UEH_C3 USL_C3 USH_C3 UML_C3 UMH_C3 SOS8_C3 CLKU_21P AB_DDC0 ODE_C3 CLKU_31N AB_DDA0 AB_DDB1 AB_DDB0 AB_DDB0 AB_DDA1 AB_DDA1 AB_DDC0 AB_DDC1 AB_DDC1 LE_C3 CLR_C3 AB_DDA0 AB_DDB1 UEL_C3 AA_DDA1 AA_DDB1 AA_DDC1 AA_DDA0 AA_DDB0 AA_DDC0 PC4_C3 C17333 250V 0.15u C17368 16V 0.1u C17332 10V 1u C17390 100V 1u C17331 10V 1u C17334 250V 0.15u C0JBAZ002692 IC17304 G1 1 2 A1 3 A2 4 A3 5 A4 6 A5 7 A6 8 A7 9 A8 10 GND 11 Y8 12 Y7 13 Y6 14 Y5 15 Y4 16 Y3 17 Y2 18 Y1 19 G2 20 Vcc 1 3 4 5 7 8 9 10 11 12 13 14 15 16 17 18 19 20 21 22 23 24 25 26 27 28 29 31 32 33 34 35 36 37 39 40 41 42 43 44 45 46 47 48 49 50 51 52 53 54 55 57 58 59 60 61 63 64 65 67 68 56 C33 1 2 3 4 5 6 7 8 9 10 11 12 VDA_75V C3_5V C3_5V C3_5V VDA_75V ZA17302 K4AD01Z00001 ZA17303 K4AD01Z00001 ZA17304 K4AD01Z00001 ZA17301 K4AD01Z00001 R17380 EXB38V471JV R17379 EXB38V471JV R17378 EXB38V470JV R17377 EXB38V470JV R17391 4.7k R17390 220k R17337 6.8 R17335 680 R17336 6.8 NC P5V UEL UEH USL USH UML UMH SOS8_SS GND 68 55 1 68 1 1 68 C32 1 VDD1 GND A5-2 VDD2 VDD2 A4-1 LEN NC GND ODE GND A2-2 GND GND GND VDD2 NC GND A2-1 DM A4-2 VDD1 NC GND A6-1 NC GND NC NC BLK VDD2 NC FX1 NC NC VDD2 VDD2 VDD1 NC VDD1 CLR NC A3-2 VDD2 A1-1 DM VDD2 GND GND NC NC NC DSEL FX2 A1-2 A6-2 A5-1 NC VDD2 VDD2 GND GND VDD2 A3-1 GND GND GND VDD2 Vda 75V Vda 75V 12 15 11 13 14 18 16 10 17 TO PANEL DATA DRIVER CB11 BUFFER TO SS-BOARD (SS23) C3-BOARD TXNC31RQTC (2/2) ! 2 3 6 1 5 4 TH-50PH11CK C3-Board (2 of 2) Schematic Diagram TH-50PH11CK C3-Board (2 of 2) Schematic Diagram 74 12.30.SC 电路板 (1/3) 线路图 + + TERM SIDE + AA_CLK AA_CEL AA_SIU CEL OC2 CPH2 CPH1 CML CML CMH CMH CSL CSL CSH AA_SCSU AA_OC2 AA_CML AA_CMH AA_CSH AA_CPH1 AA_CPH2 AA_OC1 AA_CSH AA_CML AA_CMH CERS AA_CERS AA_CSL AA_CSL AA_DRV_RST C16480 50V 0.1u C16471 630V 1000p C16581 25V 1u C16505 25V 4.7u C16521 25V 1u C16524 25V 4.7u C16525 25V 4.7u C16502 25V 4.7u C16491 630V 1000p C16504 25V 4.7u C16566 50V 0.01u C16565 50V 0.01u C16522 25V 4.7u C16582 16V 1u C16421 630V 5600p C16402 5600p 630V C16564 16V 1u C16562 16V 1u *C16441 50V 3900p C16593 50V 1000p C16563 10V 100u D16451 B0ECKP000047 D16523 B0ECKP000047 D16466 MA2J11100L D16501 B0ECKP000047 D16585 MA2J11100L D16441 B0ECKP000047 D16522 B0ECKP000047 D16480 MA2J11100L D16503 B0ECKP000047 D16521 B0ECKP000047 D16583 LNJ301MPUJA C0JBAA000377 IC16472 1 IN_B 2 IN_A 3 GND 5 VCC 4 OUT_Y IC16581 C0BBBA000024 1 A_OUTPUT 2 A_-INPUT 3 A_+INPUT 4 GND 5 B_+INPUT 6 B_-INPUT 7 B_OUTPUT 8 VCC C0ZBZ0000895 IC16501 1 LO 2 GND 3 VCC 4 NC 5 NC 6 VS 7 VB 8 HO 9 NC 10 NC 11 NC 12 HIN 13 NC 14 LIN 15 GND 16 NC C0ZBZ0001324 IC16521 1 LO 2 Vcom 3 VCC2 4 NC 5 NC 6 VS 7 VB 8 HO 9 NC 10 NC 11 VCC 12 HIN 13 NC 14 LIN 15 GND 16 NC SC2 1 3 SOS7_SC2 15V 5V 5V 15V SOS7_SC2 MAIN_STOP VSUS 15V VF_GND 15V VSUS VSUS 5V MAIN_STOP 15V ZA16401 K4CD01000011 ZA16402 K4CD01000011 TP17 TP2 TP12 TP11 TP32 TP21 TP24 TP22 TP23 TP27 TP37 TP74 TP18 TP3 TP5 TP35 TP14 TP19 TP16 TP25 TP38 TP70 TP39 TP13 TP30 TP52 TP10 TP73 TP7 TP4 TP1 TP71 TP72 TP29 TP28 TP26 TP15 TP34 TP36 TP20 TP33 TP9 TP6 TP8 TP31 Q16531 B1ABRD000003 Q16551 B1ABRD000003 Q16552 B1ADRD000001 Q16532 B1ADRD000001 R16564 EXB38V470JV R16567 EXB38V472JV R16563 EXB38V470JV R16566 EXB38V472JV R16591 EXB38V472JV R16561 EXB38V470JV R16565 EXB38V472JV R16568 EXB38V472JV R16562 EXB38V470JV R16533 47k R16583 39k R16468 82k 75 R16504 R16593 1.2k R16522 100 R16582 39k R16465 27k R16509 1 R16592 4.7k R16466 56k R16476 4.7k R16501 100 R16531 10 R16510 1 R16421 7.5 R16511 47k R16508 1 *R16402 7.5 R16451 5.6 R16580 2.2k 75 R16523 R16521 100 R16587 2.2k R16586 1.8k R16584 8.2k R16506 10 R16507 1 R16516 47k R16401 7.5 R16503 10 *R16403 7.5 R16552 47k R16585 1k R16467 82k R16590 220 R16475 4.7k R16517 47k R16512 47k R16422 7.5 R16588 10k R16532 47k R16553 47k R16551 10 R16502 100 *R16441 5.6 L16591 G0ZZ00002183 ZA16403 K4CD01000011 ZA16421 TUXJ490 ZA16422 TUXJ490 ZA16412 TUXJ490 ZA16411 TUXJ490 TP82 C16414 250V 2.2u TP90 TP91 TP92 TP93 *C16411 220V 250u *C16633 250V 4u *C16635 250V 4u *C16634 250V 4u C0JBAZ002811 IC16561 1G 1 2 1A1 3 2Y4 4 1A2 5 2Y3 6 1A3 7 2Y2 8 1A4 9 2Y1 10 GND 11 2A1 12 1Y4 13 2A2 14 1Y3 15 2A3 16 1Y2 17 2A4 18 1Y1 19 2G 20 VCC C0JBAZ002811 IC16562 1G 1 2 1A1 3 2Y4 4 1A2 5 2Y3 6 1A3 7 2Y2 8 1A4 9 2Y1 10 GND 11 2A1 12 1Y4 13 2A2 14 1Y3 15 2A3 16 1Y2 17 2A4 18 1Y1 19 2G 20 VCC *Q16451 B1JAEP000003 *Q16441 B1JAEN000003 Q16501 B1HFPFA00001 Q16521 B1HFPFA00001 SC20 1 2 3 4 5 6 7 8 9 10 11 12 13 14 15 16 17 18 19 20 21 22 23 24 25 26 27 28 29 30 *D16461 MA3DF46000LW *D16462 MA3DF46000LW TP46 *C16412 220V 250u *D16401 B0FBCN000005 *D16402 B0FBCN000005 *D16421 MA3DF40000LW *D16482 B0FBCN000005 *D16481 B0FBCN000005 *Q16401 B1JAEN000002 G D S *Q16402 B1JAEN000002 *Q16403 B1JAEN000002 *Q16421 B1JAEP000002 *Q16422 B1JAEP000002 Q16581 B1ABCF000231 *L16404 G0C1R4KA0118 *L16402 G0C1R4KA0118 *L16401 G0C1R4KA0118 *L16412 G0C1R4KA0118 *L16411 G0C1R4KA0118 *L16414 G0C1R4KA0118 GND Vsus SC42 TPVSUS GND P5V +15V +15V +15V NC GND GND GND (OC2B) GND GND CMH CML CSH CSL SC_DRV_RST CERS CEL SOS7_SC2 SOS6_SC1 LAT(CQR) CPH1 OC2 SCSU SID SIU CLK CPH2 OC1 (GREEN LED) SC41 SC46 TPSOS7 TPSOS6 VSUS:185V 2 3 A 6 E D 4 8 B 1 F 5 9 C 7 TO D-BOARD (D20) TO P-BOARD (P2) BUFFER BUFFER COMPARATOR AND 50V OR LESS OPERATES AT 124V OR MORE FET DRIVER ENERGY RECOVERY Vsus Gen. FET DRIVER AND GATE 1 2 3 4 5 ! SC-BOARD TXNSC1RQTC (1/3) TH-50PH11CK SC-Board (1 of 3) Schematic Diagram TH-50PH11CK SC-Board (1 of 3) Schematic Diagram 75 12.31.SC 电路板 (2/3) 线路图 + + + + AA_CPH2 AA_CEL AA_CERS AA_SCSU AA_CPH1 AA_CSL AA_DRV_RST C16724 25V 4.7u C16756 25V 4.7u C16708 50V 0.1u C16753 25V 4.7u C16723 25V 4.7u C16752 25V 1u C16606 630V 4700p C16755 25V 4.7u C16605 630V 4700p C16812 25V 4.7u C16641 1u 250V C16775 25V 4.7u C16725 25V 4.7u C16771 16V 1u C16773 25V 4.7u C16472 25V 1u C16608 50V 220p C16721 50V 100u C16806 160V 100u D16765 B0ECKP000047 D16660 B0HCMR000002 D16478 B0HCKS000002 D16607 MA2J11100L D16606 B0HCMM000014 D16766 B0ECKP000047 D16764 B0HCKS000002 D16642 B0HCKS000002 D16667 MA2J11100L D16497 B0ECKP000047 D16644 B0HCKS000002 D16619 B0ECKP000047 *D16618 B0ECKP000047 D16604 MA2J11100L D16609 MA2J11100L D16763 B0ECKP000047 D16641 B0HCKS000002 D16721 B0HCKS000002 D16669 MA2J11100L D16661 MA2J11100L D16473 MA3X152D0L D16668 MA3X152D0L *D16621 B0HDSM000006 D16622 B0HDSM000006 *D16601 MA3X152E0L *D16623 B0HDSM000006 D16665 MAZ80510LL D16602 MAZ81500ML *D16608 MAZ81200ML D16632 MAZ82400ML D16771 MAZ80510LL D16631 MAZ82400ML D16663 MAZ83300ML D16662 MAZ83300ML D16817 MAZ80680HL D16605 MAZ80510LL D16475 MAZ80510LL C0DBEKA00003 IC16471 1 NC 2 A 3 K 5 A 4 REF IC16772 C0ZBZ0001325 1 Vcc 2 IN 3 GND 4 LO 5 NC 6 VS 7 HO 8 VB C0ZBZ0001324 IC16752 1 LO 2 Vcom 3 VCC2 4 NC 5 NC 6 VS 7 VB 8 HO 9 NC 10 NC 11 VCC 12 HIN 13 NC 14 LIN 15 GND 16 NC IC16725 C0CBADC00072 VIN 3 2 COM VOUT 1 IC16724 C0CBADC00072 VIN 3 2 COM VOUT 1 5V_F_B VAD 5V VSET2 VAD 16V_F 15V SCNR_PRO CHA 15V_F 15V_F 16V_F VSCN_F_DET 5V_F_A 5V_F_A 15V 16V_F 16V_F VSUS VSET VSET2_O 15V_F PC16480 B3PBA0000223 1 2 3 4 PC16710 B3PBA0000223 1 2 3 4 *PC16603 B3PBA0000223 1 2 3 4 *PC16601 B3PBA0000223 1 2 3 4 PC16705 B3PBA0000456 1 2 3 4 5 TP53 *Q16607 B1CBGD000001 Q16623 2SK399500L *Q16621 2SK399500L Q16622 2SK399500L Q16606 2SD0601AQL Q16602 2SD0601AQL Q16662 2SD0601AQL *Q16661 B1JAER000003 Q16663 2SB0709ASL *Q16605 2SB0709ASL Q16603 2SB0709ASL Q16762 B1ADNF000006 R16706 100 *R16621 220 R16609 1k *R16606 10k *R16604 330 *R16603 330 *R16602 1k R16479 10k *R16601 4.7k *R16600 10k R16639 1 R16661 1.8k R16761 10 R16480 4.7k R16657 6.8k R16669 4.7k R16670 47 R16671 47k R16659 220k R16605 1.8k 75 R16766 R16776 100 R16769 75 R16610 100k R16667 470 R16682 10 R16762 47k R16612 47 R16665 33 R16672 1k R16668 47k R16473 560 R16478 5.6k *R16644 33 R16638 1 *R16680 10 R16617 2.2k 1 R16768 R16658 100 R16781 47 R16681 10 R16474 1k R16771 1.8k R16778 1.8k 1 R16765 R16782 47k *R16633 22k R16634 470 R16472 2.2k R16660 220k R16707 470 R16622 220 R16471 3.9k R16608 1k R16663 10k R16705 100 *R16642 33 R16777 150 *R16641 33 *R16643 33 *R16645 33 R16623 220 R16717 2.2k D16664 MAZ83300ML R16664 1k R16675 1k R16666 100k D16670 B0HCMR000002 D16407 MA22D3900L C16666 50V 68p C16664 50V 68p C16665 50V 68p *R16635 10k *R16636 4.7k R16616 0 D16671 MA2J11100L D16610 MA2J11100L *R16858 1k C16795 25V 470u C16791 25V 220u *Q16601 B1DEET000002 G D S C16603 630V 1000p C16604 630V 1000p C16661 630V 1000p C16662 630V 1000p N0BF1FB00002 IC16791 1 GND 2 GND 3 VIN 4 VIN 7 COM 8 COM 9 VOUT *Q16604 B1CHPM000001 G D S Q16781 B1HFPFA00001 Q16664 B1HFPFA00001 *R16613 100k *R16611 47k *D16816 MAZ80510LL *R16632 10k TP97 *PC16602 B3PBA0000443 1 2 3 4 R16607 6.65k *R16615 1.13k D16659 B0HCMM000014 *Q16641 2SK4175000LZ *Q16645 2SK4175000LZ *Q16644 2SK4175000LZ *Q16642 2SK4175000LZ *Q16643 2SK4175000LZ VR16602 3k 1 2 3 R16662 3.6k Q16471 B1ABCF000231 *Q16608 B1ABCF000231 Q16665 B1ABCF000231 R16477 0 D16761 MA2J11100L D16725 MA2J11100L D16643 MA2J11100L VF_GND * * INIT-F 18 16 15 10 11 12 13 14 17 +5V(SC1) +5V(SC2) FET DRIVER VSET SEPARATE DC/DC CONV. FET DRIVER VAD SEPARATE 5 2 4 1 3 11 12 ! SC-BOARD TXNSC1RQTC (2/3) AND GATE FLOATING GND COLD COLD FLOATING GND COLD FLOATING GND TH-50PH11CK SC-Board (2 of 3) Schematic Diagram TH-50PH11CK SC-Board (2 of 3) Schematic Diagram 76 12.32.SC 电路板 (3/3) 线路图 + + + + + + AA_OC1 AA_CLK AA_OC2 AA_SIU C16861 4700p 50V C16869 50V 0.1u C16868 0.1u 16V C16857 4700p 50V C16867 4700p 50V C16862 0.1u 16V C16823 5600p 630V C16832 50V 3900p C16858 0.1u 16V C16863 50V 0.01u C16864 0.1u 50V C16855 16V 1u C16821 0.1u 50V C16842 160V 100u C16691 160V 100u D16839 B0ECKP000047 D16837 MA2J11100L D16718 MA2J11100L D16860 B0HCKS000002 D16875 MA2J11100L D16720 B0ECKP000047 D16719 B0ECKP000047 D16822 MA2J11100L D16722 MA2J11100L D16713 B0HCMR000002 D16711 B0HCMR000002 D16715 B0HCMR000002 D16820 MA3X152E0L D16710 MAZ81500ML D16838 B0BC027A0234 D16714 MAZ81500ML D16830 MAZ80560HL D16874 MAZ80510LL D16862 MAZ83300ML D16821 MAZ82000ML D16712 MAZ81500ML D16861 MAZ83300ML D16717 MAZ83300ML D16836 MAZ81500ML SC30 1 2 3 4 5 6 7 8 VSUS VSCN_F VSUS VSCN_F 5V VSET SCNR_PRO VSET2_O 5V_F_A VAD SOS7_SC2 CHA 15V_F 5V_F_A VSCN VSCN_F VF_GND SOS7_SC2 5V VF_GND 5V SOS7_SC2 VSCN 5V_F_B PC16896 B3PBA0000223 1 2 3 4 TP44 TP43 TP57 TP56 TP59 TP64 TP55 TP51 TP63 TP41 TP42 TP54 TP58 TP62 TP60 TP61 Q16874 B1CBGD000001 Q16805 2SC3063000RL Q16806 2SC1473AEA R16887 220k R16873 2.49k R16749 10k R16734 4.99k R16850 4.7k R16844 1.24k R16871 3.9k R16704 10k R16701 10k R16886 220k R16872 3.3k R16852 10k R16794 200k R16888 220k R16757 0 R16775 4.7k R16702 3.3k R16735 221k R16733 470k R16736 221k R16703 10k R16856 56 R16700 4.7k R16732 3.9k R16731 82k R16860 8.2 R16855 10k R16857 120k R16740 100k R16696 2.2 R16744 200k R16738 82k R16730 47k R16851 100k R16795 200k R16729 47k R16796 56k R16752 4.7k R16875 71.5k R16874 71.5k *R16774 68k R16870 33k R16753 47k VR16600 50k 1 2 3 *C16822 400V 47u L16472 G0ZZ00002183 L16801 G0ZZ00002183 D16824 MAZ83300ML Q16814 B1ABCN000007 R16785 82k R16786 82k R16787 33k R16824 33k R16822 82k PC16897 B3PBA0000223 1 2 3 4 Q16815 B1ABCN000007 R16823 82k D16825 MAZ83300ML VSCN TP65 TP66 R16827 0 TP79 TP78 TP81 TP80 R16722 22 R16723 22 R16721 22 R16720 22 SC46 1 2 3 4 5 6 7 8 9 TP96 TP94 TP95 C16843 50V 0.1u C16844 50V 0.1u 250u 220V *C16419 C16813 160V 100u MIP9L02MBS IC16784 1 SOURCE 2 BY 3 FB 5 VCC 6 GND 7 V01 8 VOUT 10 DRAIN MIP9L02MBS IC16786 1 SOURCE 2 BY 3 FB 5 VCC 6 GND 7 V01 8 VOUT 10 DRAIN MIP9L02MBS IC16788 1 SOURCE 2 BY 3 FB 5 VCC 6 GND 7 V01 8 VOUT 10 DRAIN R16789 10k Q16816 2SD0601AQL R16826 10k Q16817 2SD0601AQL SC41 1 2 3 4 5 6 7 8 9 10 11 12 13 14 15 16 17 18 19 20 21 22 23 250u 220V *C16418 SC42 1 2 3 4 5 6 7 8 9 10 11 12 13 14 15 16 17 18 19 20 21 22 23 C16856 1u 10V C16860 1u 10V C16866 1u 10V R16756 22k R16750 22k R16751 220k D16859 B0HCKS000002 C0DBEYY00078 IC16787 1 NC 2 ANODE 3 NC 5 REFERENCE 4 CATHODE C0DBEYY00078 IC16789 1 NC 2 ANODE 3 NC 5 REFERENCE 4 CATHODE G0C102KA0187 L16697 L16698 680u L16699 330u R16825 150k R16788 150k *R16846 60.4k *D16871 MAZ82400ML *R16737 200k *R16845 62k Q16873 B1ABCF000231 Q16875 B1ABCF000231 Q16876 B1ABCF000231 Q16879 B1ABCF000231 Q16872 2SB0709A0L Q16871 2SB0709A0L *D16873 MAZ82000ML R16838 56k R16841 56k * * * * * TPSC1 TPVSET TPVAD TPVSCN VSET:330V 27 26 22 19 23 25 24 21 20 VAD:-149V Vscn Vfo VF5V Vf Vf Vf Vf Vscn Vfo OPERATES AT 395V OR MORE VSET DET ERROR DET VSET OUT ERROR DET VSET OUT VAD GEN. VSCN GEN. VSCN GEN. TO (SU41) SU-BOARD SD-BOARD (SD42) TO (SD46) TO SD-BOARD 12 11 ! SC-BOARD TXNSC1RQTC (3/3) USE FOR FACTROY VSCN:Vad+145V TH-50PH11CK SC-Board (3 of 3) Schematic Diagram TH-50PH11CK SC-Board (3 of 3) Schematic Diagram 77 12.33.SU 电路板 (1/2) 线路图 SIDE TERM TERM SIDE TERM SIDE AB_766 AB_765 AB_764 AB_763 AB_762 AB_761 AB_760 AB_759 AB_758 AB_757 AB_756 AB_755 AB_754 AB_753 AB_752 AB_751 AB_750 AB_749 AB_748 AB_747 AB_746 AB_745 AB_744 AB_742 AB_743 AB_741 AB_739 AB_740 AC_702 AC_701 AC_700 AC_699 AC_698 AC_697 AC_696 AC_695 AC_694 AC_693 AC_692 AC_691 AC_690 AC_689 AC_688 AC_687 AC_686 AC_685 AC_684 AC_683 AC_682 AC_681 AC_680 AC_678 AC_679 AC_677 AC_675 AC_676 AD_638 AD_637 AD_636 AD_635 AD_634 AD_633 AD_632 AD_631 AD_630 AD_629 AD_628 AD_627 AD_626 AD_625 AD_624 AD_623 AD_622 AD_621 AD_620 AD_619 AD_618 AD_617 AD_616 AD_614 AD_615 AD_613 AD_611 AD_612 AB_705 AB_707 AB_709 AB_711 AB_713 AB_715 AB_717 AB_719 AB_721 AB_723 AB_725 AB_727 AB_729 AB_731 AB_733 AB_735 AB_737 AB_739 AB_741 AB_743 AB_745 AB_747 AB_749 AB_751 AB_753 AB_755 AB_757 AB_759 AB_761 AB_763 AB_767 AB_765 AB_706 AB_708 AB_710 AB_712 AB_714 AB_716 AB_718 AB_720 AB_722 AB_724 AB_726 AB_728 AB_730 AB_732 AB_734 AB_736 AB_738 AB_740 AB_742 AB_744 AB_746 AB_748 AB_750 AB_752 AB_754 AB_756 AB_758 AB_760 AB_762 AB_764 AB_768 AB_766 AC_641 AC_643 AC_645 AC_647 AC_649 AC_651 AC_653 AC_655 AC_657 AC_659 AC_661 AC_663 AC_665 AC_667 AC_671 AC_669 AC_673 AC_675 AC_677 AC_679 AC_681 AC_683 AC_685 AC_687 AC_689 AC_691 AC_693 AC_695 AC_697 AC_699 AC_703 AC_701 AC_642 AC_644 AC_646 AC_648 AC_650 AC_652 AC_654 AC_656 AC_658 AC_660 AC_662 AC_664 AC_666 AC_668 AC_670 AC_674 AC_676 AC_678 AC_680 AC_682 AC_684 AC_686 AC_688 AC_690 AC_692 AC_694 AC_696 AC_698 AC_700 AC_704 AC_702 AD_577 AD_579 AD_581 AD_583 AD_585 AD_587 AD_589 AD_591 AD_593 AD_595 AD_597 AD_599 AD_601 AD_603 AD_605 AD_607 AD_609 AD_611 AD_613 AD_615 AD_617 AD_619 AD_621 AD_623 AD_625 AD_627 AD_629 AD_633 AD_631 AD_635 AD_637 AD_639 AD_578 AD_580 AD_584 AD_586 AD_588 AD_590 AD_592 AD_594 AD_596 AD_598 AD_600 AD_602 AD_604 AD_606 AD_608 AD_610 AD_612 AD_614 AD_616 AD_618 AD_620 AD_622 AD_624 AD_626 AD_628 AD_630 AD_632 AD_634 AD_636 AD_640 AD_638 AB_768 AB_767 AC_703 AC_704 AD_639 AD_582 AC_672 AB_705 AB_706 AB_707 AB_708 AB_709 AB_710 AB_711 AB_712 AB_713 AB_714 AB_715 AB_716 AB_717 AB_718 AB_719 AB_720 AB_721 AB_722 AB_723 AB_724 AB_725 AB_726 AB_727 AB_728 AB_729 AB_730 AB_731 AB_732 AB_733 AB_734 AB_735 AB_736 AB_738 AB_737 AC_641 AC_642 AC_643 AC_644 AC_645 AC_646 AC_647 AC_648 AC_649 AC_650 AC_651 AC_652 AC_653 AC_654 AC_655 AC_656 AC_657 AC_658 AC_659 AC_660 AC_661 AC_662 AC_663 AC_664 AC_665 AC_666 AC_667 AC_668 AC_669 AC_670 AC_671 AC_672 AC_674 AC_673 AD_577 AD_578 AD_579 AD_580 AD_581 AD_582 AD_583 AD_584 AD_585 AD_586 AD_587 AD_588 AD_589 AD_590 AD_591 AD_592 AD_593 AD_594 AD_595 AD_596 AD_597 AD_598 AD_599 AD_600 AD_602 AD_601 AD_603 AD_604 AD_605 AD_606 AD_607 AD_608 AD_610 AD_609 AA_SIU AA_SO1 AA_SO1 AA_SO2 AA_SO3 AA_SO2 AA_CLKU1 AA_OC2U1 AA_CLKU1 AA_OC2U1 AA_CLKU1 AA_OC2U2 AA_CLKU2 AA_OC1U2 AA_OC2U1 AD_640 AA_OC1U1 AA_OC1U1 AA_OC1U1 AA_OC2U1 AA_CLKU2 AA_OC1U1 AA_LATU1 AA_LATU1 AA_LATU1 AA_LATU2 AA_OC1U1 AA_LATU1 AA_CLKU1 AA_OC2U1 AA_LATU1 AA_CLKU1 AA_OC2U1 AA_OC1U1 AA_LATU2 AA_OC2U2 AA_CLKU2 AA_OC1U2 AA_OC2U1 AA_OC2U2 AA_LATU1 AA_OC1U2 AA_CLKU1 AA_OC2U2 AA_LATU1 AA_LATU2 AA_SO6 AA_CHA AA_SIU OCM C14941 50V 220p C14902 16V 1u C14940 50V 1000p C14942 50V 220p C14904 16V 1u C14906 16V 1u C14939 50V 220p C14936 50V 220p C14938 50V 220p C14937 50V 220p C14901 50V 1000p C14931 50V 1000p C14933 250V 0.1u C14932 250V 0.1u C14907 630V 1000p D14910 MA2J11100L D14909 MA3X152E0L D14901 MAZ80560HL D14902 MAZ80560HL AN16081A-VT IC14903 1 OUT3 2 OUT4 3 OUT5 4 OUT6 5 OUT7 6 OUT8 7 OUT9 8 OUT10 9 OUT11 10 OUT12 11 OUT13 12 OUT14 13 OUT15 14 OUT16 15 OUT17 16 OUT18 17 OUT19 18 OUT20 19 OUT21 20 OUT22 21 OUT23 22 OUT24 23 OUT25 24 OUT26 25 OUT27 26 OUT28 27 OUT29 28 OUT30 29 OUT31 30 OUT32 31 N.C. 32 VDDH 33 VDDH 34 N.C. 35 GND 36 GND 37 GND 38 TEST 39 GND 40 GND 41 GND 42 N.C. 43 VDDH 44 VDDH 45 N.C. 46 OUT33 47 OUT34 48 OUT35 49 OUT36 50 OUT37 51 OUT38 52 OUT39 53 OUT40 54 OUT41 55 OUT42 56 OUT43 57 OUT44 58 OUT45 59 OUT46 60 OUT47 61 OUT48 62 OUT49 63 OUT50 64 OUT51 65 OUT52 66 OUT53 67 OUT54 68 OUT55 69 OUT56 70 OUT57 71 OUT58 72 OUT59 73 OUT60 74 OUT61 75 OUT62 76 OUT63 77 OUT64 78 N.C. 79 VDDH 80 VDDH 81 N.C. 82 GND 83 GND 84 DIR 85 SO 86 CLK 87 LAT 88 VDD 89 OC1 90 OC2 91 SI 92 CLR 93 GND 94 GND 95 N.C. 96 VDDH 97 VDDH 98 N.C. 99 OUT1 100 OUT2 AN16081A-VT IC14901 1 OUT3 2 OUT4 3 OUT5 4 OUT6 5 OUT7 6 OUT8 7 OUT9 8 OUT10 9 OUT11 10 OUT12 11 OUT13 12 OUT14 13 OUT15 14 OUT16 15 OUT17 16 OUT18 17 OUT19 18 OUT20 19 OUT21 20 OUT22 21 OUT23 22 OUT24 23 OUT25 24 OUT26 25 OUT27 26 OUT28 27 OUT29 28 OUT30 29 OUT31 30 OUT32 31 N.C. 32 VDDH 33 VDDH 34 N.C. 35 GND 36 GND 37 GND 38 TEST 39 GND 40 GND 41 GND 42 N.C. 43 VDDH 44 VDDH 45 N.C. 46 OUT33 47 OUT34 48 OUT35 49 OUT36 50 OUT37 51 OUT38 52 OUT39 53 OUT40 54 OUT41 55 OUT42 56 OUT43 57 OUT44 58 OUT45 59 OUT46 60 OUT47 61 OUT48 62 OUT49 63 OUT50 64 OUT51 65 OUT52 66 OUT53 67 OUT54 68 OUT55 69 OUT56 70 OUT57 71 OUT58 72 OUT59 73 OUT60 74 OUT61 75 OUT62 76 OUT63 77 OUT64 78 N.C. 79 VDDH 80 VDDH 81 N.C. 82 GND 83 GND 84 DIR 85 SO 86 CLK 87 LAT 88 VDD 89 OC1 90 OC2 91 SI 92 CLR 93 GND 94 GND 95 N.C. 96 VDDH 97 VDDH 98 N.C. 99 OUT1 100 OUT2 AN16081A-VT IC14902 1 OUT3 2 OUT4 3 OUT5 4 OUT6 5 OUT7 6 OUT8 7 OUT9 8 OUT10 9 OUT11 10 OUT12 11 OUT13 12 OUT14 13 OUT15 14 OUT16 15 OUT17 16 OUT18 17 OUT19 18 OUT20 19 OUT21 20 OUT22 21 OUT23 22 OUT24 23 OUT25 24 OUT26 25 OUT27 26 OUT28 27 OUT29 28 OUT30 29 OUT31 30 OUT32 31 N.C. 32 VDDH 33 VDDH 34 N.C. 35 GND 36 GND 37 GND 38 TEST 39 GND 40 GND 41 GND 42 N.C. 43 VDDH 44 VDDH 45 N.C. 46 OUT33 47 OUT34 48 OUT35 49 OUT36 50 OUT37 51 OUT38 52 OUT39 53 OUT40 54 OUT41 55 OUT42 56 OUT43 57 OUT44 58 OUT45 59 OUT46 60 OUT47 61 OUT48 62 OUT49 63 OUT50 64 OUT51 65 OUT52 66 OUT53 67 OUT54 68 OUT55 69 OUT56 70 OUT57 71 OUT58 72 OUT59 73 OUT60 74 OUT61 75 OUT62 76 OUT63 77 OUT64 78 N.C. 79 VDDH 80 VDDH 81 N.C. 82 GND 83 GND 84 DIR 85 SO 86 CLK 87 LAT 88 VDD 89 OC1 90 OC2 91 SI 92 CLR 93 GND 94 GND 95 N.C. 96 VDDH 97 VDDH 98 N.C. 99 OUT1 100 OUT2 SU11 1 2 3 4 5 6 7 8 9 10 11 12 13 14 15 16 17 18 19 20 SU2 A1 A2 A3 A4 A5 A6 A7 A8 A9 A10 A11 A12 A13 A14 A15 A16 A17 A18 A19 A20 A21 A22 A23 A24 A25 A26 A27 A28 A29 A30 A31 A32 A33 A34 A35 A36 A37 A38 A39 A40 A41 A42 A43 A44 A45 A46 A47 A48 B1 B2 B3 B4 B5 B6 B7 B8 B9 B10 B11 B12 B13 B14 B15 B16 B17 B18 B19 B20 B21 B22 B23 B24 B25 B26 B27 B28 B29 B30 B31 B32 B33 B34 B35 B36 B37 B38 B39 B40 B41 B42 B43 B44 B45 B46 B47 B48 SU1 A1 A2 A3 A4 A5 A6 A7 A8 A9 A10 A11 A12 A13 A14 A15 A16 A17 A18 A19 A20 A21 A22 A23 A24 A25 A26 A27 A28 A29 A30 A31 A32 A33 A34 A35 A36 A37 A38 A39 A40 A41 A42 A43 A44 A45 A46 A47 A48 B1 B2 B3 B4 B5 B6 B7 B8 B9 B10 B11 B12 B13 B14 B15 B16 B17 B18 B19 B20 B21 B22 B23 B24 B25 B26 B27 B28 B29 B30 B31 B32 B33 B34 B35 B36 B37 B38 B39 B40 B41 B42 B43 B44 B45 B46 B47 B48 R14914 10k R14923 10k R14924 10k R14916 10k R14909 22 R14913 10k R14910 22 R14901 100 R14925 10k R14902 220 R14911 10k R14903 220 R14917 22 R14927 22 R14920 22 R14915 22 R14919 22 R14908 22 R14926 10k R14907 22 R14921 220k R14912 10k Vf 1 2 5 A 7 8 B 4 F 3 E 9 C 6 D Vscn Vf5 Vf Vfo Vf Vf5 PDP SCAN DRIVER S/P 64bit 64bit PDP SCAN DRIVER S/P 64bit PDP SCAN DRIVER S/P TO SD-BOARD (SD11) UP To 2nd 96pins of SCAN ELECTRODES SCAN ELECTRODES To 1st 96pins of SU-BOARD TXNSU1RQTC (1/2) ! 1 2 3 4 5 6 7 TH-50PH11CK SU-Board (1 of 2) Schematic Diagram TH-50PH11CK SU-Board (1 of 2) Schematic Diagram 78 12.34.SU 电路板 (2/2) 线路图 TERM SIDE TERM SIDE AE_574 AE_573 AE_572 AE_571 AE_570 AE_569 AE_568 AE_567 AE_566 AE_565 AE_564 AE_563 AE_562 AE_561 AE_560 AE_559 AE_558 AE_557 AE_556 AE_555 AE_554 AE_553 AE_552 AE_550 AE_551 AE_549 AE_547 AE_548 AF_510 AF_509 AF_508 AF_507 AF_506 AF_505 AF_504 AF_503 AF_502 AF_501 AF_500 AF_499 AF_498 AF_497 AF_496 AF_495 AF_494 AF_493 AF_492 AF_491 AF_490 AF_489 AF_488 AF_486 AF_487 AF_485 AF_483 AF_484 AG_446 AG_445 AG_444 AG_443 AG_442 AG_441 AG_440 AG_439 AG_438 AG_437 AG_436 AG_435 AG_434 AG_433 AG_432 AG_431 AG_430 AG_429 AG_428 AG_427 AG_426 AG_425 AG_424 AG_422 AG_423 AG_421 AG_419 AG_420 AE_513 AE_515 AE_517 AE_519 AE_521 AE_523 AE_525 AE_527 AE_529 AE_531 AE_533 AE_535 AE_537 AE_539 AE_541 AE_543 AE_545 AE_547 AE_549 AE_551 AE_553 AE_555 AE_557 AE_559 AE_561 AE_563 AE_565 AE_567 AE_569 AE_571 AE_575 AE_573 AE_514 AE_516 AE_518 AE_520 AE_522 AE_524 AE_526 AE_528 AE_530 AE_532 AE_534 AE_536 AE_538 AE_540 AE_542 AE_544 AE_546 AE_548 AE_550 AE_552 AE_554 AE_556 AE_558 AE_560 AE_562 AE_564 AE_566 AE_568 AE_570 AE_572 AE_576 AE_574 AF_449 AF_451 AF_453 AF_455 AF_457 AF_459 AF_461 AF_463 AF_465 AF_467 AF_469 AF_471 AF_473 AF_475 AF_479 AF_477 AF_481 AF_483 AF_485 AF_487 AF_489 AF_491 AF_493 AF_495 AF_497 AF_499 AF_501 AF_503 AF_505 AF_507 AF_511 AF_509 AF_450 AF_452 AF_454 AF_456 AF_458 AF_460 AF_462 AF_464 AF_466 AF_468 AF_470 AF_472 AF_474 AF_476 AF_478 AF_482 AF_484 AF_486 AF_488 AF_490 AF_492 AF_494 AF_496 AF_498 AF_500 AF_502 AF_504 AF_506 AF_508 AF_512 AF_510 AG_385 AG_387 AG_389 AG_391 AG_393 AG_395 AG_397 AG_399 AG_401 AG_403 AG_405 AG_407 AG_409 AG_411 AG_413 AG_415 AG_417 AG_419 AG_421 AG_423 AG_425 AG_427 AG_429 AG_431 AG_433 AG_435 AG_437 AG_439 AG_441 AG_443 AG_445 AG_447 AG_386 AG_388 AG_390 AG_392 AG_394 AG_396 AG_398 AG_400 AG_402 AG_404 AG_406 AG_408 AG_410 AG_412 AG_414 AG_416 AG_418 AG_420 AG_422 AG_424 AG_426 AG_428 AG_430 AG_432 AG_434 AG_436 AG_438 AG_440 AG_442 AG_444 AG_448 AG_446 AE_576 AE_575 AF_511 AF_512 AG_448 AG_447 AF_480 AE_514 AE_515 AE_516 AE_517 AE_518 AE_519 AE_520 AE_521 AE_522 AE_523 AE_524 AE_525 AE_526 AE_527 AE_528 AE_529 AE_530 AE_531 AE_532 AE_533 AE_534 AE_535 AE_536 AE_537 AE_538 AE_539 AE_540 AE_541 AE_542 AE_543 AE_544 AE_546 AE_545 AF_449 AF_450 AF_451 AF_452 AF_453 AF_454 AF_455 AF_456 AF_457 AF_458 AF_459 AF_460 AF_461 AF_462 AF_463 AF_464 AF_465 AF_466 AF_467 AF_468 AF_469 AF_470 AF_471 AF_472 AF_473 AF_474 AF_475 AF_476 AF_477 AF_478 AF_479 AF_480 AF_482 AF_481 AG_385 AG_386 AG_387 AG_388 AG_389 AG_390 AG_391 AG_392 AG_393 AG_394 AG_395 AG_396 AG_397 AG_398 AG_399 AG_400 AG_401 AG_402 AG_403 AG_404 AG_405 AG_406 AG_407 AG_408 AG_409 AG_410 AG_411 AG_412 AG_413 AG_414 AG_415 AG_416 AG_418 AG_417 AA_SO3 AA_SO4 AA_SO4 AA_SO5 AA_SO5 AA_CLKU2 AA_CLKU2 AA_OC2U2 AA_CLKU2 AA_OC2U2 AA_OC2U2 AE_513 AA_OC1U2 AA_OC1U2 AA_OC1U2 AA_LATU2 AA_LATU2 AA_LATU2 AA_SO6 AA_CHA C14912 16V 1u C14908 16V 1u C14910 16V 1u C14923 250V 0.1u C14924 250V 0.1u C14935 250V 0.1u C14934 250V 0.1u D14906 B0HCMM000013 D14905 B0HCMM000013 D14907 B0HCMM000013 AN16081A-VT IC14906 1 OUT3 2 OUT4 3 OUT5 4 OUT6 5 OUT7 6 OUT8 7 OUT9 8 OUT10 9 OUT11 10 OUT12 11 OUT13 12 OUT14 13 OUT15 14 OUT16 15 OUT17 16 OUT18 17 OUT19 18 OUT20 19 OUT21 20 OUT22 21 OUT23 22 OUT24 23 OUT25 24 OUT26 25 OUT27 26 OUT28 27 OUT29 28 OUT30 29 OUT31 30 OUT32 31 N.C. 32 VDDH 33 VDDH 34 N.C. 35 GND 36 GND 37 GND 38 TEST 39 GND 40 GND 41 GND 42 N.C. 43 VDDH 44 VDDH 45 N.C. 46 OUT33 47 OUT34 48 OUT35 49 OUT36 50 OUT37 51 OUT38 52 OUT39 53 OUT40 54 OUT41 55 OUT42 56 OUT43 57 OUT44 58 OUT45 59 OUT46 60 OUT47 61 OUT48 62 OUT49 63 OUT50 64 OUT51 65 OUT52 66 OUT53 67 OUT54 68 OUT55 69 OUT56 70 OUT57 71 OUT58 72 OUT59 73 OUT60 74 OUT61 75 OUT62 76 OUT63 77 OUT64 78 N.C. 79 VDDH 80 VDDH 81 N.C. 82 GND 83 GND 84 DIR 85 SO 86 CLK 87 LAT 88 VDD 89 OC1 90 OC2 91 SI 92 CLR 93 GND 94 GND 95 N.C. 96 VDDH 97 VDDH 98 N.C. 99 OUT1 100 OUT2 AN16081A-VT IC14905 1 OUT3 2 OUT4 3 OUT5 4 OUT6 5 OUT7 6 OUT8 7 OUT9 8 OUT10 9 OUT11 10 OUT12 11 OUT13 12 OUT14 13 OUT15 14 OUT16 15 OUT17 16 OUT18 17 OUT19 18 OUT20 19 OUT21 20 OUT22 21 OUT23 22 OUT24 23 OUT25 24 OUT26 25 OUT27 26 OUT28 27 OUT29 28 OUT30 29 OUT31 30 OUT32 31 N.C. 32 VDDH 33 VDDH 34 N.C. 35 GND 36 GND 37 GND 38 TEST 39 GND 40 GND 41 GND 42 N.C. 43 VDDH 44 VDDH 45 N.C. 46 OUT33 47 OUT34 48 OUT35 49 OUT36 50 OUT37 51 OUT38 52 OUT39 53 OUT40 54 OUT41 55 OUT42 56 OUT43 57 OUT44 58 OUT45 59 OUT46 60 OUT47 61 OUT48 62 OUT49 63 OUT50 64 OUT51 65 OUT52 66 OUT53 67 OUT54 68 OUT55 69 OUT56 70 OUT57 71 OUT58 72 OUT59 73 OUT60 74 OUT61 75 OUT62 76 OUT63 77 OUT64 78 N.C. 79 VDDH 80 VDDH 81 N.C. 82 GND 83 GND 84 DIR 85 SO 86 CLK 87 LAT 88 VDD 89 OC1 90 OC2 91 SI 92 CLR 93 GND 94 GND 95 N.C. 96 VDDH 97 VDDH 98 N.C. 99 OUT1 100 OUT2 AN16081A-VT IC14904 1 OUT3 2 OUT4 3 OUT5 4 OUT6 5 OUT7 6 OUT8 7 OUT9 8 OUT10 9 OUT11 10 OUT12 11 OUT13 12 OUT14 13 OUT15 14 OUT16 15 OUT17 16 OUT18 17 OUT19 18 OUT20 19 OUT21 20 OUT22 21 OUT23 22 OUT24 23 OUT25 24 OUT26 25 OUT27 26 OUT28 27 OUT29 28 OUT30 29 OUT31 30 OUT32 31 N.C. 32 VDDH 33 VDDH 34 N.C. 35 GND 36 GND 37 GND 38 TEST 39 GND 40 GND 41 GND 42 N.C. 43 VDDH 44 VDDH 45 N.C. 46 OUT33 47 OUT34 48 OUT35 49 OUT36 50 OUT37 51 OUT38 52 OUT39 53 OUT40 54 OUT41 55 OUT42 56 OUT43 57 OUT44 58 OUT45 59 OUT46 60 OUT47 61 OUT48 62 OUT49 63 OUT50 64 OUT51 65 OUT52 66 OUT53 67 OUT54 68 OUT55 69 OUT56 70 OUT57 71 OUT58 72 OUT59 73 OUT60 74 OUT61 75 OUT62 76 OUT63 77 OUT64 78 N.C. 79 VDDH 80 VDDH 81 N.C. 82 GND 83 GND 84 DIR 85 SO 86 CLK 87 LAT 88 VDD 89 OC1 90 OC2 91 SI 92 CLR 93 GND 94 GND 95 N.C. 96 VDDH 97 VDDH 98 N.C. 99 OUT1 100 OUT2 SU4 A1 A2 A3 A4 A5 A6 A7 A8 A9 A10 A11 A12 A13 A14 A15 A16 A17 A18 A19 A20 A21 A22 A23 A24 A25 A26 A27 A28 A29 A30 A31 A32 A33 A34 A35 A36 A37 A38 A39 A40 A41 A42 A43 A44 A45 A46 A47 A48 B1 B2 B3 B4 B5 B6 B7 B8 B9 B10 B11 B12 B13 B14 B15 B16 B17 B18 B19 B20 B21 B22 B23 B24 B25 B26 B27 B28 B29 B30 B31 B32 B33 B34 B35 B36 B37 B38 B39 B40 B41 B42 B43 B44 B45 B46 B47 B48 SU3 A1 A2 A3 A4 A5 A6 A7 A8 A9 A10 A11 A12 A13 A14 A15 A16 A17 A18 A19 A20 A21 A22 A23 A24 A25 A26 A27 A28 A29 A30 A31 A32 A33 A34 A35 A36 A37 A38 A39 A40 A41 A42 A43 A44 A45 A46 A47 A48 B1 B2 B3 B4 B5 B6 B7 B8 B9 B10 B11 B12 B13 B14 B15 B16 B17 B18 B19 B20 B21 B22 B23 B24 B25 B26 B27 B28 B29 B30 B31 B32 B33 B34 B35 B36 B37 B38 B39 B40 B41 B42 B43 B44 B45 B46 B47 B48 SU41 1 2 3 4 5 6 7 8 9 10 11 12 13 14 15 16 17 18 19 20 21 22 23 ZA14901 K4AD01Z00002 ZA14902 K4AD01Z00002 R14904 220 R14905 220 R14906 220 17 11 15 13 12 16 14 10 18 Vf5 Vf Vfo Vf Vscn Vf5 64bit PDP SCAN DRIVER S/P PDP SCAN DRIVER 64bit S/P S/P PDP SCAN DRIVER 64bit TO SC-BOARD (SC41) ! SCAN ELECTRODES To 4th 96pins of To 3rd 96pins of SU-BOARD TXNSU1RQTC (2/2) SCAN ELECTRODES UP 1 7 4 6 2 3 5 TH-50PH11CK SU-Board (2 of 2) Schematic Diagram TH-50PH11CK SU-Board (2 of 2) Schematic Diagram 79 12.35.SD 电路板 (1/2) 线路图 TERM SIDE TERM SIDE AB_382 AB_381 AB_380 AB_379 AB_378 AB_377 AB_376 AB_375 AB_374 AB_373 AB_372 AB_371 AB_370 AB_369 AB_368 AB_367 AB_366 AB_365 AB_364 AB_363 AB_362 AB_361 AB_360 AB_358 AB_359 AB_357 AB_355 AB_356 AC_318 AC_317 AC_316 AC_315 AC_314 AC_313 AC_312 AC_311 AC_310 AC_309 AC_308 AC_307 AC_306 AC_305 AC_304 AC_303 AC_302 AC_301 AC_300 AC_299 AC_298 AC_297 AC_296 AC_294 AC_295 AC_293 AC_291 AC_292 AD_254 AD_253 AD_252 AD_251 AD_250 AD_249 AD_248 AD_247 AD_246 AD_245 AD_244 AD_243 AD_242 AD_241 AD_240 AD_239 AD_238 AD_237 AD_236 AD_235 AD_234 AD_233 AD_232 AD_230 AD_231 AD_229 AD_227 AB_365 AB_367 AB_369 AB_371 AB_373 AB_375 AB_377 AB_379 AB_381 AB_383 AB_366 AB_368 AB_370 AB_372 AB_374 AB_376 AB_380 AB_382 AB_341 AB_343 AB_345 AB_347 AB_349 AB_351 AB_353 AB_355 AB_357 AB_359 AB_361 AB_363 AB_342 AB_344 AB_346 AB_348 AB_350 AB_352 AB_354 AB_356 AB_358 AB_360 AB_362 AB_364 AB_321 AB_323 AB_325 AB_327 AB_329 AB_331 AB_333 AB_335 AB_337 AB_339 AB_322 AB_324 AB_326 AB_328 AB_330 AB_332 AB_334 AB_336 AB_338 AB_340 AC_319 AC_317 AC_316 AC_320 AC_318 AB_384 AB_383 AC_293 AC_295 AC_297 AC_299 AC_301 AC_303 AC_305 AC_307 AC_309 AC_311 AC_313 AC_315 AC_294 AC_296 AC_298 AC_300 AC_302 AC_304 AC_306 AC_308 AC_310 AC_312 AC_314 AC_281 AC_283 AC_287 AC_285 AC_282 AC_284 AC_288 AC_286 AC_289 AC_291 AC_257 AC_259 AC_261 AC_263 AC_265 AC_267 AC_269 AC_271 AC_273 AC_275 AC_277 AC_279 AC_258 AC_260 AC_262 AC_264 AC_266 AC_268 AC_270 AC_272 AC_274 AC_276 AC_278 AC_280 AD_256 AC_320 AC_319 AD_254 AD_252 AD_250 AD_248 AD_246 AD_244 AD_242 AD_240 AD_238 AD_236 AD_234 AD_232 AD_253 AD_255 AD_251 AD_249 AD_247 AD_245 AD_243 AD_241 AD_239 AD_237 AD_235 AD_233 AD_230 AD_228 AD_226 AD_224 AD_222 AD_220 AD_218 AD_216 AD_214 AD_212 AD_210 AD_208 AD_231 AD_229 AD_227 AD_225 AD_223 AD_221 AD_219 AD_217 AD_215 AD_213 AD_211 AD_209 AD_206 AD_204 AD_202 AD_200 AD_198 AD_196 AD_194 AD_207 AD_205 AD_203 AD_201 AD_199 AD_197 AD_195 AD_193 AD_256 AD_255 AB_378 AB_384 AC_292 AC_290 AB_321 AB_323 AB_324 AB_325 AB_326 AB_327 AB_328 AB_329 AB_330 AB_331 AB_332 AB_333 AB_334 AB_335 AB_336 AB_337 AB_338 AB_339 AB_340 AB_341 AB_342 AB_343 AB_344 AB_345 AB_346 AB_322 AB_347 AB_348 AB_349 AB_350 AB_351 AB_352 AB_353 AB_354 AC_258 AC_259 AC_260 AC_261 AC_262 AC_263 AC_264 AC_265 AC_266 AC_267 AC_268 AC_269 AC_270 AC_271 AC_272 AC_273 AC_274 AC_275 AC_276 AC_277 AC_278 AC_279 AC_280 AC_281 AC_282 AC_283 AC_284 AC_285 AC_286 AC_287 AC_288 AC_289 AC_290 AD_193 AD_194 AD_195 AD_196 AD_197 AD_198 AD_199 AD_200 AD_201 AD_202 AD_203 AD_204 AD_205 AD_206 AD_207 AD_208 AD_209 AD_210 AD_211 AD_212 AD_213 AD_214 AD_215 AD_216 AD_217 AD_218 AD_219 AD_220 AD_221 AD_222 AD_223 AD_224 AD_226 AD_225 AD_228 AA_SO7 AA_CLKD1 AA_OC2D1 AA_CLKD1 AA_OC2D1 AA_CLKD1 AA_OC2D1 AA_SO9 AA_SO7 AA_SO8 AA_SO8 AA_SO6 AC_257 AA_OC1D1 AA_OC1D1 AA_OC1D1 AA_LATD1 AA_LATD1 AA_LATD1 C14975 250V 0.1u C14957 16V 1u C14955 16V 1u C14952 16V 1u C14974 250V 0.1u C14977 250V 0.1u C14984 250V 0.1u C14978 250V 0.1u C14985 250V 0.1u C14350 630V 1000p D14953 B0HCMM000013 D14957 B0HCMM000013 D14956 B0HCMM000013 AN16081A-VT IC14951 1 OUT3 2 OUT4 3 OUT5 4 OUT6 5 OUT7 6 OUT8 7 OUT9 8 OUT10 9 OUT11 10 OUT12 11 OUT13 12 OUT14 13 OUT15 14 OUT16 15 OUT17 16 OUT18 17 OUT19 18 OUT20 19 OUT21 20 OUT22 21 OUT23 22 OUT24 23 OUT25 24 OUT26 25 OUT27 26 OUT28 27 OUT29 28 OUT30 29 OUT31 30 OUT32 31 N.C. 32 VDDH 33 VDDH 34 N.C. 35 GND 36 GND 37 GND 38 TEST 39 GND 40 GND 41 GND 42 N.C. 43 VDDH 44 VDDH 45 N.C. 46 OUT33 47 OUT34 48 OUT35 49 OUT36 50 OUT37 51 OUT38 52 OUT39 53 OUT40 54 OUT41 55 OUT42 56 OUT43 57 OUT44 58 OUT45 59 OUT46 60 OUT47 61 OUT48 62 OUT49 63 OUT50 64 OUT51 65 OUT52 66 OUT53 67 OUT54 68 OUT55 69 OUT56 70 OUT57 71 OUT58 72 OUT59 73 OUT60 74 OUT61 75 OUT62 76 OUT63 77 OUT64 78 N.C. 79 VDDH 80 VDDH 81 N.C. 82 GND 83 GND 84 DIR 85 SO 86 CLK 87 LAT 88 VDD 89 OC1 90 OC2 91 SI 92 CLR 93 GND 94 GND 95 N.C. 96 VDDH 97 VDDH 98 N.C. 99 OUT1 100 OUT2 AN16081A-VT IC14953 1 OUT3 2 OUT4 3 OUT5 4 OUT6 5 OUT7 6 OUT8 7 OUT9 8 OUT10 9 OUT11 10 OUT12 11 OUT13 12 OUT14 13 OUT15 14 OUT16 15 OUT17 16 OUT18 17 OUT19 18 OUT20 19 OUT21 20 OUT22 21 OUT23 22 OUT24 23 OUT25 24 OUT26 25 OUT27 26 OUT28 27 OUT29 28 OUT30 29 OUT31 30 OUT32 31 N.C. 32 VDDH 33 VDDH 34 N.C. 35 GND 36 GND 37 GND 38 TEST 39 GND 40 GND 41 GND 42 N.C. 43 VDDH 44 VDDH 45 N.C. 46 OUT33 47 OUT34 48 OUT35 49 OUT36 50 OUT37 51 OUT38 52 OUT39 53 OUT40 54 OUT41 55 OUT42 56 OUT43 57 OUT44 58 OUT45 59 OUT46 60 OUT47 61 OUT48 62 OUT49 63 OUT50 64 OUT51 65 OUT52 66 OUT53 67 OUT54 68 OUT55 69 OUT56 70 OUT57 71 OUT58 72 OUT59 73 OUT60 74 OUT61 75 OUT62 76 OUT63 77 OUT64 78 N.C. 79 VDDH 80 VDDH 81 N.C. 82 GND 83 GND 84 DIR 85 SO 86 CLK 87 LAT 88 VDD 89 OC1 90 OC2 91 SI 92 CLR 93 GND 94 GND 95 N.C. 96 VDDH 97 VDDH 98 N.C. 99 OUT1 100 OUT2 AN16081A-VT IC14952 1 OUT3 2 OUT4 3 OUT5 4 OUT6 5 OUT7 6 OUT8 7 OUT9 8 OUT10 9 OUT11 10 OUT12 11 OUT13 12 OUT14 13 OUT15 14 OUT16 15 OUT17 16 OUT18 17 OUT19 18 OUT20 19 OUT21 20 OUT22 21 OUT23 22 OUT24 23 OUT25 24 OUT26 25 OUT27 26 OUT28 27 OUT29 28 OUT30 29 OUT31 30 OUT32 31 N.C. 32 VDDH 33 VDDH 34 N.C. 35 GND 36 GND 37 GND 38 TEST 39 GND 40 GND 41 GND 42 N.C. 43 VDDH 44 VDDH 45 N.C. 46 OUT33 47 OUT34 48 OUT35 49 OUT36 50 OUT37 51 OUT38 52 OUT39 53 OUT40 54 OUT41 55 OUT42 56 OUT43 57 OUT44 58 OUT45 59 OUT46 60 OUT47 61 OUT48 62 OUT49 63 OUT50 64 OUT51 65 OUT52 66 OUT53 67 OUT54 68 OUT55 69 OUT56 70 OUT57 71 OUT58 72 OUT59 73 OUT60 74 OUT61 75 OUT62 76 OUT63 77 OUT64 78 N.C. 79 VDDH 80 VDDH 81 N.C. 82 GND 83 GND 84 DIR 85 SO 86 CLK 87 LAT 88 VDD 89 OC1 90 OC2 91 SI 92 CLR 93 GND 94 GND 95 N.C. 96 VDDH 97 VDDH 98 N.C. 99 OUT1 100 OUT2 SD2 A1 A2 A3 A4 A5 A6 A7 A8 A9 A10 A11 A12 A13 A14 A15 A16 A17 A18 A19 A20 A21 A22 A23 A24 A25 A26 A27 A28 A29 A30 A31 A32 A33 A34 A35 A36 A37 A38 A39 A40 A41 A42 A43 A44 A45 A46 A47 A48 B1 B2 B3 B4 B5 B6 B7 B8 B9 B10 B11 B12 B13 B14 B15 B16 B17 B18 B19 B20 B21 B22 B23 B24 B25 B26 B27 B28 B29 B30 B31 B32 B33 B34 B35 B36 B37 B38 B39 B40 B41 B42 B43 B44 B45 B46 B47 B48 SD1 A1 A2 A3 A4 A5 A6 A7 A8 A9 A10 A11 A12 A13 A14 A15 A16 A17 A18 A19 A20 A21 A22 A23 A24 A25 A26 A27 A28 A29 A30 A31 A32 A33 A34 A35 A36 A37 A38 A39 A40 A41 A42 A43 A44 A45 A46 A47 A48 B1 B2 B3 B4 B5 B6 B7 B8 B9 B10 B11 B12 B13 B14 B15 B16 B17 B18 B19 B20 B21 B22 B23 B24 B25 B26 B27 B28 B29 B30 B31 B32 B33 B34 B35 B36 B37 B38 B39 B40 B41 B42 B43 B44 B45 B46 B47 B48 R14986 220k R14953 220 R14952 220 R14980 220 Vfo 3 D 2 C 1 5 8 4 B F E 9 6 7 A S/P 64bit PDP SCAN DRIVER S/P 64bit PDP SCAN DRIVER S/P 64bit PDP SCAN DRIVER Vf5 Vf Vf Vscn DOWN To 2nd 96pins of SCAN ELECTRODES SCAN ELECTRODES To 1st 96pins of SD-BOARD TXNSD1RQTC (1/2) ! 1 2 3 4 5 6 TH-50PH11CK SD-Board (1 of 2) Schematic Diagram TH-50PH11CK SD-Board (1 of 2) Schematic Diagram 80 12.36.SD 电路板 (2/2) 线路图 SIDE TERM TERM SIDE TERM SIDE AE_190 AE_189 AE_188 AE_187 AE_186 AE_185 AE_184 AE_183 AE_182 AE_181 AE_180 AE_179 AE_178 AE_177 AE_176 AE_175 AE_174 AE_173 AE_172 AE_171 AE_170 AE_169 AE_168 AE_166 AE_167 AE_165 AE_163 AE_164 AF_126 AF_125 AF_124 AF_123 AF_122 AF_121 AF_120 AF_119 AF_118 AF_117 AF_116 AF_115 AF_114 AF_113 AF_112 AF_111 AF_110 AF_109 AF_108 AF_107 AF_106 AF_105 AF_104 AF_102 AF_103 AF_101 AF_99 AF_100 AG_62 AG_61 AG_60 AG_59 AG_58 AG_57 AG_56 AG_55 AG_54 AG_53 AG_52 AG_51 AG_50 AG_49 AG_48 AG_47 AG_46 AG_45 AG_44 AG_43 AG_42 AG_41 AG_40 AG_38 AG_39 AG_37 AG_35 AG_36 AE_187 AE_185 AE_183 AE_188 AE_186 AE_184 AE_182 AE_191 AE_192 AE_189 AE_190 AE_175 AE_173 AE_181 AE_179 AE_177 AE_176 AE_174 AE_172 AE_180 AE_178 AE_161 AE_159 AE_163 AE_164 AE_162 AE_160 AE_158 AE_165 AE_171 AE_169 AE_167 AE_170 AE_168 AE_166 AE_151 AE_157 AE_155 AE_153 AE_149 AE_152 AE_156 AE_154 AE_148 AE_150 AE_192 AE_191 AE_137 AE_135 AE_140 AE_138 AE_136 AE_134 AE_141 AE_143 AE_145 AE_147 AE_144 AE_146 AE_139 AE_142 AE_133 AE_131 AE_129 AF_127 AF_125 AF_123 AE_132 AE_130 AF_128 AF_126 AF_124 AF_113 AF_111 AF_114 AF_112 AF_110 AF_117 AF_121 AF_119 AF_122 AF_120 AF_115 AF_116 AF_118 AF_109 AF_107 AF_105 AF_103 AF_101 AF_99 AF_108 AF_106 AF_104 AF_102 AF_100 AF_97 AF_98 AF_94 AF_96 AF_92 AF_90 AF_93 AF_95 AF_91 AF_128 AF_127 AF_88 AF_86 AF_84 AF_82 AF_80 AF_78 AF_76 AF_74 AF_72 AF_70 AF_68 AF_66 AF_89 AF_87 AF_85 AF_83 AF_81 AF_79 AF_77 AF_75 AF_73 AF_71 AF_69 AF_67 AG_61 AG_63 AG_59 AG_57 AG_55 AG_53 AG_51 AG_49 AG_47 AG_45 AG_43 AG_41 AG_64 AG_62 AG_60 AG_58 AG_56 AG_54 AG_52 AG_50 AG_48 AG_46 AG_44 AG_42 AF_65 AG_39 AG_37 AG_35 AG_33 AG_31 AG_29 AG_27 AG_25 AG_23 AG_21 AG_19 AG_17 AG_40 AG_38 AG_36 AG_34 AG_32 AG_30 AG_28 AG_26 AG_24 AG_22 AG_20 AG_18 AG_64 AG_63 AG_15 AG_13 AG_11 AG_9 AG_7 AG_5 AG_3 AG_1 AG_16 AG_14 AG_12 AG_10 AG_8 AG_6 AG_4 AG_2 AE_130 AE_129 AE_132 AE_133 AE_134 AE_135 AE_136 AE_137 AE_138 AE_139 AE_140 AE_141 AE_142 AE_143 AE_144 AE_145 AE_146 AE_147 AE_148 AE_149 AE_150 AE_151 AE_152 AE_153 AE_154 AE_131 AE_155 AE_156 AE_157 AE_158 AE_159 AE_160 AE_162 AE_161 AF_65 AF_66 AF_67 AF_68 AF_69 AF_70 AF_71 AF_72 AF_73 AF_74 AF_75 AF_76 AF_77 AF_78 AF_79 AF_80 AF_81 AF_82 AF_83 AF_84 AF_85 AF_86 AF_87 AF_88 AF_89 AF_90 AF_91 AF_92 AF_93 AF_94 AF_95 AF_96 AF_97 AF_98 AG_2 AG_3 AG_4 AG_5 AG_6 AG_7 AG_8 AG_9 AG_10 AG_11 AG_12 AG_13 AG_14 AG_15 AG_16 AG_17 AG_18 AG_19 AG_20 AG_21 AG_22 AG_23 AG_24 AG_25 AG_26 AG_27 AG_28 AG_29 AG_30 AG_31 AG_32 AG_34 AG_33 AA_SO10 AA_CLKD2 AA_OC2D2 AA_CLKD2 AA_CLKD2 AA_OC2D2 AA_SO11 AA_SO10 AA_OC2D1 AA_OC2D2 AA_CLKD1 AA_OC1D1 AG_1 AA_SO11 AA_SO9 AA_OC1D2 AA_OC1D2 AA_OC1D2 AB_CLK AB_OC1 AB_OC2 AB_SIU AB_OC2 AA_CLKU2 AA_OC2U1 AA_OC1U1 AA_OC1U1 AA_OC1D1 AA_CLKU1 AA_CLKD1 AA_SIU AA_OC2U1 AA_OC2D1 AA_LATU1 AA_LATD1 AA_LATD2 AA_LATD2 AA_LATD2 AA_LATD1 AA_LATU2 AA_SIU AA_SO6 AA_CHA AA_LATU2 AA_OC2U2 AA_CLKU2 AA_OC1U2 AA_LATD2 AA_OC2D2 AA_CLKD2 AA_OC1D2 AA_LATD2 AA_OC2D2 AA_CLKD2 AA_OC1D2 AA_OC1D1 AA_OC2D1 AA_CLKD2 AA_LATD2 AA_OC2D2 AA_OC1D2 AB_CLK AB_OC1 AA_OC2D1 AA_OC2D2 AA_LATD1 AA_CHA AA_OC1U2 AA_CLKU1 AA_OC2U2 AA_LATU1 OCM AB_SIU AA_LATD1 AA_CLKD1 SCNR_PRO C14981 50V 220p C14971 50V 220p C14969 50V 0.1u C14989 50V 220p C14992 16V 1u C14976 50V 1000p C14970 50V 220p C14987 50V 0.1u C14950 50V 220p C14993 16V 1u C14972 50V 220p C14961 16V 1u C14973 50V 1000p C14988 50V 0.1u C14986 50V 100p C14991 50V 10p C14958 16V 1u C14963 16V 1u C14943 25V 4.7u C14926 50V 0.1u D14962 MA2J11100L D14976 MA2J11100L D14975 MA2J11100L D14959 MA2J11100L D14960 MA2J11100L D14971 MA2J11100L D14974 MA3X152E0L D14961 MAZ80560HL D14952 MAZ80560HL IC14963 TC7SH08F 1 IN_B 2 IN_A 3 GND 5 VCC 4 OUT_Y IC14961 C0JBAZ000994 1 1A 2 1Y 3 2A 4 2Y 5 3A 6 3Y 7 GND 8 4Y 9 4A 10 5Y 11 5A 12 6Y 13 6A 14 VCC IC14962 C0JBAZ000994 1 1A 2 1Y 3 2A 4 2Y 5 3A 6 3Y 7 GND 8 4Y 9 4A 10 5Y 11 5A 12 6Y 13 6A 14 VCC AN16081A-VT IC14954 1 OUT3 2 OUT4 3 OUT5 4 OUT6 5 OUT7 6 OUT8 7 OUT9 8 OUT10 9 OUT11 10 OUT12 11 OUT13 12 OUT14 13 OUT15 14 OUT16 15 OUT17 16 OUT18 17 OUT19 18 OUT20 19 OUT21 20 OUT22 21 OUT23 22 OUT24 23 OUT25 24 OUT26 25 OUT27 26 OUT28 27 OUT29 28 OUT30 29 OUT31 30 OUT32 31 N.C. 32 VDDH 33 VDDH 34 N.C. 35 GND 36 GND 37 GND 38 TEST 39 GND 40 GND 41 GND 42 N.C. 43 VDDH 44 VDDH 45 N.C. 46 OUT33 47 OUT34 48 OUT35 49 OUT36 50 OUT37 51 OUT38 52 OUT39 53 OUT40 54 OUT41 55 OUT42 56 OUT43 57 OUT44 58 OUT45 59 OUT46 60 OUT47 61 OUT48 62 OUT49 63 OUT50 64 OUT51 65 OUT52 66 OUT53 67 OUT54 68 OUT55 69 OUT56 70 OUT57 71 OUT58 72 OUT59 73 OUT60 74 OUT61 75 OUT62 76 OUT63 77 OUT64 78 N.C. 79 VDDH 80 VDDH 81 N.C. 82 GND 83 GND 84 DIR 85 SO 86 CLK 87 LAT 88 VDD 89 OC1 90 OC2 91 SI 92 CLR 93 GND 94 GND 95 N.C. 96 VDDH 97 VDDH 98 N.C. 99 OUT1 100 OUT2 AN16081A-VT IC14956 1 OUT3 2 OUT4 3 OUT5 4 OUT6 5 OUT7 6 OUT8 7 OUT9 8 OUT10 9 OUT11 10 OUT12 11 OUT13 12 OUT14 13 OUT15 14 OUT16 15 OUT17 16 OUT18 17 OUT19 18 OUT20 19 OUT21 20 OUT22 21 OUT23 22 OUT24 23 OUT25 24 OUT26 25 OUT27 26 OUT28 27 OUT29 28 OUT30 29 OUT31 30 OUT32 31 N.C. 32 VDDH 33 VDDH 34 N.C. 35 GND 36 GND 37 GND 38 TEST 39 GND 40 GND 41 GND 42 N.C. 43 VDDH 44 VDDH 45 N.C. 46 OUT33 47 OUT34 48 OUT35 49 OUT36 50 OUT37 51 OUT38 52 OUT39 53 OUT40 54 OUT41 55 OUT42 56 OUT43 57 OUT44 58 OUT45 59 OUT46 60 OUT47 61 OUT48 62 OUT49 63 OUT50 64 OUT51 65 OUT52 66 OUT53 67 OUT54 68 OUT55 69 OUT56 70 OUT57 71 OUT58 72 OUT59 73 OUT60 74 OUT61 75 OUT62 76 OUT63 77 OUT64 78 N.C. 79 VDDH 80 VDDH 81 N.C. 82 GND 83 GND 84 DIR 85 SO 86 CLK 87 LAT 88 VDD 89 OC1 90 OC2 91 SI 92 CLR 93 GND 94 GND 95 N.C. 96 VDDH 97 VDDH 98 N.C. 99 OUT1 100 OUT2 AN16081A-VT IC14955 1 OUT3 2 OUT4 3 OUT5 4 OUT6 5 OUT7 6 OUT8 7 OUT9 8 OUT10 9 OUT11 10 OUT12 11 OUT13 12 OUT14 13 OUT15 14 OUT16 15 OUT17 16 OUT18 17 OUT19 18 OUT20 19 OUT21 20 OUT22 21 OUT23 22 OUT24 23 OUT25 24 OUT26 25 OUT27 26 OUT28 27 OUT29 28 OUT30 29 OUT31 30 OUT32 31 N.C. 32 VDDH 33 VDDH 34 N.C. 35 GND 36 GND 37 GND 38 TEST 39 GND 40 GND 41 GND 42 N.C. 43 VDDH 44 VDDH 45 N.C. 46 OUT33 47 OUT34 48 OUT35 49 OUT36 50 OUT37 51 OUT38 52 OUT39 53 OUT40 54 OUT41 55 OUT42 56 OUT43 57 OUT44 58 OUT45 59 OUT46 60 OUT47 61 OUT48 62 OUT49 63 OUT50 64 OUT51 65 OUT52 66 OUT53 67 OUT54 68 OUT55 69 OUT56 70 OUT57 71 OUT58 72 OUT59 73 OUT60 74 OUT61 75 OUT62 76 OUT63 77 OUT64 78 N.C. 79 VDDH 80 VDDH 81 N.C. 82 GND 83 GND 84 DIR 85 SO 86 CLK 87 LAT 88 VDD 89 OC1 90 OC2 91 SI 92 CLR 93 GND 94 GND 95 N.C. 96 VDDH 97 VDDH 98 N.C. 99 OUT1 100 OUT2 SD11 1 2 3 4 5 6 7 8 9 10 11 12 13 14 15 16 17 18 19 20 SD4 A1 A2 A3 A4 A5 A6 A7 A8 A9 A10 A11 A12 A13 A14 A15 A16 A17 A18 A19 A20 A21 A22 A23 A24 A25 A26 A27 A28 A29 A30 A31 A32 A33 A34 A35 A36 A37 A38 A39 A40 A41 A42 A43 A44 A45 A46 A47 A48 B1 B2 B3 B4 B5 B6 B7 B8 B9 B10 B11 B12 B13 B14 B15 B16 B17 B18 B19 B20 B21 B22 B23 B24 B25 B26 B27 B28 B29 B30 B31 B32 B33 B34 B35 B36 B37 B38 B39 B40 B41 B42 B43 B44 B45 B46 B47 B48 SD3 A1 A2 A3 A4 A5 A6 A7 A8 A9 A10 A11 A12 A13 A14 A15 A16 A17 A18 A19 A20 A21 A22 A23 A24 A25 A26 A27 A28 A29 A30 A31 A32 A33 A34 A35 A36 A37 A38 A39 A40 A41 A42 A43 A44 A45 A46 A47 A48 B1 B2 B3 B4 B5 B6 B7 B8 B9 B10 B11 B12 B13 B14 B15 B16 B17 B18 B19 B20 B21 B22 B23 B24 B25 B26 B27 B28 B29 B30 B31 B32 B33 B34 B35 B36 B37 B38 B39 B40 B41 B42 B43 B44 B45 B46 B47 B48 SD46 1 2 3 4 5 6 7 8 9 SD42 1 2 3 4 5 6 7 8 9 10 11 12 13 14 15 16 17 18 19 20 21 22 23 5V VSET2_O 5V_F_B 5V_F_A 5V_F_A 5V_F_B 5V VSET2_O ZA14951 K4AD01Z00002 ZA14952 K4AD01Z00002 PC14952 B3PBA0000457 1 2 3 4 5 6 7 8 PC14951 B3PBA0000457 1 2 3 4 5 6 7 8 Q14962 2SD0601A0L Q14961 2SD0601A0L R14956 22 R14962 330 R14981 10k R14978 2.2k R14957 22 R14964 22 R14996 10k R14977 2.2k R14965 330 R14990 10k R14945 0 R14969 3.3k R14947 0 R14948 0 R14974 47 R14944 10 R14943 47 R14971 10k R14963 330 R14970 4.7k R14959 22 R14955 220 R14979 2.2k R14966 22 R14973 47 R14958 22 R14967 22 R14960 22 R14949 20k R14998 10k R14988 2.2k R14991 22 R14975 47 R14349 10k R14982 10k R14992 47 R14968 10k R14994 47 R14951 220 R14997 10k R14995 10k R14972 10k R14954 220 R14984 10k R14989 15k R14976 47 R14950 10k R14961 330 R14987 47 R14993 47 R14946 0 17 10 16 13 14 11 12 18 15 S/P 64bit PDP SCAN DRIVER S/P 64bit PDP SCAN DRIVER S/P 64bit PDP SCAN DRIVER BUFFER BUFFER Vf Vfo Vscn Vf5 Vf TO SU-BOARD (SU11) TO SC-BOARD (SC46) TO SC-BOARD (SC42) SCAN ELECTRODES To 4th 96pins of To 3rd 96pins of SD-BOARD TXNSD1RQTC (2/2) ! SCAN ELECTRODES DOWN 4 5 1 3 2 6 TH-50PH11CK SD-Board (2 of 2) Schematic Diagram TH-50PH11CK SD-Board (2 of 2) Schematic Diagram 81 12.37.SS 电路板 (1/2) 和 S1 电路板线路图 + + + + + + + AA_UMH AA_USL AA_USH AA_NUEL AA_USL AA_UEH AA_UMH AA_UML AA_USH AA_UML AA_SOS8 AA_SOS8 C16001 630V 5600p C16131 25V 4.7u C16153 25V 4.7u C16157 25V 4.7u C16152 25V 4.7u C16242 16V 1u C16071 630V 1000p C16092 630V 1000p C16023 630V 5600p C16135 25V 4.7u C16251 16V 1u C16154 25V 4.7u C16041 50V 3900p C16133 25V 4.7u C16252 25V 1u C16151 25V 1u C16015 2.2u 250V C16243 50V 0.01u *C16203 250V 4u *C16201 250V 4u *C16202 250V 4u C16272 25V 470u C16241 10V 100u *C16261 100V 470u *C16012 220V 250u *C16011 220V 250u *C16013 220V 250u *C16262 100V 470u D16040 RF101L4STE25 D16152 B0ECKP000047 D16131 B0ECKP000047 D16255 MA2J11100L D16032 MA2J11100L D16151 B0ECKP000047 D16132 B0ECKP000047 D16153 B0ECKP000047 D16050 B0ECKP000047 *D16052 B0FBCN000005 *D16051 B0FBCN000005 D16001 B0FBCN000005 *D16042 MA3DF46000LW *D16041 MA3DF46000LW *D16021 MA3DF30000LW D16253 LNJ301MPUJA IC16251 C0BBBA000024 1 A_OUTPUT 2 A_-INPUT 3 A_+INPUT 4 GND 5 B_+INPUT 6 B_-INPUT 7 B_OUTPUT 8 VCC C0ZBZ0001324 IC16151 1 LO 2 Vcom 3 VCC2 4 NC 5 NC 6 VS 7 VB 8 HO 9 NC 10 NC 11 VCC 12 HIN 13 NC 14 LIN 15 GND 16 NC C0ZBZ0000895 IC16131 1 LO 2 GND 3 VCC 4 NC 5 NC 6 VS 7 VB 8 HO 9 NC 10 NC 11 NC 12 HIN 13 NC 14 LIN 15 GND 16 NC C0JBAZ002811 IC16241 1G 1 2 1A1 3 2Y4 4 1A2 5 2Y3 6 1A3 7 2Y2 8 1A4 9 2Y1 10 GND 11 2A1 12 1Y4 13 2A2 14 1Y3 15 2A3 16 1Y2 17 2A4 18 1Y1 19 2G 20 VCC SS34 1 2 3 SS12 1 2 3 4 5 6 7 8 9 10 SS23 1 2 3 4 5 6 7 8 9 10 11 12 SS11 1 3 L16271 G0ZZ00002183 L16398 J0JJC0000015 L16262 G0ZZ00002183 L16399 J0JJC0000015 *L16014 G0C1R6KA0119 *L16011 G0C1R6KA0119 *L16012 G0C1R6KA0119 *L16002 G0C1R6KA0119 *L16004 G0C1R6KA0119 *L16001 G0C1R6KA0119 *L16003 G0C1R6KA0119 *L16013 G0C1R6KA0119 5V VE2EXT165V VEEXT160V 5V TP37 TP33 TP6 TP1 TP10 TP18 TP4 TP22 TP41 TP7 TP39 TP38 TP14 TP34 TP5 TP15 TP9 TP12 TP19 TP17 TP13 TP8 TP3 TP16 TP11 TP40 TP2 TP20 Q16181 B1ABRD000003 Q16251 2SD0601A0L Q16171 B1ABRD000003 *Q16021 B1JAEN000002 *Q16001 B1JAEN000002 *Q16002 B1JAEN000002 *Q16022 B1JAEN000002 *Q16041 B1JAEN000003 *Q16051 B1JAEN000003 Q16172 B1ADRD000001 Q16182 B1ADRD000001 Q16161 B1HFPFA00001 Q16141 B1HFPFA00001 R16242 EXB38V472JV R16241 EXB38V470JV R16159 1 R16253 39k R16173 47k R16162 47k R16138 1 R16257 10k R16051 5.6 R16021 7.5 R16137 1 R16163 47k R16172 47k R16254 8.2k R16161 10 R16032 82k R16256 1.8k R16155 1 R16001 7.5 75 R16154 R16255 1k R16031 82k R16221 4.7k R16132 100 R16251 1.2k R16143 47k R16022 7.5 R16171 10 R16230 47 75 R16134 R16231 4.7k R16041 5.6 R16152 100 R16220 47 R16252 39k R16034 27k R16181 10 R16260 2.2k R16131 100 R16151 100 R16002 7.5 R16182 47k R16033 56k R16183 47k R16141 10 R16261 100k R16142 47k R16258 2.2k TPVDA TPVSUS VSUS GND TPSOS8 VSUS:185V 75V 15.7V P5V NUEL UEH USL USH UML UMH SOS8_SS GND NC VDA VDA C B 5 6 7 8 9 2 3 4 F A E 1 D FET DRIVER BUFFER FET DRIVER (P11) TO P-BOARD (P12) TO P-BOARD (C33) C3-BOARD TO RECOVERY ENERGY DRIVER VSUS Gen. ERROR DET ! SS-BOARD TXNSS1RQTC (1/2) 1 2 3 4 5 VDA:75V SHOR TH-50PH11CK SS-Board (1 of 2) and S1-Board Schematic Diagram TH-50PH11CK SS-Board (1 of 2) and S1-Board Schematic Diagram GND 12V STB_PS PUSH S34 1 2 3 SW061 K0F162B00002 ! S1-BOARD TXNS11VBTU POWER SW 82 12.38.SS 电路板 (2/2),SS2 和 SS3 电路板线路图 + + + + + TERM SIDE TERM SIDE TERM SIDE TERM SIDE AA_UML AA_UEH AA_SOS8 AA_UEH AA_NUEL C16283 0.1u 50V C16192 25V 4.7u C16285 0.1u 50V C16280 25V 4.7u C16194 25V 4.7u C16197 25V 4.7u C16312 50V 4700p C16313 16V 1u C16326 25V 4.7u C16284 0.1u 50V C16282 0.1u 50V C16311 10V 1u C16195 25V 4.7u C16336 50V 1000p C16337 50V 0.1u C16322 0.22u 250V C16321 0.22u 250V C16302 470p 50V C16301 25V 47u C16323 25V 47u C16324 470u 25V C16310 220V 250u C16328 220u 200V D16192 B0ECKP000047 D16300 B0ECKP000047 D16321 B0ECKP000047 D16302 MA2J11100L D16335 B0ECLM000006 D16331 B0ECHP000003 D16191 RF101L4STE25 D16102 MA22D3900L D16313 B0ECKP000047 D16104 MA22D3900L D16280 MA2J11100L D16324 MA3X152D0L D16283 MA3X152D0L D16284 MA3X152D0L D16301 MA3X152E0L D16281 MAZ80510LL D16311 MAZ81500ML D16282 MAZ80680ML C0JBAC000363 IC16303 1 IN_B 2 IN_A 3 GND 5 VCC 4 OUT C0ZBZ0000895 IC16191 1 LO 2 GND 3 VCC 4 NC 5 NC 6 VS 7 VB 8 HO 9 NC 10 NC 11 NC 12 HIN 13 NC 14 LIN 15 GND 16 NC MIP9L02MBS IC16301 1 SOURCE 2 BY 3 FB 5 VCC 6 GND 7 V01 8 VOUT 10 DRAIN C0CBALC00012 IC16302 Vin 3 2 Com Vout 1 SS54 1 2 3 4 5 6 7 8 9 10 11 12 13 SS55 1 2 3 4 5 6 7 8 9 10 11 12 13 SS22 1 2 3 4 5 6 7 SS21 1 2 3 4 5 6 7 L16103 G0ZZ00002183 J0JJC0000015 L16102 L16221 G0ZZ00002183 J0JJC0000015 L16104 J0JHC0000031 L16301 T16301A ETS19AB249AC 1 NC 2 P1 4 PT 5 NC 6 P2 7 S1 10 S2 ZA16003 K4CD01000011 ZA16002 K4CD01000011 ZA16001 K4CD01000011 TP24 TP35 TP26 TP27 TP30 TP29 TP36 TP25 TP31 TP28 TP43 TP56 TP55 TP52 TP51 TP54 TP53 Q16331 B1CERL000012 G D S Q16301 B1CBGD000001 Q16302 B1CFNG000001 Q16335 B1CERL000012 G D S Q16102 2SK399800L G D S Q16104 2SK399800L G D S Q16339 2SK417300L G D S Q16280 2SD0601A0L Q16304 2SB0709ASL Q16191 B1HFPFA00001 R16281 10k R16283 47k R16301 4.7k R16289 62k R16303 100 R16109 10 R16311 120k R16194 1 R16321 47k R16292 330k R16287 62k R16288 330k R16192 100 R16331 100 R16280 2.2k R16306 100 R16300 1k R16304 680 R16305 270 75 R16193 R16312 120k R16322 560 R16324 10k R16323 22k R16315 1.24k R16317 0 R16314 56k R16191 100 R16338 100 R16340 1.5k R16313 52.3k R16291 62k R16302 1M R16334 100 R16307 100 R16285 62k R16286 330k R16116 47k R16195 1 R16308 100 R16284 220k R16290 330k R16339 330k R16333 330k R16282 220 R16325 0 R16104 220 R16102 220 R16309 4.7k R16110 47k R16336 1 R16310 5.6k VR16000 50k 1 2 3 SS03 1 2 3 4 5 6 7 SS57 1 2 3 4 5 6 7 8 9 10 11 12 13 SS02 1 2 3 4 5 6 7 SS52 1 2 3 4 5 6 7 8 9 10 11 12 13 TPSS1 SS54 SS55 SS21 SS22 SS34 SS23 SS12 SS11 TPVe 15 13 18 12 10 14 17 16 11 TXNSS31RQTU SS3-BOARD ! SUSTAIN PANEL ELECTRODE DOWN TXNSS21RQTU SS2-BOARD ! UP SUSTAIN PANEL ELECTRODE FET DRIVER SUSTAIN ELECTRODE PANEL PANEL ELECTRODE SUSTAIN NAND GATE VE Gen. DRIVER IPD +15V SS-BOARD TXNSS1RQTC (2/2) ! 3 4 2 1 5 Ve:130V TH-50PH11CK SS-Board (2 of 2), SS2-Board and SS3-Board Schematic Diagram TH-50PH11CK SS-Board (2 of 2), SS2-Board and SS3-Board Schematic Diagram 83 13 印刷电路板基板图 13.1. V1,V2,S1,H3 电路板 Q1540 D1550 V2 RM001 V15 L1507 L1508 SW061 S34 TXNV11VBTC V1 1 P b F TXNV21VBTC V2 1 PbF TXNS11VBTC S1 1 PbF ORDER NO. NO. ORDER 1 6 O R D E R N O . 3 1 1 3 R1500 C1530 C1531 D1551 D1554 R1550 R1551 R1552 R1553 R1554 R1555 R1556 L1501 L1502 L1503 L1505 L1506 RM001 S1 1 SW061 S34 TXNV11VBTC 1 V1 P b F 1 3 I H G F E D C B A 1 2 3 4 5 6 JK8500 H37 1 H3 TNPA3931 SEE REVERSE ORDER NO. FOR 3 1 JK8500 H37 TNPA3931 1 H3 PbF ORDER NO. 1 3 TH-50PH11CK V2-BOARD TXNV21VBTC V1-BOARD TXNV11VBTC S1-BOARD TXNS11VBTC H3-BOARD TNPA3931 TH-50PH11CK V2-BOARD TXNV21VBTC V1-BOARD TXNV11VBTC S1-BOARD TXNS11VBTC H3-BOARD TNPA3931 V2-BOARD(FOIL SIDE) TXNV21VBTC V2-BOARD(COMPONENT SIDE) TXNV21VBTC V1-BOARD(FOIL SIDE) TXNV11VBTC V1-BOARD(COMPONENT SIDE) TXNV11VBTC S1-BOARD(FOIL SIDE) TXNS11VBTC S1-BOARD(COMPONENT SIDE) TXNS11VBTC H3-BOARD (FOIL SIDE) TNPA3931 H3-BOARD (COMPONENT SIDE) TNPA3931 V1 V2 H3 S1 H3 84 13.2. HU 电路板 I H G F E D C B A 1 2 3 4 5 6 C446 C448 L308 L309 L319 L320 JK301 JK302 JK303 JK304 Q301 C306 Q302 C307 Q303 Q304 C308 Q305 Q306 C310 C312 C314 H1 C317 C318 C319 C320 C321 C322 C323 C324 C325 C326 C327 C328 C329 D307 D308 D309 C330 C331 C332 D310 IC305 C335 C336 IC307 R310 R312 R314 R315 R316 R318 C340 R319 C341 C342 C345 R320 C348 R321 C349 R322 R323 R324 R325 R326 R327 R328 R329 C354 C356 R330 C358 R331 C359 R332 R333 R334 R335 R336 R337 R338 C360 R339 C361 C362 C364 C365 C367 C369 R345 R346 C370 C371 C373 C374 C375 R351 C379 R352 R353 R354 C380 C381 R359 C382 C384 C385 C386 C387 C388 R360 R361 R362 R363 C390 C391 C392 C393 C394 C395 R370 C398 R377 R383 R391 R392 R394 R395 R396 C400 C401 C402 C403 C404 C405 C406 C407 C408 C410 C411 C412 C413 C414 C415 C420 C423 R402 R405 R406 R409 C432 C433 C434 C435 C436 C437 C438 R410 HU 1 CR NO.3 TNPA3885 PbF L R L R C Y ORDER NO. B2 A1 A2 A40 A39 B39 B40 B1 1 25 0 5 6 2 1 28 29 56 C440 C441 C442 C443 C444 C445 L301 L302 C447 L303 L304 C449 L305 L306 L307 C450 C451 L310 L311 L312 L313 L314 L315 L316 L317 L318 TP301 TP302 TP303 TP304 TP305 JK301 JK302 JK303 JK304 C301 C302 C303 C304 C305 C309 Q307 Q308 C311 C313 H0 H1 C315 C316 D301 D302 D303 D304 D305 R301 D306 R302 R303 R304 R305 R306 R307 R308 IC301 R309 IC302 IC303 C333 IC304 C334 D311 IC306 C337 IC308 C338 C339 IC309 R311 R313 R317 C343 C344 C346 C347 C350 C351 C352 C353 C355 C357 C363 C366 C368 R340 R341 R342 R343 R344 R347 R348 R349 C372 C376 C377 C378 R350 R355 R356 R357 R358 C383 C389 R364 R365 R366 R367 R368 R369 C396 C397 C399 R371 R372 R373 R374 R375 R376 R378 R379 R380 R381 R382 R384 R385 R386 R389 R390 R397 R399 X301 C409 C416 C417 C418 C419 C421 C422 C424 C425 C426 C427 R400 C428 R401 C429 R403 R404 R407 R408 C430 C431 R411 C439 R412 R413 R414 R417 TNPA3885 1 HU CR NO.3 L R GND HD VD R415 R416 PbF L R L R C Y SEE REVERSE FOR ORDER NO. 1 8 A1 A2 B1 B2 A39 A40 B39 B40 1 12 13 24 25 36 37 48 1 3 4 5 1 3 4 5 1 44 45 88 89 132 133 176 1 4 5 8 1 8 9 16 1 4 5 8 + TH-50PH11CK HU-BOARD TXNHU1VBTC TH-50PH11CK HU-BOARD TXNHU1VBTC HU-BOARD (FOIL SIDE) TXNHU1VBTC HU-BOARD (COMPONENT SIDE) TXNHU1VBTC Parts Location HU-BOARD IC IC3301 IC3302 IC3303 IC3304 IC3305 IC3306 IC3307 IC3308 IC3309 Q3301 Q3302 Q3303 Q3304 Q3305 Q3306 Q3307 Q3308 TRANSISTOR TP3301 TP3302 TP3303 TP3304 TP3305 TRANSISTOR TP F-2 G-2 G-4 G-3 B-3 H-2 B-2 G-2 G-2 D-2 D-2 D-3 D-3 C-2 C-3 G-3 G-3 I-3 I-3 H-2 H-2 H-4 HU 85 13.3. HX 电路板 JA1 JA2 JA3 JA4 JA5 JA6 JA7 JA8 JA9 L526 R653 R654 R655 R656 JA10 R663 R664 R668 L555 R672 JK509 JK511 JK513 ZA001 C523 C524 D504 D507 D508 D509 R508 R509 IC502 D510 Q531 Q532 R510 R511 C550 C551 R529 C552 C553 R530 C561 C562 R547 R548 FL510 FL511 FL512 FL513 FL514 FL515 FL516 FL517 R776 R777 R778 R585 R586 R589 R590 R591 R592 R593 R790 R791 HX1 C404 C405 C406 C407 C409 TP65 TP66 TP67 TP68 TP69 TP70 TP71 TP72 TP73 TP74 R400 TP75 3 CRNO. TZTNP03VETC HX 1 3 2 1 D511 D503 D512 C503 PbF 5 9 6 1 1 5 0 1 6 1 1 1 5 N O . O R D E R S E E R E V E R S E F O R 1 4 5 8 1 5 1 JK509 JK511 JK513 ZA001 J1 J2 J3 J4 J5 J6 J7 J8 J9 J10 HX1 1 HX 3 CRNO. TZTNP03VETC PbF 6 1 9 5 O R D E R N O . 1 5 1 1 5 I H G F E D C B A 1 2 3 4 5 6 TH-50PH11CK HX-BOARD TNPA4489 TH-50PH11CK HX-BOARD TNPA4489 HX-BOARD (COMPONENT SIDE) TNPA4489 HX-BOARD (FOIL SIDE) TNPA4489 Parts Location (Foil Side) IC IC3502 B - 5 Transistor Q3531 Q3532 A - 5 A - 4 TP65 TP66 B - 5 B - 5 TP67 TP68 TP69 TP70 TP71 TP72 TP73 TP74 TP75 B - 5 B - 5 A - 5 A - 5 A - 6 A - 5 A - 5 A - 5 A - 5 Test Point 86 13.4. DS 电路板 TPJV1 DS11 DS12 DS13 DS14 DS15 ZA3001 ZA3002 ZA3003 ZA3004 ZA3005 ZA3006 ZA3007 ZA3008 ZA3009 DS1 DS2 DS3 DS4 DS6 DS7 DS8 TPJH1 THERMAL PAD THERMAL PAD TNPA4423 B D D A A B 2 DS C C THERMAL PAD E E R8205 R8006 C3115 FL3009 C8070 L803 C3009 R8181 R3153 R2370 C2384 IC2303 R3057 C3060 R3025 C8003 R2365 C2375 C3105 R843 R3067 D8010 L8003 C8100 R863 R848 FL3004 R3062 L8104 C2412 R2385 C2370 C8105 C8009 C3146 C2379 R3093 R8036 Q806 R2404 R8123 C2374 C3113 C823 R854 R3089 R805 R3213 IC3002 C8029 PA801 C2380 C3112 C817 R3084 R3041 R8017 C3010 R4131 R8129 R2360 C865 R849 FL3005 R8045 R3028 L805 C2364 C3107 R3069 R815 C3025 R3119 C2383 C3103 IC2302 FL3015 C8071 C8019 Q8183 R3117 IC2301 FL3008 R3051 R8047 L8108 D8205 C3014 C8015 Q8200 R2400 C2389 R3102 C815 R3087 R8096 R3076 R3047 R3230 IC3003 R8203 Q805 R2397 C3136 D813 C2367 C801 R3042 D8001 R8187 L3005 C8113 C849 L8106 D8003 C2426 R2390 C2371 C3101 R3212 R8202 R8001 R8121 R2358 D806 Q2331 R2304 C822 R852 R3088 R3049 R8055 R8037 R8010 C3004 R2405 C2400 R2399 R2364 D814 C8122 R860 C819 C802 FL3011 R806 R3044 L808 R4132 R8183 C3145 C842 R855 R8189 R2386 D810 C8114 C8106 R3096 R3163 C2387 D817 C3110 R819 R8039 L804 C3200 R2410 D815 D803 C838 C807 L3140 C3026 Q8019 C3143 C858 R838 R3074 R3056 R3037 L812 R8007 C2403 D8183 C2395 D809 C857 R835 R8067 R3035 C3042 R3197 R2389 R2355 C8107 L8101 L2331 L3006 C8109 R3094 C8016 Q8202 R2362 C2373 C2362 R8056 R3210 R2361 R2357 C871 C2366 C834 C829 R851 Q2300 R3082 R3077 R8051 IC3005 D8209 R2408 C8187 C2382 R827 R809 R3033 IC3006 L802 R2428 D8184 IC803 C8111 C832 FL8001 C8072 R3027 C8021 Q2372 C825 C808 R814 L2330 R8201 R3192 R8120 D805 C8101 FL3006 C3059 R8029 R3126 C8104 C811 C2413 C855 L8107 C8027 R2391 C3134 R2356 D811 C3111 C828 C820 C814 C803 R839 R3216 IC8017 C3023 R8002 R2363 R2359 D807 D802 R841 R8099 R8060 R8057 R8012 C8030 R3151 C2396 R3107 C2358 R3073 R8069 R3036 C3024 X2301 C8185 D808 R833 FL3007 X8181 R3032 L807 R2369 C2365 R8081 R8077 R3029 R2449 D8203 R3160 C2390 C2386 R862 FL3001 R8072 R3217 IC8008 R8003 Q8010 C8181 C2368 C806 R3086 R807 R3045 C3031 C3015 Q8011 Q8201 R8117 D812 D801 R2303 C821 R8054 L8102 C8200 R2383 C2354 R3095 R3121 D819 C2353 C8103 R2366 C2385 C863 R861 R3068 L806 D8204 C8023 R3114 C826 FL3003 C8049 L801 R2409 C2402 D8181 Q8184 C2369 C856 R8065 R8048 L815 C3027 D8201 R8182 C2399 R3108 C8112 R8094 R8089 R3038 C3051 C8033 C3202 C809 R821 R816 IC8005 C3204 R3165 C2391 C2388 D818 C841 C827 R3030 L811 C8038 R8004 R2407 C2401 C8183 C3114 C830 R3031 L813 R8206 D8200 R2429 L3050 R3152 C2397 R8101 R8093 R8088 R3055 R8035 IC8007 C3016 C8013 R3143 R8122 C2381 C867 C862 R3085 R804 R3043 C3043 C8045 C8035 C3208 R850 R3081 R3046 R8050 L8105 C3207 R3196 R2387 C2355 D3009 C3206 R8188 C884 L814 R8009 D8185 C2398 IC804 C2359 C2352 C833 R3075 R3058 C8074 R8011 C2394 C869 C831 R3052 R3034 C3052 R8200 Q8002 R3161 C2377 D804 C3108 D2302 R822 R817 R3026 C3201 R2411 C2376 C3106 D2301 R844 FL3000 R813 R4133 R8184 L3002 R856 L8103 IC8181 R2384 C812 R8031 D8206 R8190 C3135 C2372 C861 C816 C804 R3083 R8204 C3017 R2406 C8182 R8119 C2363 C837 C824 R808 C3209 C3210 C3211 C3212 C3213 C3214 C3215 C3216 C3217 C3218 C3219 C3220 D827 D828 D829 C886 C885 C3018 R864 R865 IC805 C876 R836 R831 R3201 R3202 R3203 R8102 PbF E C B A39 B40 B39 A40 B2 B1 A2 A1 B40 B39 A40 A39 B2 B1 A2 A1 B40 B39 A40 A39 B2 B1 A2 A1 15 1 3 1 8 14 15 21 22 7 28 1 8 14 15 21 22 7 28 1 O R D E R N O . 21 80 61 60 41 40 20 1 E C B NP NP 8 5 4 1 4 5 1 3 NP NP 68 1 6 1 68 1 9 1 11 1 1 3 1 3 8 5 4 1 14 8 7 1 5 8 4 1 8 5 4 1 16 9 8 1 5 4 3 1 16 9 8 1 64 49 48 33 32 17 16 1 16 9 8 1 1 4 5 8 DS11 DS12 DS13 DS14 DS7 DS8 1 2 3 TNPA4423 DS 2 Q3002 C2357 R3053 R8023 R8008 R8103 R3080 D3004 C2406 R3154 R3059 C3055 D3006 C8007 R3164 R8110 Q8023 R8113 R8025 D3008 R8105 C852 C848 L810 D8014 Q8013 R2420 R2398 IC801 R3079 C8080 C3022 IC2305 R830 R801 C3057 R3065 C2408 R3159 D816 C3036 R3150 R829 R3054 D8015 C3019 IC802 C2356 FL3013 R3198 R2393 R2301 R3215 Q8012 R8118 C818 C805 R803 D8211 R8106 C843 C3030 C847 R2422 R3141 R3078 C3034 Q807 C2419 R842 R8111 C3040 R8114 C3054 Q8020 R2413 R8128 R3090 R823 R3155 R8125 R811 IC3007 C2405 D3001 C2351 R3071 R2450 Q803 R8109 C3205 R2418 R2352 R858 R3214 C3033 D8013 R2402 C2417 R2396 R840 FL3010 R802 IC3001 C3021 C3001 C2415 R2394 C2361 C8083 D8180 C2393 C8115 C2350 C2404 R3072 C3028 R3158 R2367 R820 Q8021 R2415 R3166 R3092 R3066 L809 Q8022 C2411 C3041 IC8014 C3013 R2388 R8115 C846 C813 D8011 R2421 C2414 C2360 C8082 C8075 R2403 C2418 R3144 C3037 R3188 R8180 C851 C3035 R2425 R8041 C3020 R3190 C2378 D2303 C3058 C3203 R2412 C2409 R845 IC8018 R2424 C836 R3211 D8012 R2401 C2416 R2395 L8005 C8084 D8212 C3012 C2421 R3195 R2353 R8108 C845 R8026 D8210 Q801 R2417 C2410 R3219 C2407 R3156 R812 C3053 R3162 C840 R818 R2426 C850 R3070 R8104 R810 D3005 C8005 IC3153 R8127 C3056 D3007 R2414 R3191 R3091 R825 R3064 C2392 FL3012 R826 R3050 C8073 R2423 C835 R2392 R2354 C2420 C3153 R8112 R8107 C844 D3003 R3189 R8021 FL3014 R828 C3029 R2368 R2448 R3157 R8126 C8123 C839 R3004 R2416 R2351 C810 D8213 Q802 R2419 R859 Q804 R3199 R3140 R2302 R3048 R3231 R3218 R8124 C8081 R2360 C2364 R2358 R2355 L2331 R2357 L2330 R2356 R2359 C8185 C2365 C2368 C2369 D831 D832 D830 C887 D825 D826 D824 C870 C868 C859 C881 D821 C864 C882 R834 R3204 R3206 R3205 R832 C853 R837 C854 PbF A1 A2 B1 B2 A40 A39 B39 B40 A1 A2 B1 B2 A40 A39 B39 B40 A1 A2 B1 B2 A40 A39 B39 B40 1 15 S E E R E V E R S E F O R O R D E R N O . 1 4 5 8 1 4 5 8 1 4 5 8 3 1 3 1 1 10 11 20 1 10 11 20 1 10 11 20 1 3 4 5 1 4 5 8 I H G F E D C B A 1 2 3 4 5 6 TH-50PH11CK DS-BOARD TNPA4423 DS-BOARD (COMPONENT SIDE) TNPA4423 DS-BOARD (FOIL SIDE) TNPA4423 TH-50PH11CK DS-BOARD TNPA4423 Parts Location (Component Side) Parts Location (Foil Side) IC Transistor IC803 IC804 IC805 IC2301 IC2302 IC2303 IC3002 IC3003 IC3005 IC3006 IC8005 IC8007 IC8008 IC8017 IC8181 C - 1 D - 1 D - 1 F - 2 F - 2 E - 2 C - 2 C - 1 B - 2 B - 2 A - 1 C - 2 B - 1 B - 2 E - 2 IC C - 4 D - 4 B - 4 C - 5 E - 4 E - 5 E - 5 E - 4 IC801 IC802 IC2305 IC3001 IC3007 IC3153 IC8014 IC8018 Transistor D - 5 D - 5 D - 5 D - 5 D - 5 F - 5 E - 4 E - 4 Q801 Q802 Q803 Q804 Q807 Q3002 Q8012 Q8013 F - 4 F - 4 F - 4 F - 4 Q8020 Q8021 Q8022 Q8023 A - 2 A - 2 TPJH1 TPJV1 C - 2 C - 2 E - 3 F - 3 E - 1 B - 2 B - 1 B - 1 B - 2 C - 1 C - 2 C - 2 C - 2 C - 2 Q805 Q806 Q2300 Q2331 Q2372 Q8002 Q8010 Q8011 Q8019 Q8183 Q8184 Q8200 Q8201 Q8202 Test Point 87 13.5. DN 电路板 A B D C F F G H E D E G TP5V A J B J TPFAS PNL12V H C C203 C011 C205 C012 C013 C207 C014 C208 C209 C015 C016 C017 C018 C401 C019 C402 C403 C210 C404 C213 C020 C214 C021 C022 C216 C217 C023 C024 C025 C601 C026 C602 C027 C603 C028 C604 C029 C605 C606 C607 C608 C221 C609 C222 C223 C030 C224 C801 IC002 C802 IC003 C803 C228 C804 C610 C229 C611 C805 C612 C806 C807 C613 C808 C614 R011 C615 C616 R013 C617 R208 C230 C618 C231 C619 C232 R401 C041 R402 C236 R403 C043 C237 C044 R404 C238 C620 R211 C045 R405 C621 C046 R406 C622 R407 C047 C623 C048 R214 C624 C049 C431 R215 C625 R216 C626 R217 C627 C628 R219 C241 R601 C629 R602 R603 R411 L102 R412 R413 R414 R415 C631 R222 R416 C632 R417 C633 C634 R801 C635 R802 C636 R803 C637 R804 C638 C639 R611 R805 R612 R806 R613 R807 R808 R614 R421 R615 R809 R422 R616 R423 R617 R424 R618 C640 R231 R619 C641 C642 C643 R428 R234 C644 R810 R429 R041 L501 R811 R042 L502 R812 R043 L503 R813 R044 L504 R620 R814 TP101 R045 R621 R815 L505 R816 L506 R622 L507 R623 TP104 L508 R624 L509 R625 R626 R433 R627 R434 R240 R628 L701 R435 R241 R629 C651 C652 R244 L510 R822 L512 R247 R823 L514 R630 L515 R825 R631 L516 R826 R632 R827 R633 R634 R635 R255 L521 L522 L523 R258 R261 C671 C672 C673 C674 C675 C676 C677 C678 R651 R652 R653 R274 R275 R475 R476 C887 R477 R482 R483 C893 C894 R484 R485 R486 R487 R488 R493 R494 R498 R886 R896 R897 R898 R899 Q101 Q102 C106 C107 C108 C109 C110 C112 C115 C116 C505 C506 C507 C508 C509 C701 C703 C510 C511 Q701 Q702 C706 C512 Q703 C513 C707 C514 C709 C515 C516 C517 R108 C518 R109 C519 Q903 R110 C520 Q904 Q711 C521 C522 Q713 C523 R114 Q714 C524 C525 C526 R117 Q717 C527 R118 Q718 C528 C529 C721 L002 R506 L003 R507 C530 R508 R121 D701 R509 C531 R122 C532 R123 C533 IC503 R124 C534 R125 R701 C535 R702 C536 C537 C538 R510 R705 R511 C539 R512 R513 R708 R514 L205 R709 R515 D901 R516 D902 IC703 R517 L207 R518 C540 D711 R131 L209 R519 C541 R132 C542 R133 C543 C544 C545 C352 C546 C353 C547 C548 R715 R521 Q351 C549 TP001 C356 R523 C357 R524 R525 IC712 R526 C937 C550 C938 IC715 C551 C552 D722 C553 D723 C554 D724 R721 C555 D725 R722 C556 D726 C557 R723 D727 C558 D728 C559 R531 D729 C942 R532 R727 C943 R533 R728 R729 TP017 C560 TP018 D730 C561 TP019 C562 C563 C564 R730 D735 R731 C565 R732 C566 C567 C568 TP020 C569 D351 TP021 TP022 R737 TP023 R738 TP024 TP025 R352 TP026 R353 R354 C570 D358 R355 TP029 C571 R356 C572 R357 C573 R740 R358 C574 IC351 C575 R359 R741 C576 R742 R743 C577 C578 C579 R747 R362 R557 R558 C580 R559 R942 C583 C584 R369 R945 R946 C587 R947 C588 R560 R754 R948 FL111 R561 R949 FL112 R562 FL113 R563 R758 R564 R370 R565 R950 R951 C593 R761 C596 R762 C597 C598 C599 R572 R573 R768 R574 R575 R576 R577 R774 R775 R776 R779 R780 R785 R786 R791 R792 R797 R798 R799 R126 R963 R964 R965 R966 D712 TPI2L TP002 TPFAO TP027 TP028 TP031 R673 C595 C600 C645 C646 C648 C647 R585 R583 R581 C926 C927 L524 C405 R438 R439 R828 R440 R441 R442 R443 R444 R445 R833 R834 R835 C886 R861 R862 R863 R864 R865 R866 R867 R868 R869 R870 R871 R872 R873 R874 R875 R876 R877 R878 R887 R888 R890 R891 R894 R895 Q704 Q705 R105 R106 Q706 Q707 Q708 Q715 Q716 IC704 D713 D714 D715 D716 D717 C358 C359 C360 C361 C362 C363 C364 C365 C366 D352 D353 D354 D355 D356 D357 FL101 FL102 R361 R363 R364 R365 R366 R367 R368 R381 D108 D718 R884 Q712 R889 R885 R154 R157 C201 C202 C204 C206 C215 C218 C225 C226 C227 IC211 IC212 R232 R233 R235 R270 R271 R272 R273 C301 C302 C303 C304 R301 Q901 R302 Q902 R303 PA901 R305 Q905 C909 PA902 R306 Q906 R307 Q909 Q910 L001 L201 C921 L202 C922 C923 C936 D912 D913 D914 IC722 R921 R922 R923 R924 R925 R926 R927 R928 C951 R929 C952 C953 C954 C955 C956 C957 C958 R931 R932 R935 R936 R937 TP030 R939 C966 TP040 TP041 TP042 TP043 TP044 TP045 R952 C981 C982 C983 C984 C985 C986 C987 C988 C989 C990 FL901 C991 FL902 R970 R971 R981 R982 R983 R984 R985 R986 R987 R988 R989 R990 R991 R992 R993 DN CR NO.4 2 TXNDN2VETC TP15V TPFAV GND TPS5V STB3.3V C242 DN42 R905 R903 D904 R907 C910 R906 C912 R914 C905 R912 C907 R904 C911 C908 R913 R902 R910 C914 R915 C906 D903 C913 R908 R909 IC901 C104 D104 D106 TP108 TP107 TP106 TP105 K K TP109 TP110 TP111 TP112 C917 PbF + 1 4 5 7 1 3 4 5 1 4 5 8 1 4 5 8 1 7 8 14 1 4 5 8 1 5 1 4 5 8 1 4 5 8 1 4 5 8 1 3 4 5 1 3 4 5 1 3 4 5 1 3 4 6 1 15 16 30 S E E R E V E R S E F O R O R D E R N O . I H G F E D C B A 1 2 3 4 5 6 TH-50PH11CK DN-BOARD TXNDN2VETC TH-50PH11CK DN-BOARD TXNDN2VETC DN-BOARD (FOIL SIDE) TXNDN2VETC IC Transistor IC4002 IC4003 IC4211 IC4212 IC4351 IC4503 IC4703 IC4704 IC4712 IC4715 IC4722 IC4901 B - 2 A - 3 C - 2 C - 2 C - 5 D - 4 E - 4 B - 4 A - 3 C - 4 D - 2 D - 2 A - 4 D - 5 D - 6 A - 3 D - 3 A - 3 A - 3 B - 4 A - 4 C - 2 C - 2 C - 3 C - 3 C - 2 C - 3 D - 2 D - 2 B - 5 B - 6 E - 3 E - 3 E - 4 E - 3 E - 4 E - 3 E - 4 E - 3 E - 5 E - 3 C - 5 C - 5 D - 4 B - 2 D - 5 B - 2 B - 2 B - 2 B - 2 B - 2 C - 2 C - 5 C - 5 D - 3 Q4101 Q4102 Q4351 Q4701 Q4702 Q4703 Q4704 Q4705 Q4706 Q4707 D - 5 D - 5 B - 6 B - 5 D - 5 D - 5 B - 5 B - 5 B - 5 B - 5 Test Point Q4708 Q4711 Q4712 Q4713 Q4714 Q4715 Q4716 Q4717 Q4718 Q4901 Q4902 Q4903 Q4904 Q4905 Q4906 Q4909 Q4910 B - 2 B - 2 B - 2 B - 6 B - 5 C - 2 E - 3 TP5V TP15V TPS5V TPFAO TPFAS TPFAV TPI2L TP001 TP002 TP017 TP018 TP019 TP020 TP021 TP022 TP023 TP024 TP025 TP026 TP027 TP028 TP029 TP030 TP031 TP040 TP041 TP042 TP043 TP044 TP045 TP101 TP104 TP105 D - 3 E - 2 E - 2 A - 5 A - 5 A - 5 A - 5 TP106 TP107 TP108 TP109 TP110 TP111 TP112 Parts Location (Foil Side) 88 DNMM3 DNMM5 DNMM4 A A PNL12V DNMM2 GND C001 C002 C003 C004 C005 C006 C211 C212 C407 C408 X501 X502 R001 R002 R003 R004 R005 R006 IC001 C031 C032 R201 R202 R203 R204 R205 R012 R206 R207 R014 IC201 R015 R016 R018 R019 C042 R020 R021 R022 R023 R024 R218 R025 R026 C436 R027 R028 L101 R029 C821 R220 R221 R030 R418 R419 R420 R425 R426 R427 TP102 TP103 R818 R819 R242 R243 C653 C654 R821 R245 L511 C655 R246 L513 R248 R824 R249 L901 L902 R250 R251 R252 R253 R254 R256 R257 R259 R836 R837 R838 FL001 R839 R260 R262 R456 R457 R263 R458 R264 R840 R459 R265 R841 R266 R842 R267 R843 R268 R844 R269 C679 R845 R846 R847 R460 R848 C680 C681 C682 R467 R468 R469 L351 R661 R662 R663 R664 R471 R859 R665 R472 R666 R473 R667 R474 R668 R669 R478 R479 R670 R671 R672 R481 DN1 DN4 DN5 DN6 DN8 R491 R492 R496 R497 C101 C102 C103 C105 ZA001 C113 C114 C502 C503 C504 D101 C702 C704 C705 C708 R111 DN11 R501 R502 R503 R504 R505 C915 C916 IC501 D702 D703 R703 R704 R706 R707 D906 R710 IC514 R711 C351 R712 R713 R520 C354 C355 R522 R717 IC904 C741 R527 R528 IC714 D721 R724 C940 R725 C941 R726 IC721 D732 D733 D734 R733 R734 R735 R541 R736 R542 R543 R544 R351 R545 R546 R547 R548 R549 R744 R550 R745 R551 R746 R552 FL103 R553 R748 R360 FL104 R554 R749 FL105 R555 FL106 R556 C581 C582 R750 R944 R751 C585 R752 C586 R753 R755 R756 R757 R759 FL501 C591 C592 FL502 C594 R760 FL504 R763 R764 R765 R571 R766 R767 R769 R770 R771 R772 R777 R778 R781 R782 R783 R784 R787 R788 R789 R790 R793 R794 R795 R796 R436 IC716 C432 R437 R127 R128 THERMAL PAD R773 FL114 FL115 FL116 R586 R584 R582 DN12 R739 C C C122 R142 R141 C121 IC111 IC112 R570 L702 R829 R830 R831 R832 R849 R851 R852 R853 R854 R855 R856 R857 R858 C891 C892 DN3 R892 R893 IC702 DN31 DN32 DN33 DN34 DN42 R382 R143 R144 C406 R432 R431 IC502 PA111 C150 R153 R152 R156 R155 IC113 L004 Q111 R150 R159 Q110 R151 R158 R161 R160 R209 R210 R212 R213 C820 C051 C052 C053 C054 C055 C056 R817 R820 L911 R461 R462 R463 R464 R465 R466 R470 DN2 R879 R880 R881 R882 R883 ZA002 C901 Q709 C902 C903 C904 Q710 L203 L204 R901 L211 C931 C932 L212 C933 IC903 C934 C935 D911 C939 IC911 C959 R934 R938 C960 R940 R941 R943 C992 FL903 FL904 FL905 TXNDN2VETC DNMM1 DN CR NO.4 2 R017 C117 C118 R113 R115 Q911 Q912 D905 C119 IC101 D107 D105 R917 R916 R919 R918 C918 C919 PbF 1 20 21 40 41 60 61 80 1 A + 1 6 7 12 1 68 14 1 1 31 1 32 1 2 19 20 A 1 13 11 9 7 5 3 12 10 8 6 4 2 B D F H K MN L J G E C 1 10 11 20 1 5 1 7 8 14 1 3 4 6 1 4 5 8 1 4 5 8 1 4 5 8 1 4 5 8 1 3 4 5 1 3 4 5 1 8 1 5 1 7 1 24 25 48 1 3 1 3 1 3 1 3 1 37 2 38 1 4 5 8 1 68 1 3 4 6 + 1 4 5 8 + + 1 4 5 8 O R D E R N O . I H G F E D C B A 1 2 3 4 5 6 TH-50PH11CK DN-BOARD TXNDN2VETC TH-50PH11CK DN-BOARD TXNDN2VETC DN-BOARD (COMPONENT SIDE) TXNDN2VETC Parts Location (Component Side) IC IC4001 IC4101 IC4111 IC4112 IC4113 IC4201 IC4501 IC4502 IC4514 IC4702 IC4714 IC4716 IC4721 IC4903 IC4904 IC4911 Q4110 Q4111 Q4709 Q4710 Q4911 Q4912 TP102 TP103 E - 3 B - 5 F - 3 D - 3 E - 3 C - 3 C - 4 B - 4 A - 5 E - 4 A - 4 B - 4 B - 5 B - 2 B - 3 A - 2 Transistor Test Point E - 3 E - 3 B - 2 B - 2 A - 3 A - 3 C - 5 B - 6 89 13.6. D 电路板 IC001 C032 IC003 R200 R201 R204 PA800 Q807 D017 Q808 D018 X900 Q809 D019 C040 R401 C041 C042 IC013 R403 C044 C045 R406 C046 C048 C049 R600 R601 C823 C053 C055 C057 R223 C058 R225 D807 D808 C832 R616 C062 C063 R618 C064 C065 D812 D816 D817 C840 C844 R824 R825 R826 R827 C468 C469 C856 C858 C859 R062 R063 R064 R065 R066 R067 R068 R839 C865 C866 C867 C868 R070 C869 D5 R071 R072 D6 R073 C870 C871 C872 C873 C889 C890 C891 FL803 X9000 D20 ZA001 D25 Q301 Q302 D31 D32 R103 R107 PA900 IC303 IC500 R120 R317 R123 R124 C535 R125 C536 R126 C537 C538 C539 C540 R130 R131 C541 R132 C542 C543 R903 R133 C544 C545 R905 C546 C547 IC900 C548 C549 IC901 C550 R145 R149 L800 L801 L802 R349 R158 C951 R159 R163 R166 R938 R939 R360 R363 R940 R170 FL300 R944 FL301 R947 R948 C971 C972 R370 R371 R951 R952 R953 R954 R955 R578 R194 R965 R966 R197 R199 R391 R586 R976 R986 R991 R992 R995 TXN/D1VETC 1 C A D D E A CR NO.9 E B B C D VIN HIN TP312 TP311 PbF 1 5 8 4 1 25 26 50 51 75 76 100 1 7 8 14 + + 1 31 1 2 19 20 + O R D E R N O . 1 30 1 13 1 8 6 1 5 5 1 24 25 48 1 25 26 50 51 75 76 100 1 2 3 4 5 6 7 8 9 10 11 12 13 141516 17 18 19 20 21 22 23 24 25 26 A B C D E F G H J K L M N P R T U V W Y AA AB AC AD AE AF 1 1 3 1 9 7 5 3 12 10 8 6 4 2 B D F H K M N L J G E C Q010 C028 C029 IC002 C033 C034 C035 C036 C037 R203 C038 Q805 R205 C039 Q806 R206 R207 R400 IC011 R402 R404 R405 C047 R215 C050 R604 C051 C052 R608 C825 R609 C056 R610 R611 C061 IC802 IC803 IC805 IC806 C837 D813 D814 D815 C841 C842 C845 C846 L900 L901 L902 L903 C853 C854 C855 C860 C861 C862 C863 C864 R840 R846 R847 R848 R849 C874 C877 R850 C878 R851 C879 R854 C880 R859 C881 C882 C883 C884 C885 C886 C887 C888 R868 R869 FL805 FL806 R870 R871 R878 R879 R886 R887 R888 R889 R890 R891 R892 R893 R894 R895 R896 R897 R898 R899 R105 C900 C901 C902 C903 D110 C904 C905 C906 C907 C908 R110 C909 R115 R116 C910 C911 R119 C912 C913 C914 C915 C916 C917 C918 C919 R121 R122 R128 C920 C921 R129 C922 C923 C924 C925 C927 C928 C929 R906 R907 C930 C931 C932 C933 C934 C935 C936 C937 C938 R141 C939 R142 C940 C941 C942 C943 C944 C945 C946 C947 C948 R150 C949 R151 R347 R348 R154 R155 C950 C952 C953 C954 R350 C955 R351 C956 R352 C957 R353 R354 C958 C959 R355 R356 R162 R357 R358 R164 R359 R165 R936 R937 C960 C961 C962 C963 C964 R361 C965 C966 R362 C967 C968 R171 R172 R943 R369 R945 R946 C970 R949 C973 C974 C975 C976 C977 C978 R950 C979 R185 R186 R187 C980 R188 R189 R385 R964 R967 R968 R198 R969 R587 R394 R970 R588 R972 R396 R973 R397 R974 R398 R399 R975 R977 R598 R983 R987 R988 R989 TXN/D1VETC CR NO.9 1 D F F G G H H SEE REVERSE FOR ORDER NO. 1 2 3 TP077 TP076 TP196 TP862 TP006 TP871 TP872 TP9000 TP011 TP010 P b F 1 3 4 6 1 3 4 6 1 10 11 20 1 10 11 20 1 15 16 30 12 13 24 1 I H G F E D C B A 1 2 3 4 5 6 TH-50PH11CK D-BOARD TXN/D1VETC TH-50PH11CK D-BOARD TXN/D1VETC D-BOARD (COMPONENT SIDE) TXN/D1VETC D-BOARD (FOIL SIDE) TXN/D1VETC Parts Location (Component Side) Parts Location (Foil Side) IC IC9001 IC9003 IC9013 IC9303 IC9500 IC9900 IC9901 C - 3 B - 3 C - 3 C - 2 A - 3 C - 2 B - 2 Transistor Q9301 Q9302 Q9807 A - 2 A - 2 A - 2 A - 2 A - 2 Test Point Q9808 Q9809 A - 3 A - 3 TP311 TP312 IC IC9002 IC9011 IC9802 IC9803 IC9805 IC9806 C - 6 B - 6 C - 6 C - 6 C - 5 C - 5 Transistor Q9010 Q9805 Q9806 A - 6 C - 5 C - 5 Test Point C - 5 C - 4 B - 6 B - 5 B - 5 C - 5 C - 5 A - 6 A - 6 B - 6 TP006 TP010 TP011 TP076 TP077 TP196 TP862 TP871 TP872 TP9000 D 90 13.7. C1 电路板 A E D C B I H G F 1 2 3 4 5 6 IC101 IC102 C111 C112 C113 C114 C115 C117 C121 C122 C123 C124 C125 C127 FL101 C131 C132 C133 C134 C135 C137 ZA101 ZA102 ZA103 ZA104 ZA105 ZA106 C141 C142 C143 C144 C145 C147 C151 C152 C153 C154 C155 C157 D111 C161 C163 C165 D121 D131 D141 R111 D151 R112 R113 R114 R115 R116 R117 R121 R122 R123 R124 R125 R126 R127 R131 R132 R133 R134 R135 R136 R137 R141 R142 R143 R144 R145 R146 R147 R151 R152 R153 R154 R155 R156 R157 R161 R162 R163 R164 R165 R166 R167 R170 R171 R172 CB1 CB2 CB3 CB4 CB5 R191 R192 C10 C11 CR NO.17 1 C1 TXNC11RQTC PbF 1 10 11 20 1 10 11 20 O R D E R N O . 1 20 1 68 1 68 1 68 1 68 1 68 1 55 1 20 1 55 TXNC11RQTC 1 1 2 3 C1 PbF S E E R E V E R S EF O R O R D E R N O . C1-BOARD (FOIL SIDE) TXNC11RQTC C1-BOARD (COMPONENT SIDE) TXNC11RQTC TH-50PH11CK C1-BOARD TXNC11RQTC TH-50PH11CK C1-BOARD TXNC11RQTC Parts Location C1-BOARD IC17101 I-2 IC17102 I-2 C IC I C1 91 13.8. C2 电路板 I H G F E D C B A 1 2 3 4 5 6 C20 C21 C22 R271 R272 R273 R274 R275 R291 IC201 CB6 IC202 CB7 IC203 CB8 C211 C212 C213 C214 C215 C217 C221 C222 C223 C224 C225 C227 FL201 FL202 C231 C232 C233 C234 C235 C237 ZA201 ZA202 ZA203 ZA204 D211 C261 C262 C264 C266 C268 D221 D231 R211 R212 R213 R214 R215 R216 R217 R221 R222 R223 R224 R225 R226 R227 R231 R232 R233 R234 R235 R236 R237 R261 R262 R263 R264 R265 R266 R267 R268 CR NO.17 C2 1 TXNC21RQTC PbF 1 20 1 68 1 55 1 68 1 68 O R D E R N O . 1 10 11 20 11 20 1 10 1 68 1 10 11 20 1 20 55 1 55 1 68 1 68 TXNC21RQTC C2 1 2 3 1 PbF S E E R E V E R S EF O R O R D E R N O . C2-BOARD (FOIL SIDE) TXNC21RQTC C2-BOARD (COMPONENT SIDE) TXNC21RQTC TH-50PH11CK C2-BOARD TXNC21RQTC TH-50PH11CK C2-BOARD TXNC21RQTC Parts Location C2-BOARD IC17201 C-2 IC17202 B-2 IC17203 D-2 C IC I C2 92 13.9. C3 电路板 I H G F E D C B A 1 2 3 4 5 6 IC301 IC302 C32 IC303 C33 IC304 C311 C312 C313 C314 C315 C317 C321 C322 C323 C324 C325 C327 FL301 C331 C332 C333 C334 C335 C337 ZA301 ZA302 ZA303 ZA304 D311 C361 C362 C364 C366 C368 D321 D331 C390 C391 CB10 CB11 R311 R312 R313 R314 R316 R317 R321 R322 R323 R324 R326 R327 R331 R332 R333 R334 R336 R337 R361 R362 R363 R364 R365 R366 R367 R368 R369 R371 R372 R373 R374 R375 CB9 R376 R377 R378 R379 R380 R390 R391 TXNC31RQTC CR NO.17 1 C3 PbF 1 20 11 10 1 10 20 11 1 55 1 10 11 20 1 12 1 10 11 20 O R D E R N O . 1 68 1 68 1 68 1 55 TXNC31RQTC 1 C3 1 2 3 PbF S E E R E V E R S EF O R O R D E R N O . C3-BOARD (FOIL SIDE) TXNC31RQTC C3-BOARD (COMPONENT SIDE) TXNC31RQTC TH-50PH11CK C3-BOARD TXNC31RQTC TH-50PH11CK C3-BOARD TXNC31RQTC Parts Location C3-BOARD IC17301 B-2 IC17302 B-2 IC17303 E-2 IC17304 F-2 C IC I C3 93 13.10.SC 电路板 D C B A I H G F E 1 2 3 4 5 6 SC41 SC42 TP90 TP91 SC46 TP92 TP93 TP94 TP95 TP96 L697 L698 L699 C563 C592 IC784 IC786 IC788 C791 C795 C796 R731 ZA421 ZA422 D583 R738 ZA411 ZA412 VR600 VR601 VR602 C411 C412 C413 C414 C418 R774 C419 C806 C813 C822 C632 C633 C634 C440 Q401 C635 Q402 Q403 Q 404 Q601 D401 C641 D402 C450 L591 C842 Q805 Q806 C460 Q421 Q422 D421 Q441 Q442 Q641 Q642 Q643 Q644 Q645 Q451 C691 TP1 TP2 TP4 TP5 R611 TP6 TP7 R613 TP8 TP9 Q661 D461 D462 L401 L402 L403 L404 D471 L411 SC2 L412 L413 L414 D481 D482 TP10 TP11 L801 TP12 TP13 TP14 TP15 TP16 TP17 TP18 TP19 D491 TP20 TP21 TP22 TP23 TP24 TP25 TP26 TP27 TP28 TP29 TP30 R658 TP31 TP32 TP33 TP34 TP35 TP36 TP37 TP38 TP39 R855 R856 TP41 TP42 TP43 TP44 R860 TP51 TP52 TP53 TP54 R870 TP55 TP56 TP57 TP58 TP59 TP60 TP61 TP62 TP63 TP64 TP65 IC791 TP66 L472 C721 R696 TP70 TP73 TP74 TP78 TP79 SC30 TP80 TP81 2 3 TNPA4393 SC 1 1 PbF CRNo.16 1 2 22 23 1 2 22 23 1 2 8 9 G D S 5 6 10 1 5 6 10 1 5 6 1 0 1 S E E R E V E R S EF O R O R D E R N O . G C E G C E G C E G C E G S D A A K A A K E C B E B C G C E G C E A A K G C E G C E G S D G S D G S D G S D G S D G C E G C E A A K A A K A A K 1 3 A A K A A K A A K 1 9 8 1 SC-BOARD (FOIL SIDE) TXNSC1RQTC TH-50PH11CK SC-BOARD TXNSC1RQTC TH-50PH11CK SC-BOARD TXNSC1RQTC 94 TH-50PH11CK SC-BOARD PARTS LOCATION TH-50PH11CK SC-BOARD PARTS LOCATION Parts Location SC-BOARD (FOIL SIDE) IC16784 G-3 IC16786 H-2 IC16788 A-5 IC16791 H-2 Q16401 D-4 Q16402 C-4 Q16403 B-4 Q16404 B-4 Q16421 F-4 Q16422 G-4 Q16441 D-1 Q16442 C-2 Q16451 F-2 Q16601 D-5 Q16641 F-5 Q16642 F-5 Q16643 F-5 Q16644 E-5 Q16645 E-5 Q16661 G-5 Q16805 I-4 Q16806 I-5 IC TRANSISTOR TP1 A-3 TP2 A-3 TP4 A-3 TP5 A-3 TP6 I-2 TP7 I-2 TP8 B-1 TP9 B-1 TP10 I-1 TP11 I-1 TP12 H-2 TP13 H-1 TP14 H-1 TP15 H-1 TP16 H-2 TP17 H-2 TP18 H-1 TP19 H-1 TP20 H-2 TP21 H-1 TP22 H-1 TP23 H-2 TP24 I-2 TP25 I-2 TP26 I-1 TP27 I-1 TP28 G-2 TP29 H-6 TP30 I-6 TP31 D-2 TP32 E-5 TP33 C-1 TP34 A-4 TP35 A-6 TP36 H-1 TP37 H-1 TP38 H-1 TP39 H-1 TEST POINT VOLUME Parts Location SC-BOARD (COMPONENT SIDE) IC16471 B-5 IC16472 A-4 IC16501 E-3 IC16521 E-1 IC16561 C-2 IC16562 C-1 IC16581 H-1 IC16724 B-5 IC16725 B-5 IC16752 G-4 IC16771 B-4 IC16772 B-4 IC16784 C-3 IC16786 B-3 IC16787 A-3 IC16788 I-4 IC16789 I-4 IC16791 B-2 IC PC16480 A-4 PC16601 H-5 PC16602 H-5 PC16603 H-5 PC16705 B-4 PC16710 B-4 PC16896 B-4 PC16897 B-3 Q16401 F-4 Q16402 G-4 Q16403 H-4 Q16404 H-4 Q16421 D-4 Q16422 C-4 Q16441 F-1 Q16442 G-1 Q16451 D-2 Q16471 A-5 Q16501 E-4 Q16521 E-4 Q16531 F-1 Q16532 F-1 Q16551 E-1 Q16552 E-1 Q16581 H-1 Q16601 F-5 Q16602 G-5 Q16603 G-5 Q16604 H-5 Q16605 H-5 Q16606 G-5 Q16607 G-6 Q16608 H-6 PHOTO COUPLER TRANSISTOR TP3 C-2 TP46 B-2 TP82 A-2 TP97 H-5 TPSC1 A-5 TPSOS6 B-2 TPSOS7 A-2 TPVAD A-3 TPVSCN A-3 TPVSET I-5 TPVSUS I-2 TEST POINT VR16600 B-3 VR16601 G-5 VR16602 B-4 VOLUME TP41 F-6 TP42 F-6 TP43 F-6 TP44 F-6 TP51 I-5 TP52 H-1 TP53 H-4 TP54 B-6 TP55 B-6 TP56 B-6 TP57 B-6 TP58 B-6 TP59 H-6 TP60 H-6 TP61 H-6 TP62 H-6 TP63 H-6 TP64 B-5 TP65 A-4 TP66 A-4 TP70 H-1 TP73 H-2 TP74 H-2 TP78 I-5 TP79 I-5 TP80 H-5 TP81 H-5 TP90 B-2 TP91 B-2 TP92 F-1 TP93 F-1 TP94 I-3 TP95 I-3 TP96 H-5 VR16600 H-3 VR16601 C-5 VR16602 H-4 Q16621 F-4 Q16622 F-4 Q16623 F-4 Q16641 D-5 Q16642 D-5 Q16643 D-5 Q16644 E-5 Q16645 E-5 Q16661 C-5 Q16662 B-4 Q16663 C-4 Q16664 B-4 Q16665 B-4 Q16762 F-4 Q16781 B-5 Q16791 A-4 Q16794 A-4 Q16805 A-4 Q16806 A-5 Q16814 B-3 Q16815 B-3 Q16816 B-3 Q16817 B-3 Q16871 A-3 Q16872 I-4 Q16873 H-4 Q16874 H-4 Q16875 I-5 Q16876 B-2 Q16879 H-5 Q16881 I-4 Q16882 I-4 SC 95 I H G F E D C B A 1 2 3 4 5 6 SC41 D501 SC42 D503 SC46 TP97 L697 L698 L699 D706 C752 C753 D708 C754 Q521 C755 C756 C562 C563 C564 C565 IC752 C566 D710 D711 IC561 D712 IC562 D713 D714 D715 D521 D522 D717 D523 D718 D719 Q531 Q532 D720 D721 D722 D725 C771 D726 C772 C773 C774 C775 C581 C582 IC771 IC772 IC581 R501 R502 R503 R504 Q551 R506 Q552 C592 R507 C593 R508 R509 R700 IC784 R701 R702 IC786 R703 IC787 R704 R510 IC788 R705 R511 IC789 C791 R706 R512 R707 C795 R516 C796 R517 R521 R522 Q762 R717 R523 R720 R721 D761 R722 R723 D763 D764 R725 R531 D765 R726 R532 D766 R727 R533 R728 R729 Q581 R730 R731 D771 R732 R733 R734 ZA421 R735 Q781 ZA422 R736 R737 D583 R738 R739 D585 R740 R744 ZA411 R551 Q791 ZA412 R552 R553 R748 Q794 R749 R750 R751 D791 R752 R753 R754 R561 R756 R562 R757 R563 VR600 R564 VR601 R565 VR602 R566 R567 R568 C401 C402 C403 C404 R761 R762 R765 R766 R768 C601 R769 C602 C603 C604 C605 C411 C606 C412 C607 C413 C608 C414 C609 R771 C418 R774 R580 C419 R775 R776 R582 R777 R583 R778 R584 R779 R585 C806 R586 R587 R588 C421 R589 C422 R781 R782 R590 R785 R591 C812 R786 R592 C813 R787 R593 R788 R789 R791 R792 R794 ZA401 C821 R795 ZA402 C822 R796 ZA403 C823 C824 PC601 C825 PC602 C826 C632 PC603 C827 C633 C634 C440 Q401 C635 C441 Q402 C442 Q403 Q404 C832 Q601 D401 C641 D402 Q602 Q603 Q604 C450 Q605 C451 Q606 Q607 D407 Q608 L591 D601 D602 C842 C843 D604 C844 Q805 D605 Q806 D606 D607 D608 C460 D609 Q421 Q422 D610 Q814 Q815 D421 Q621 C855 C661 Q816 Q622 C856 C662 Q817 Q623 C857 D618 C858 C664 D619 C859 C665 C471 C666 C472 C860 D621 C861 IC471 D816 D622 C862 IC472 D817 D623 C863 C864 C866 PC896 C867 PC897 C868 C480 Q441 C869 Q442 D820 D821 D822 D823 D824 D825 D631 C871 D632 R401 Q641 D441 R402 Q642 R403 Q643 R404 Q644 Q645 Q451 C491 D830 R600 R601 D641 R602 D836 D642 R603 D837 D643 R604 D838 D644 R605 D839 D451 C691 R606 R607 R608 R609 TP3 R610 D650 R611 IC521 R612 R613 R615 R421 Q661 D461 R616 R422 D462 Q662 R617 Q663 R618 Q664 PC480 D659 R619 Q665 D465 Q471 D466 R620 IC724 D660 L401 R621 IC725 D661 L402 R622 D662 R816 L403 R623 D663 L404 D664 D859 D665 D471 D666 D472 D667 D473 D668 D669 D475 D476 D860 D478 D861 R822 D862 R823 R824 D670 L411 R825 D671 Q871 SC2 L412 R826 R632 Q872 D672 L413 R827 R633 Q873 L414 R634 Q874 D480 R635 R441 Q875 D481 R636 R442 Q876 D482 R638 L801 R639 Q879 R831 D871 R832 D872 R833 D873 D874 R641 D875 Q881 R642 Q882 R837 R643 R838 R644 R645 R451 D491 D497 R841 R844 R845 R846 PC710 R657 R658 R659 R465 R466 R467 R850 R468 R851 R852 R853 R660 R855 R661 R856 R662 R857 R663 R858 R664 R665 R471 R666 R472 R667 R473 R668 R474 R669 R475 C502 R476 R477 C504 R860 R478 C505 R861 R479 R862 TP46 R863 R864 R670 IC501 R865 R671 R866 R672 R867 R868 R674 R480 R675 C708 R870 R871 R872 R873 R874 R680 R875 R681 R682 R878 R879 C521 C522 C524 C525 IC791 C527 L472 R886 R887 SC20 R888 C721 R696 C723 C724 C725 SC30 Q501 PC705 TP82 TPVSET TPVSCN TPVAD TPSOS6 TPVSUS TPSC1 50 ’’ Discharge 42 ’’ 37 ’’ H.V.DANGER H.V.DANGER H.V.DANGER H.V.DANGER 42W’’ DIP TPSOS7 SCMM3 SCMM2 SCMM1 1 SC TNPA4393 PbF CRNo.16 1 2 22 23 1 2 22 23 1 2 8 9 1 9 16 1 10 11 20 1 10 11 20 D G S 1 30 1 4 5 8 1 4 5 8 1 5 6 10 1 5 6 10 1 3 4 5 1 5 6 10 1 3 4 5 O R D E R N O . 1 2 3 4 1 2 3 4 C G E C G E C G E C G E G S D A A K A A K G D S B C E B C E C G E C G E A A K D G S D G S D G S 3 4 5 1 3 4 5 1 2 3 4 1 1 2 3 4 C G E C G E G S D G S D G S D G S D G S D C G E 1 2 3 4 1 8 9 16 C G E A A K A A K 1 2 3 4 A A K 1 3 A A K A A K A A K 1 2 3 4 1 8 9 16 1 8 9 16 9 1 1 30 8 1 SC-BOARD (COMPONENT SIDE) TXNSC1RQTC TH-50PH11CK SC-BOARD TXNSC1RQTC TH-50PH11CK SC-BOARD TXNSC1RQTC 96 13.11.SU 电路板 I H G F E D C B A 1 2 3 4 5 6 SU11 SU41 SU1 SU2 SU3 SU4 C901 C902 C903 C904 C905 C906 C907 C908 C909 IC901 IC902 IC903 IC904 IC905 IC906 C910 C911 C912 C913 C914 C915 C916 C917 C918 C923 C924 C927 C928 C929 C930 C931 C932 C933 C934 C935 C936 C937 C938 C939 ZA901 ZA902 C940 C941 C942 C944 C945 C946 C947 C948 C949 D901 D902 D903 D904 D905 D906 D907 D908 D909 D910 TPSU1 TPSU2 TPSU3 TPSU4 TPSU5 TPSU6 R901 R902 R903 R904 R905 R906 R907 R908 R909 R910 R911 R912 R913 R914 R915 R916 R917 R919 R920 R921 R922 R923 R924 R925 R926 R927 1 SU H . V . D A N G E R H . V . D A N G E R TNPA4397 CRNo. 14 P b F 1 2 0 A 1 A 4 8 B 4 8 B 1 A 1 B 1 A 4 8 B 4 8 2 2 2 1 A 1 B 1 A 4 8 B 4 8 A 1 B 1 A 4 8 B 4 8 O R D E R N O . B 1 B 4 8 A 1 A 4 8 B 1 B 4 8 A 1 A 4 8 B 1 B 4 8 A 1 A 4 8 B 1 B 4 8 A 4 8 A 1 1 2 5 2 6 5 0 5 1 7 5 7 6 1 0 0 1 2 5 2 6 5 0 5 1 7 5 7 6 1 0 0 1 2 5 2 6 5 0 5 1 7 5 7 6 1 0 0 1 2 5 2 6 5 0 5 1 7 5 7 6 100 1 2 5 2 6 5 0 5 1 7 5 7 6 100 1 2 5 2 6 5 1 7 5 7 6 5 0 1 0 0 1 2 0 B 4 8 A 4 8 B 1 A 1 B 4 8 A 4 8 B 1 A 1 B 4 8 A 4 8 B 1 A 1 B 4 8 A 4 8 B 1 A 1 TNPA4397 SU 1 3 2 1 SUMM1 P b F S E E R E V E R S E F O R O R D E R N O . SU-BOARD (FOIL SIDE) TXNSU1RQTC SU-BOARD (COMPONENT SIDE) TXNSU1RQTC TH-50PH11CK SU-BOARD TXNSU1RQTC TH-50PH11CK SU-BOARD TXNSU1RQTC Parts Location SU-BOARD IC14901 H-2 IC14902 G-2 IC14903 E-2 IC14904 D-2 IC14905 C-2 IC14906 B-2 TPSU1 A-2 TPSU2 G-2 TPSU3 A-2 TPSU4 G-2 TPSU5 G-2 TPSU6 D-2 C IC I TEST POINT SD 97 13.12.SD 电路板 I H G F E D C B A 1 2 3 4 5 6 R968 R969 R970 R971 R972 R973 R974 R975 R976 R977 R978 R979 R980 R981 R982 R983 R984 R985 R986 R987 R988 R989 R990 R991 R992 R993 R994 R995 R996 R997 R998 TPSD1 TPSD2 TPSD3 TPSD4 TPSD5 TPSD6 SD11 SD42 SD46 C926 C350 C943 C950 C951 C952 C953 C954 C955 C956 C957 C958 C959 IC951 IC952 IC953 IC954 IC955 IC956 C960 C961 C962 C963 C964 C965 C966 C967 C968 C969 IC961 IC962 IC963 C970 C971 C972 C973 C974 C975 C976 C977 C978 C979 C980 C981 SD1 C982 SD2 C983 SD3 C984 SD4 C985 C986 C987 C988 C989 C990 C991 C992 C993 C994 C995 C996 C997 C998 C999 D951 D952 D953 D954 Q961 D955 PC951 Q962 D956 PC952 D957 D958 D959 ZA951 ZA952 D960 D961 D962 D963 D964 R349 D965 D966 D967 D968 D969 D971 D972 D973 D974 D975 D976 R943 R944 R945 R946 R947 R948 R949 R950 R951 R952 R953 R954 R955 R956 R957 R958 R959 R960 R961 R962 R963 R964 R965 R966 R967 H.V.DANGER SD 1 H.V.DANGER TNPA4398 CRNo. 14 P b F A 1 A 4 8 B 4 8 B 1 B 1 B 4 8 A 4 8 A 1 A 1 A48 B 4 8 B 1 2 2 2 1 2 3 1 9 8 2 A 1 B 1 B 4 8 A 4 8 1 2 5 2 6 5 0 5 1 7 5 7 6 100 1 5 0 5 1 7 5 7 6 1 0 0 2 5 2 6 1 2 5 2 6 5 0 5 1 7 5 7 6 1 0 0 1 2 5 2 6 5 0 5 1 7 5 7 6 1 0 0 1 2 5 5 0 5 1 1 0 0 7 5 7 6 2 6 1 7 5 1 0 0 7 6 2 5 2 6 5 0 5 1 1 7 8 14 7 8 14 1 1 3 5 4 B 1 B 4 8 A 1 A 4 8 B 1 B 4 8 A 1 A 4 8 B 4 8 A 1 A48 B 1 B 1 B 4 8 A 1 A 4 8 N O . O R D E R B 4 8 A 4 8 B 1 A 1 B 4 8 A 4 8 B 1 A 1 B 4 8 A48 B 1 A 1 B 4 8 A 4 8 B 1 A 1 1 20 1 20 1 1 2 3 SD TNPA4398 SDMM1 P b F S E E R E V E R S E F O R O R D E R N O . SD-BOARD (FOIL SIDE) TXNSD1RQTC SD-BOARD (COMPONENT SIDE) TXNSD1RQTC TH-50PH11CK SD-BOARD TXNSD1RQTC TH-50PH11CK SD-BOARD TXNSD1RQTC Parts Location SD-BOARD IC14951 G-2 IC14952 F-2 IC14953 E-2 IC14954 D-2 IC14955 C-2 IC14956 B-2 IC14961 H-2 IC14962 H-2 IC14963 G-1 Q14961 G-1 Q14962 G-2 TPSD1 B-2 TPSD2 H-2 TPSD3 B-2 TPSD4 H-2 TPSD5 B-2 TPSD6 E-2 C IC I TEST POINT TRANSISTER SD 98 13.13.SS2 和 SS3 电路板 I H G F E D C B A 1 2 3 4 5 6 SS02 SS52 TNPA4395 1 SS2 SS03 TNPA4396 1 SS3 SS57 P b F P b F 7 1 2 6 1 1 3 S E E R E V E R S E F O R O R D E R N O . 1 1 3 7 1 2 6 S E E R E V E R S E F O R O R D E R N O . 1 1 3 1 1 3 SS02 SS52 TNPA4395 1 SS2 SS03 1 SS3 TNPA4396 SS57 P b F P b F 7 1 2 6 1 3 1 O R D E R N O . 1 1 3 7 1 2 6 O R D E R N O . 1 3 11 1 3 SS2-BOARD (FOIL SIDE) TXNSS21RQTC SS2-BOARD (COMPONENT SIDE) TXNSS21RQTC SS3-BOARD (FOIL SIDE) TXNSS31RQTC SS3-BOARD (COMPONENT SIDE) TXNSS31RQTC TH-50PH11CK SS2-BOARD TXNSS21RQTC SS3-BOARD TXNSS31RQTC TH-50PH11CK SS2-BOARD TXNSS21RQTC SS3-BOARD TXNSS31RQTC SS3 SS2 99 13.14.SS 电路板 I H G F E D C B A 1 2 3 4 5 6 Q331 Q335 SS11 SS12 SS21 SS22 SS23 SS34 L103 R327 SS53 SS54 SS55 SS56 VR000 C201 C202 C203 C204 C011 C012 C013 C014 C015 T301 Q001 Q002 Q003 D001 C241 Q021 Q022 Q023 D021 C261 D022 C262 C272 Q041 Q042 D041 D042 Q051 Q052 D051 D052 D253 L001 L002 L003 L004 TPVSUS D071 TP2 TP3 TP4 TP5 TP6 TP7 TP8 TP9 L011 L012 L013 L014 D091 D092 L221 TP10 TP11 TPVDA TP13 TP14 TP15 TP16 TP17 TP18 TP19 TP20 TPSOS8 TP24 TP25 TP26 TP27 TP28 TP29 SS53A TP30 TP31 TP33 TP34 TPVe2 C301 TP36 TP38 TP39 SS54A IC301 TP40 TP41 TPVe TPSS1 C310 SS55A L262 TP51 TP52 TP53 TP54 TP55 TP56 C323 C324 C328 SS56A C329 L271 C R N o . 1 6 TNPA4394 SS 1 1 2 3 SSMM7 PbF 1 1 3 D S G D S G 1 3 1 1 0 1 7 6 2 1 7 6 2 1 2 1 1 3 1 1 3 1 1 3 1 1 3 1 1 3 S E E R E V E R S E F O R O R D E R N O . S 1 S 2 P 2 P 1 P T B P T A G C E G C E G C E A A K 1 1 3 1 1 3 1 1 3 G C E G C E G C E A A K A A K G C E G C E A A K A A K G C E G C E A A K A A K 1 1 3 A A K A A K A A K 1 1 3 1 1 3 5 6 1 0 1 1 1 3 1 1 3 1 1 3 1 1 3 1 1 3 P 2 P 1 P T S 1 S 2 SS-BOARD (FOIL SIDE) TXNSS1RQTC TH-50PH11CK SS-BOARD TXNSS1RQTC TH-50PH11CK SS-BOARD TXNSS1RQTC Parts Location SS-BOARD (FOIL SIDE) IC Q16001 E-2 Q16002 E-2 Q16003 F-2 Q16021 C-2 Q16022 B-2 Q16023 C-2 Q16041 D-4 Q16042 E-4 Q16051 C-3 Q16052 C-3 Q16331 F-2 Q16335 F-2 IC16301 G-3 TP25 I-2 TP26 I-2 TP27 G-1 TP28 I-2 TP29 C-1 TP30 A-1 TP31 A-1 TP33 I-3 TP34 I-3 TP36 I-2 TP38 F-3 TP39 E-3 TP40 B-2 TP41 B-2 TP51 A-2 TP52 I-2 TP53 B-1 TP54 D-1 TP55 G-1 TP56 I-1 TPSOS8 I-2 TPSS1 G-1 TPVDA I-3 TPVe H-2 TPVe2 H-2 TPVSUS F-3 TP2 G-4 TP3 G-4 TP4 G-4 TP5 H-4 TP6 I-3 TP7 H-4 TP8 H-4 TP9 H-4 TP10 H-4 TP11 H-4 TP13 I-3 TP14 H-3 TP15 I-3 TP16 I-3 TP17 I-3 TP18 I-3 TP19 I-3 TP20 I-3 TP24 I-2 TRANSISTOR TEST POINT TRANSISTOR VR16000 H-3 VOLUME SS 100 I H G F E D C B A 1 2 3 4 5 6 D310 D311 D312 D313 D314 Q321 D320 D321 D322 D324 D325 Q331 D131 D326 D132 Q335 Q141 Q339 D331 D335 R102 D336 R104 C192 C194 SS11 R109 C195 SS12 C197 R300 R301 R302 R303 R304 R110 R305 D151 R306 D152 R307 D153 R308 R309 Q161 R116 SS21 SS22 SS23 R310 R311 R312 R313 R314 R315 R316 R317 Q171 Q172 SS34 R320 R321 L102 R322 TPSS1 R323 L104 R324 R325 R131 R326 R132 R327 R134 R135 Q181 R136 Q182 R137 R138 L301 R331 IC241 R333 R334 R141 R142 R336 R143 R338 R339 Q191 SS53 SS54 R340 SS55 SS56 R150 R151 D191 R152 D192 R153 R154 R155 VR000 R159 R161 R162 R163 C001 C002 C003 R171 R172 R173 C201 C202 C203 C204 C011 C012 C013 C014 C015 R181 R182 R183 C021 C022 C023 R191 R192 R193 R194 R195 ZA001 ZA002 ZA003 T301 R399 Q001 C041 Q002 Q003 D001 C241 C242 C243 C051 C251 C252 Q021 Q022 Q023 IC251 L398 L399 D021 C261 D022 C262 C071 C072 D032 C272 Q041 Q042 D040 C280 R001 D041 C281 R002 D042 C282 R003 C283 C284 Q051 C285 C091 Q052 C092 D050 D051 Q251 D052 D253 R021 D255 R022 R023 R220 L001 R221 IC131 L002 L003 L004 R031 D071 R032 D072 R033 R034 R230 L011 R231 D271 L012 L013 L014 Q280 R041 R042 D280 R241 D281 R242 D282 D283 D284 R051 D091 R052 D092 TPVe R251 R252 R253 R254 R255 R256 R257 R258 R259 R260 R261 C301 C302 TPSOS8 IC301 IC302 IC303 R280 R281 IC191 R282 R283 C310 R284 C311 R285 C312 R286 C313 R287 R288 R289 TPVDA R290 R291 R292 C320 C321 C322 C323 C324 C325 C131 C326 C133 C328 C329 C135 TPVSUS C330 C331 C332 C335 Q102 C336 C337 Q104 Q301 Q302 D102 Q304 D104 C151 C152 C153 C154 C157 D300 D301 IC151 D302 Discharge TNPA4394 1 SS Discharge 50’’ 42’’ 37’’ C R N o . 1 6 DIP 42W’’ 50’’ 42W’’ SSMM5 SSMM4 SSMM3 SSMM2 SSMM6 37’’ 42’’ SSMM1 SSMM7 PbF 1 3 1 G S D G S D D G S 1 3 1 0 1 1 7 6 2 1 7 6 2 1 1 2 1 3 1 11 20 10 1 3 1 1 3 1 1 3 1 3 1 O R D E R N O . S2 S1 PTA P2 PTB P1 C G E C G E C G E A A K 1 1 3 1 1 3 1 1 3 C G E C G E C G E 1 4 5 8 A A K A A K C G E C G E A A K A A K C G E C G E A A K A A K 1 1 3 A A K 1 8 9 1 6 A A K A A K 1 3 1 16 1 3 1 1 5 6 1 0 1 1 3 1 8 9 1 3 1 1 3 1 D G S D G S 1 1 3 1 8 9 16 1 3 1 S 1 S 2 P T P2 P 1 SS-BOARD (COMPONENT SIDE) TXNSS1RQTC TH-50PH11CK SS-BOARD TXNSS1RQTC TH-50PH11CK SS-BOARD TXNSS1RQTC Parts Location SS-BOARD (COMPONENT SIDE) IC IC16131 F-2 IC16151 F-3 IC16191 B-3 IC16241 B-3 IC16251 F-2 IC16301 C-3 IC16302 C-2 IC16303 B-3 Q16001 E-2 Q16002 E-2 Q16003 D-2 Q16021 G-2 Q16022 H-2 Q16023 G-2 Q16041 F-4 Q16042 E-4 Q16051 G-3 Q16052 H-3 Q16102 B-2 Q16104 B-2 Q16141 F-1 Q16161 F-2 Q16171 E-3 Q16172 F-3 Q16181 F-3 Q16182 G-3 Q16191 B-2 Q16251 G-2 Q16280 A-2 Q16301 C-2 Q16302 C-2 Q16304 C-2 Q16321 B-2 Q16331 C-2 Q16335 D-2 Q16339 B-2 TRANSISTOR TPSOS8 A-3 TPSS1 C-1 TPVDA A-3 TPVe B-2 TPVSUS D-3 TRANSISTOR TEST POINT VR16000 C-3 VOLUME SS 101 14 零件位置和零件清单 14.1. 电器部件更换清单 14.1.1. 更换部件清单注意事项 102 14.1.2. 电器部件更换清单 除在备注栏中标注 [PPDS] 的部件由 PPDS 提供,所有零件均由 PAVC-CSG 提供。 安全 标记 参考号 部品号 部品名称 & 说明 件数 备注 C10 K1MN20BA0231 20P 连接接头 1 C11 K1MN55BA0266 55P 连接接头 1 C20 K1MN20BA0266 20P 连接接头 1 C21 K1MN68BA0266 68P 连接接头 1 C22 K1MN55BA0266 55P 连接接头 1 C32 K1MN55BA0266 55P 连接接头 1 C33 K1KA12BA0107 12P 连接接头 1 C801 F1K1C1060004 C 0.010UF, 16V 1 C802 ECJ3YB1E106M C 10 UF, K, 25V 1 C803 F1H1H472A970 C 4700PF, K, 50V 1 C805 F1H1E104A129 C 0.1UF, 25V 1 C809 F1K1C1060004 C 0.010UF, 16V 1 C810 F1G1E103A123 C 0.010UF, K, 16V 1 C812 ECJ3YB1E106M C 10 UF, K, 25V 1 C815 F1H1E104A129 C 0.1UF, 25V 1 C818 F1H1H392A970 C 3900PF, K, 50V 1 C819 ECJ3YB1A106M C 10UF, M,6.3V 1 C821 ECJ3YB1A106M C 10UF, M,6.3V 1 C822 ECJ3YB1E106M C 10 UF, K, 25V 1 C824 F1H1H392A970 C 3900PF, K, 50V 1 C825 F1H1E104A129 C 0.1UF, 25V 1 C828 F1G1E103A123 C 0.010UF, K, 16V 1 C831 F2G1C470A022 E 47UF, 16V 1 C832 F1H1E104A129 C 0.1UF, 25V 1 C833 F1H1H103A970 C 0.001UF, K, 50V 1 C834 F2G1C470A022 E 47UF, 16V 1 C835 F1H1A1050032 C 10UF, 50V 1 C836 F1G1E103A123 C 0.010UF, K, 16V 1 C837 F1J0J106A020 C 0.010UF, K, 16V 1 C838 F1K1C2250005 C   2.2UF, 16V 1 C839 F1J0J106A020 C 0.010UF, K, 16V 1 C840 F1K1C2250005 C   2.2UF, 16V 1 C841 F1J0J106A020 C 0.010UF, K, 16V 1 C843 ECJ3YB1E106M C 10 UF, K, 25V 1 C844 F1K1C2250005 C   2.2UF, 16V 1 C845 ECJ3YB1E106M C 10 UF, K, 25V 1 C846 F1K1C2250005 C   2.2UF, 16V 1 C847 F1J0J106A020 C 0.010UF, K, 16V 1 C848 F1K1C2250005 C   2.2UF, 16V 1 C850 F1G1C1030008 C 0.010UF, K, 16V 1 C851 F1H1A1050032 C 10UF, 50V 1 C852 F1G1C1030008 C 0.010UF, K, 16V 1 C855 F1H1E104A129 C 0.1UF, 25V 1 C856 F1H1E104A129 C 0.1UF, 25V 1 C857 F1H1E104A129 C 0.1UF, 25V 1 C858 ECJ3YB1E106M C 10 UF, K, 25V 1 C859 F1K1C1060004 C 0.010UF, 16V 1 C862 F1H1E152A129 C 1500UF, 25V 1 C863 ECJ3YB1E106M C 10 UF, K, 25V 1 C864 F1G1E103A123 C 0.010UF, K, 16V 1 C868 F1K1C1060004 C 0.010UF, 16V 1 C869 F1K1C2250005 C   2.2UF, 16V 1 C882 F1H1A1050032 C 10UF, 50V 1 C884 ECJ3YB1E106M C 10 UF, K, 25V 1 C1530 ECJ3XB0J106M C 10UF, M,6.3V 1 C2350 F1K1C2250005 C   2.2UF, 16V 1 C2351 F1K1C2250005 C   2.2UF, 16V 1 C2352 F2G1H100A031 E 10UF, 50V 1 C2353 F2G1H100A031 E 10UF, 50V 1 C2354 EEEHB1V470P E 47UF, 35V 1 C2355 EEEHB1V470P E 47UF, 35V 1 C2356 ECJ1VB1H102K C 1000PF, K, 50V 1 C2357 ECJ1VB1H102K C 1000PF, K, 50V 1 C2358 EEEHP1V2R2R E 2.2UF, 35V 1 C2359 EEEHP1V2R2R E 2.2UF, 35V 1 C2360 F1H1H102A971 C 1000PF, K, 50V 1 C2361 F1H1H102A971 C 1000PF, K, 50V 1 C2362 F2G1E4710007 E 470UF, 25V 1 C2363 F2G1E4710007 E 470UF, 25V 1 C2364 ECQV1H104JL P 0.1UF, J, 50V 1 C2365 ECQV1H104JL P 0.1UF, J, 50V 1 C2366 F1K1E225A085 C 2.2UF, Z. 25V 1 C2367 F1K1E225A085 C 2.2UF, Z. 25V 1 C2368 ECQV1H104JL P 0.1UF, J, 50V 1 C2369 ECQV1H104JL P 0.1UF, J, 50V 1 C2370 F2G1H100A031 E 10UF, 50V 1 C2371 F2G1H100A031 E 10UF, 50V 1 C2373 F1H1E104A129 C 0.1UF, 25V 1 C2374 F1H1E104A129 C 0.1UF, 25V 1 C2375 F1H1E104A129 C 0.1UF, 25V 1 C2376 F1H1H150A971 C 15PF, K, 50V 1 C2377 F1H1H150A971 C 15PF, K, 50V 1 C2378 F1H1E104A129 C 0.1UF, 25V 1 C2379 F1H1E104A129 C 0.1UF, 25V 1 C2380 F1H1E104A129 C 0.1UF, 25V 1 C2381 F1H1E104A129 C 0.1UF, 25V 1 C2382 F1H1E104A129 C 0.1UF, 25V 1 C2383 EEEHB1A101P C 100PF, J, 10V 1 C2384 F1H1E104A129 C 0.1UF, 25V 1 C2385 EEEHB1A101P C 100PF, J, 10V 1 C2386 EEEHP1H1R0R C 1.0PF, J, 50V 1 C2387 EEEHP1H1R0R C 1.0PF, J, 50V 1 C2388 F1H1E104A129 C 0.1UF, 25V 1 C2389 EEEHB1A101P C 100PF, J, 10V 1 C2390 F2G1H100A031 E 10UF, 50V 1 C2391 F1H1E104A129 C 0.1UF, 25V 1 C2392 F1J1C1050030 C 1UF, Z, 16V 1 C2393 F1J1C1050030 C 1UF, Z, 16V 1 C2394 F2G1H100A031 E 10UF, 50V 1 C2395 F1H1E104A129 C 0.1UF, 25V 1 C2396 F1H1E104A129 C 0.1UF, 25V 1 C2397 EEEHB1A101P C 100PF, J, 10V 1 C2398 F1H1E104A129 C 0.1UF, 25V 1 C2399 F1H1E104A129 C 0.1UF, 25V 1 C2400 F1H1E104A129 C 0.1UF, 25V 1 C2401 F1H1E104A129 C 0.1UF, 25V 1 C2402 F1H1E104A129 C 0.1UF, 25V 1 C2403 F1H1E104A129 C 0.1UF, 25V 1 C2404 F1H1H103A970 C 0.001UF, K, 50V 1 C2405 F1H0J2250008 C 2.2UF, K, 16V 1 C2406 F1H0J2250008 C 2.2UF, K, 16V 1 C2407 F1J0J106A020 C 0.010UF, K, 16V 1 C2408 F1J0J106A020 C 0.010UF, K, 16V 1 C2409 F1H1H181A971 C 180UF, K. 50V 1 C2410 F1H1H181A971 C 180UF, K. 50V 1 C2411 ECJ3YB1E106M C 10 UF, K, 25V 1 C2412 F1H1E104A129 C 0.1UF, 25V 1 C2413 F1H1E104A129 C 0.1UF, 25V 1 C2420 F1H1E104A129 C 0.1UF, 25V 1 C2426 F1H1E104A129 C 0.1UF, 25V 1 C3001 F1H1H103A975 C 0.001UF, K, 50V 1 C3004 F2G1C470A022 E 47UF, 16V 1 C3009 F1H1E104A129 C 0.1UF, 25V 1 C3010 F1H1E104A129 C 0.1UF, 25V 1 C3012 F1H1H103A975 C 0.001UF, K, 50V 1 C3013 F1H1H103A975 C 0.001UF, K, 50V 1 C3014 F1H1H103A975 C 0.001UF, K, 50V 1 C3015 F1H1H103A975 C 0.001UF, K, 50V 1 C3016 F1H1H103A975 C 0.001UF, K, 50V 1 C3017 F1H1H103A975 C 0.001UF, K, 50V 1 C3018 F2G1C470A022 E 47UF, 16V 1 C3019 F1H1C104A144 C 0.1UF, K, 16V 1 安全 标记 参考号 部品号 部品名称 & 说明 件数 备注 103 C3020 F1K1C2250005 C   2.2UF, 16V 1 C3021 F1K1C2250005 C   2.2UF, 16V 1 C3022 F1K1C2250005 C   2.2UF, 16V 1 C3023 F1K1C2250005 C   2.2UF, 16V 1 C3024 F1K1C2250005 C   2.2UF, 16V 1 C3025 F1K1C2250005 C   2.2UF, 16V 1 C3026 F1K1C2250005 C   2.2UF, 16V 1 C3027 F1K1C2250005 C   2.2UF, 16V 1 C3028 F1K1C2250005 C   2.2UF, 16V 1 C3029 F1K1C2250005 C   2.2UF, 16V 1 C3030 F1K1C2250005 C   2.2UF, 16V 1 C3031 F1K1C2250005 C   2.2UF, 16V 1 C3033 F1H1C104A143 C 0.1UF, K, 16V 1 C3034 F1H1C104A143 C 0.1UF, K, 16V 1 C3035 F1H1C104A143 C 0.1UF, K, 16V 1 C3040 F1H1C104A144 C 0.1UF, K, 16V 1 C3041 F1H1C104A144 C 0.1UF, K, 16V 1 C3042 F2G1C100A022 C 10UF J 16V 1 C3043 F2G1C100A022 C 10UF J 16V 1 C3051 F1H1C105A008 C 1UF, K, 16V 1 C3052 F1H1C105A008 C 1UF, K, 16V 1 C3053 F1H1C105A008 C 1UF, K, 16V 1 C3054 F1H1C105A008 C 1UF, K, 16V 1 C3055 F1H1C105A008 C 1UF, K, 16V 1 C3056 F1H1C105A008 C 1UF, K, 16V 1 C3057 F1H1C105A008 C 1UF, K, 16V 1 C3058 F1H1C105A008 C 1UF, K, 16V 1 C3101 F1H1E104A129 C 0.1UF, 25V 1 C3103 F1H1E104A129 C 0.1UF, 25V 1 C3105 F1H1C104A144 C 0.1UF, K, 16V 1 C3106 F1H1C104A144 C 0.1UF, K, 16V 1 C3107 F1H1C104A144 C 0.1UF, K, 16V 1 C3108 F1H1C104A144 C 0.1UF, K, 16V 1 C3110 F1H1E104A129 C 0.1UF, 25V 1 C3111 F1H1E104A129 C 0.1UF, 25V 1 C3112 F1H1E104A129 C 0.1UF, 25V 1 C3113 F1H1E104A129 C 0.1UF, 25V 1 C3114 F1H1E104A129 C 0.1UF, 25V 1 C3115 F1H1E104A129 C 0.1UF, 25V 1 C3134 EEEHB1C471P C 470PF, J, 16V 1 C3135 EEEHB1C471P C 470PF, J, 16V 1 C3136 EEEHB1C471P C 470PF, J, 16V 1 C3143 F1K1C2250005 C   2.2UF, 16V 1 C3146 F1K1C2250005 C   2.2UF, 16V 1 C3153 F1H1C104A144 C 0.1UF, K, 16V 1 C3200 F1J1C1050030 C 1UF, Z, 16V 1 C3201 F1J0J106A020 C 0.010UF, K, 16V 1 C3202 F1J0J106A020 C 0.010UF, K, 16V 1 C3203 F1J0J106A020 C 0.010UF, K, 16V 1 C3204 F1H1C104A144 C 0.1UF, K, 16V 1 C3205 F1H1C104A144 C 0.1UF, K, 16V 1 C3207 F1K1C1060004 C 0.010UF, 16V 1 C3301 ECJ1VC1H561J C 560PF J 50V 1 C3302 ECJ1VC1H561J C 560PF J 50V 1 C3303 ECJ1VC1H561J C 560PF J 50V 1 C3304 ECJ1VC1H561J C 560PF J 50V 1 C3305 ECJ3YB1A106M C 10UF, M,6.3V 1 C3306 ECJ1VB1A105K C 0.01UF, Z, 50V 1 C3307 ECJ3YB1A106M C 10UF, M,6.3V 1 C3308 ECJ1VB1A105K C 0.01UF, Z, 50V 1 C3309 EEEHB1C470P C 47PF, J, 16V 1 C3310 ECJ1VB1A105K C 0.01UF, Z, 50V 1 C3311 ECJ1XB1C104K C 0.1UF, Z, 16V 1 C3312 ECJ1VB1A105K C 0.01UF, Z, 50V 1 C3313 ECJ3YB1A106M C 10UF, M,6.3V 1 C3314 ECJ3YB1A106M C 10UF, M,6.3V 1 C3315 EEEHB1C470P C 47PF, J, 16V 1 C3316 ECJ1VB1A105K C 0.01UF, Z, 50V 1 C3317 ECJ3YB1A106M C 10UF, M,6.3V 1 安全 标记 参考号 部品号 部品名称 & 说明 件数 备注 C3318 ECJ3YB1A106M C 10UF, M,6.3V 1 C3319 ECJ1XB1C104K C 0.1UF, Z, 16V 1 C3320 ECJ1XB1C104K C 0.1UF, Z, 16V 1 C3321 ECJ1VC1H100C C 10PF, C, 50V 1 C3322 ECJ1VC1H100C C 10PF, C, 50V 1 C3325 ECJ1XC1H470J C 47PF, J, 50V 1 C3326 ECJ1XC1H470J C 47PF, J, 50V 1 C3327 ECJ1XB1C104K C 0.1UF, Z, 16V 1 C3328 ECJ1XB1C104K C 0.1UF, Z, 16V 1 C3329 ECJ1VB1H102K C 1000PF, K, 50V 1 C3330 ECJ1VB1H102K C 1000PF, K, 50V 1 C3331 ECJ1VB1A105K C 0.01UF, Z, 50V 1 C3332 ECJ1VB1A105K C 0.01UF, Z, 50V 1 C3333 EEEHB0J470UR C 47PF, J, 6.3V 1 C3334 ECJ1XB1C104K C 0.1UF, Z, 16V 1 C3335 ECJ1XB1C104K C 0.1UF, Z, 16V 1 C3336 ECJ1XB1C104K C 0.1UF, Z, 16V 1 C3337 ECJ1VB1H103K C 0.001UF, K, 50V 1 C3339 ECJ1VC1H330J C 33PF, J, 50V 1 C3340 ECJ1VC1H330J C 33PF, J, 50V 1 C3341 ECJ1VC1H680J C 68PF, J, 50V 1 C3342 ECJ1VC1H680J C 68PF, J, 50V 1 C3343 ECJ1VB1H103K C 0.001UF, K, 50V 1 C3344 ECJ1VB0J105K C 1UF, K, 6.3V 1 C3345 ECJ1VB1A105K C 0.01UF, Z, 50V 1 C3346 ECJ1XB1C104K C 0.1UF, Z, 16V 1 C3347 ECJ1XB1C104K C 0.1UF, Z, 16V 1 C3348 ECJ1XB1C104K C 0.1UF, Z, 16V 1 C3349 ECJ1XB1C104K C 0.1UF, Z, 16V 1 C3350 ECJ1XB1C104K C 0.1UF, Z, 16V 1 C3351 ECJ1XB1C104K C 0.1UF, Z, 16V 1 C3352 ECJ1XB1C104K C 0.1UF, Z, 16V 1 C3353 ECJ1XB1C104K C 0.1UF, Z, 16V 1 C3354 ECJ1XB1C104K C 0.1UF, Z, 16V 1 C3355 ECJ1XB1C104K C 0.1UF, Z, 16V 1 C3356 ECJ1XB1C104K C 0.1UF, Z, 16V 1 C3357 ECJ1XB1C104K C 0.1UF, Z, 16V 1 C3358 ECJ1XB1C104K C 0.1UF, Z, 16V 1 C3359 ECJ1XB1C104K C 0.1UF, Z, 16V 1 C3360 ECJ1XB1C104K C 0.1UF, Z, 16V 1 C3361 ECJ1VC1H330J C 33PF, J, 50V 1 C3362 ECJ1XB1C104K C 0.1UF, Z, 16V 1 C3363 ECJ1XB1C104K C 0.1UF, Z, 16V 1 C3364 ECJ1XB1C104K C 0.1UF, Z, 16V 1 C3365 ECJ1XB1C104K C 0.1UF, Z, 16V 1 C3366 ECJ1XB1C104K C 0.1UF, Z, 16V 1 C3367 ECJ1XB1C104K C 0.1UF, Z, 16V 1 C3368 ECJ1XB1C104K C 0.1UF, Z, 16V 1 C3369 ECJ1VB1A105K C 0.01UF, Z, 50V 1 C3370 ECJ1XB1C104K C 0.1UF, Z, 16V 1 C3371 ECJ1XB1C104K C 0.1UF, Z, 16V 1 C3372 ECJ1XB1C104K C 0.1UF, Z, 16V 1 C3373 ECJ1XB1C104K C 0.1UF, Z, 16V 1 C3374 ECJ1XB1C104K C 0.1UF, Z, 16V 1 C3375 ECJ1VB1A105K C 0.01UF, Z, 50V 1 C3376 ECJ1XB1C104K C 0.1UF, Z, 16V 1 C3377 ECJ1XB1C104K C 0.1UF, Z, 16V 1 C3378 ECJ1XB1C104K C 0.1UF, Z, 16V 1 C3379 ECJ1XB1C104K C 0.1UF, Z, 16V 1 C3380 ECJ1XB1C104K C 0.1UF, Z, 16V 1 C3381 ECJ1XB1C104K C 0.1UF, Z, 16V 1 C3382 ECJ1XB1C104K C 0.1UF, Z, 16V 1 C3383 ECJ1XB1C104K C 0.1UF, Z, 16V 1 C3384 ECJ1XB1C104K C 0.1UF, Z, 16V 1 C3385 ECJ1XB1C104K C 0.1UF, Z, 16V 1 C3386 ECJ1XB1C104K C 0.1UF, Z, 16V 1 C3387 ECJ1XB1C104K C 0.1UF, Z, 16V 1 C3388 ECJ1XB1C104K C 0.1UF, Z, 16V 1 C3389 ECJ1XB1C104K C 0.1UF, Z, 16V 1 安全 标记 参考号 部品号 部品名称 & 说明 件数 备注 104 C3390 ECJ1XB1C104K C 0.1UF, Z, 16V 1 C3391 ECJ1XB1C104K C 0.1UF, Z, 16V 1 C3392 ECJ1XB1C104K C 0.1UF, Z, 16V 1 C3393 ECJ1XB1C104K C 0.1UF, Z, 16V 1 C3394 ECJ1XB1C104K C 0.1UF, Z, 16V 1 C3395 ECJ1XB1C104K C 0.1UF, Z, 16V 1 C3396 ECJ1XB1C104K C 0.1UF, Z, 16V 1 C3397 ECJ1XB1C104K C 0.1UF, Z, 16V 1 C3398 ECJ1XB1C104K C 0.1UF, Z, 16V 1 C3399 ECJ1XB1C104K C 0.1UF, Z, 16V 1 C3400 ECJ1XB1C104K C 0.1UF, Z, 16V 1 C3401 ECJ1XB1C104K C 0.1UF, Z, 16V 1 C3402 ECJ1XB1C104K C 0.1UF, Z, 16V 1 C3403 ECJ1XB1C104K C 0.1UF, Z, 16V 1 C3404 ECJ1XB1C104K C 0.1UF, Z, 16V 1 C3404 F1J1C104A195 C 0.10UF, Z, 16V 1 C3405 ECJ1XB1C104K C 0.1UF, Z, 16V 1 C3405 ECJ3YB1E106M C 10 UF, K, 25V 1 C3406 ECJ1XB1C104K C 0.1UF, Z, 16V 1 C3406 ECJ3YB1E106M C 10 UF, K, 25V 1 C3407 ECJ1XB1C104K C 0.1UF, Z, 16V 1 C3408 ECJ1XB1C104K C 0.1UF, Z, 16V 1 C3409 ECJ1VB1A105K C 0.01UF, Z, 50V 1 C3409 F1J1C104A195 C 0.10UF, Z, 16V 1 C3410 ECJ1VB1H102K C 1000PF, K, 50V 1 C3411 ECJ1VB1H102K C 1000PF, K, 50V 1 C3412 ECJ1VB1H102K C 1000PF, K, 50V 1 C3413 ECJ1XB1C104K C 0.1UF, Z, 16V 1 C3414 ECJ1XB1C104K C 0.1UF, Z, 16V 1 C3415 ECJ1XB1C104K C 0.1UF, Z, 16V 1 C3416 ECJ1VB1H102K C 1000PF, K, 50V 1 C3417 ECJ1VB1H102K C 1000PF, K, 50V 1 C3418 ECJ1XB1C104K C 0.1UF, Z, 16V 1 C3419 ECJ1XB1C104K C 0.1UF, Z, 16V 1 C3420 ECJ1VC1H180J C 18PF, J, 50V 1 C3422 EEEHB0J470UR C 47PF, J, 6.3V 1 C3423 ECJ1XB1C104K C 0.1UF, Z, 16V 1 C3424 EEEHB1C470P C 47PF, J, 16V 1 C3425 ECJ1VB1A105K C 0.01UF, Z, 50V 1 C3426 EEEHB1C470P C 47PF, J, 16V 1 C3427 ECJ1XB1C104K C 0.1UF, Z, 16V 1 C3428 ECJ1XB1C104K C 0.1UF, Z, 16V 1 C3429 ECJ1XB1C104K C 0.1UF, Z, 16V 1 C3430 ECJ1XB1C104K C 0.1UF, Z, 16V 1 C3431 ECJ1XB1C104K C 0.1UF, Z, 16V 1 C3432 ECJ1VB1H103K C 0.001UF, K, 50V 1 C3433 ECJ1VB1H103K C 0.001UF, K, 50V 1 C3434 ECJ1VB1H103K C 0.001UF, K, 50V 1 C3435 ECJ1VB1H103K C 0.001UF, K, 50V 1 C3436 ECJ1VB1H103K C 0.001UF, K, 50V 1 C3437 ECJ1XB1C104K C 0.1UF, Z, 16V 1 C3438 ECJ1VB1H103K C 0.001UF, K, 50V 1 C3440 EEEHB0J470UR C 47PF, J, 6.3V 1 C3441 EEEHB0J470UR C 47PF, J, 6.3V 1 C3442 EEEHB0J470UR C 47PF, J, 6.3V 1 C3443 ECGRL0G680ER C 68PF, J, 4V 1 C3444 EEEHB0J470UR C 47PF, J, 6.3V 1 C3445 EEEHB0J470UR C 47PF, J, 6.3V 1 C3446 ECJ1XB1C104K C 0.1UF, Z, 16V 1 C3447 ECJ1VB0J105K C 1UF, K, 6.3V 1 C3448 ECJ1XB1C104K C 0.1UF, Z, 16V 1 C3450 ECJ1XF1C105Z C 1UF, Z, 16V 1 C3451 ECJ1XB1C104K C 0.1UF, Z, 16V 1 C3523 ECJ3YB1E106M C 10 UF, K, 25V 1 C3524 F1J1H103A838 C 0.01UF, K, 50V 1 C3550 F1J1H103A838 C 0.01UF, K, 50V 1 C3551 ECJ3YB1E106M C 10 UF, K, 25V 1 C3552 ECJ3YB1E106M C 10 UF, K, 25V 1 C3561 F1J1C1050030 C 1UF, Z, 16V 1 安全 标记 参考号 部品号 部品名称 & 说明 件数 备注 C3562 F1J1C1050030 C 1UF, Z, 16V 1 C4001 F1J1E104A227 C 0.10UF, Z, 25V 1 C4003 F1J1E104A227 C 0.10UF, Z, 25V 1 C4005 F1J1E104A227 C 0.10UF, Z, 25V 1 C4011 ECJ2FB0J106K C 10UF, Z, 6.3V 1 C4012 ECJ2FB0J106K C 10UF, Z, 6.3V 1 C4013 F1H1C103A143 C 0.10UF, 16V 1 C4014 ECJ2FB0J106K C 10UF, Z, 6.3V 1 C4015 F1H1C103A143 C 0.10UF, 16V 1 C4016 ECJ2FB0J106K C 10UF, Z, 6.3V 1 C4017 F1H1C103A143 C 0.10UF, 16V 1 C4018 F1H1C103A143 C 0.10UF, 16V 1 C4019 ECJ2FB0J106K C 10UF, Z, 6.3V 1 C4020 F1H1C103A143 C 0.10UF, 16V 1 C4021 ECJ2FB0J106K C 10UF, Z, 6.3V 1 C4022 F1H1C103A143 C 0.10UF, 16V 1 C4023 ECJ2FB0J106K C 10UF, Z, 6.3V 1 C4024 F1H1C103A143 C 0.10UF, 16V 1 C4025 F1J1E104A227 C 0.10UF, Z, 25V 1 C4026 F1J1E104A227 C 0.10UF, Z, 25V 1 C4027 F1J1E104A227 C 0.10UF, Z, 25V 1 C4028 F1J1E104A227 C 0.10UF, Z, 25V 1 C4029 F1J1E104A227 C 0.10UF, Z, 25V 1 C4030 ECJ2FB0J106K C 10UF, Z, 6.3V 1 C4031 F1H1C103A143 C 0.10UF, 16V 1 C4032 F1H1C104A143 C 0.1UF, K, 16V 1 C4041 F1H1C104A144 C 0.1UF, K, 16V 1 C4042 ECJ2FB0J106K C 10UF, Z, 6.3V 1 C4043 F1H1H102A970 C 1000PF, K, 50V 1 C4044 ECJ2FB0J106K C 10UF, Z, 6.3V 1 C4045 F1H1C104A144 C 0.1UF, K, 16V 1 C4046 ECJ2FB0J106K C 10UF, Z, 6.3V 1 C4047 F1H1C104A144 C 0.1UF, K, 16V 1 C4048 ECJ2FB0J106K C 10UF, Z, 6.3V 1 C4049 F1H1C104A144 C 0.1UF, K, 16V 1 C4201 ECJ2FB0J106K C 10UF, Z, 6.3V 1 C4202 ECJ2FB0J106K C 10UF, Z, 6.3V 1 C4203 F1H1C104A143 C 0.1UF, K, 16V 1 C4204 F1H1C104A143 C 0.1UF, K, 16V 1 C4205 F1H1C104A143 C 0.1UF, K, 16V 1 C4206 F1H1C104A143 C 0.1UF, K, 16V 1 C4207 F1H1C104A143 C 0.1UF, K, 16V 1 C4208 F1H1C104A143 C 0.1UF, K, 16V 1 C4209 F1H1C104A143 C 0.1UF, K, 16V 1 C4210 F1H1C104A143 C 0.1UF, K, 16V 1 C4211 ECJ2FB0J106K C 10UF, Z, 6.3V 1 C4212 ECJ2FB0J106K C 10UF, Z, 6.3V 1 C4213 F1H1C104A143 C 0.1UF, K, 16V 1 C4214 F1H1C104A143 C 0.1UF, K, 16V 1 C4215 F1H1C104A143 C 0.1UF, K, 16V 1 C4216 F1H1C104A143 C 0.1UF, K, 16V 1 C4217 F1H1C104A143 C 0.1UF, K, 16V 1 C4218 F1H1C104A143 C 0.1UF, K, 16V 1 C4221 ECJ2FB0J106K C 10UF, Z, 6.3V 1 C4222 ECJ2FB0J106K C 10UF, Z, 6.3V 1 C4223 F1H1C104A143 C 0.1UF, K, 16V 1 C4224 F1H1C104A143 C 0.1UF, K, 16V 1 C4225 ECJ2FB0J106K C 10UF, Z, 6.3V 1 C4226 ECJ2FB0J106K C 10UF, Z, 6.3V 1 C4227 F1H1C104A143 C 0.1UF, K, 16V 1 C4228 F1H1C104A143 C 0.1UF, K, 16V 1 C4229 F1J0G2260001 C 0.001UF, 6.3V 1 C4230 ECJ2FB0J106K C 10UF, Z, 6.3V 1 C4231 ECJ2FB0J106K C 10UF, Z, 6.3V 1 C4232 F1H1C104A143 C 0.1UF, K, 16V 1 C4236 ECJ2FB0J106K C 10UF, Z, 6.3V 1 C4237 ECJ2FB0J106K C 10UF, Z, 6.3V 1 C4238 F1H1C104A143 C 0.1UF, K, 16V 1 C4301 F1H1C104A144 C 0.1UF, K, 16V 1 安全 标记 参考号 部品号 部品名称 & 说明 件数 备注 105 C4303 F1H1C104A144 C 0.1UF, K, 16V 1 C4351 F2H1E221A007 E 220UF, 25V 1 C4352 ECJ3YF1E105Z C 1.0UF, Z, 25V 1 C4354 EEEHB1C471P C 470PF, J, 16V 1 C4363 F1J1C1050030 C 1UF, Z, 16V 1 C4364 F1J1A1050016 C 1UF, Z, 10V 1 C4401 F1H1C104A144 C 0.1UF, K, 16V 1 C4404 F1H1C104A144 C 0.1UF, K, 16V 1 C4405 F1H1C104A144 C 0.1UF, K, 16V 1 C4406 F1H1C104A143 C 0.1UF, K, 16V 1 C4407 F1H1C104A144 C 0.1UF, K, 16V 1 C4408 ECJ1VB1H102K C 1000PF, K, 50V 1 C4431 F1H1C104A144 C 0.1UF, K, 16V 1 C4432 F1H1C104A144 C 0.1UF, K, 16V 1 C4502 EEEHB0G221P C 220PF, J, 4V 1 C4503 EEEHB0G221P C 220PF, J, 4V 1 C4504 EEEHB0G221P C 220PF, J, 4V 1 C4505 ECJ2FB0J106K C 10UF, Z, 6.3V 1 C4506 ECJ2FB0J106K C 10UF, Z, 6.3V 1 C4507 F1H1C104A143 C 0.1UF, K, 16V 1 C4508 F1H1C104A143 C 0.1UF, K, 16V 1 C4509 F1H1C104A143 C 0.1UF, K, 16V 1 C4510 F1H1C104A143 C 0.1UF, K, 16V 1 C4511 F1H1C104A143 C 0.1UF, K, 16V 1 C4512 F1H1C104A143 C 0.1UF, K, 16V 1 C4513 F1H1C104A143 C 0.1UF, K, 16V 1 C4514 F1H1C104A143 C 0.1UF, K, 16V 1 C4515 F1H1C104A143 C 0.1UF, K, 16V 1 C4516 F1H1C104A143 C 0.1UF, K, 16V 1 C4517 F1H1C104A143 C 0.1UF, K, 16V 1 C4518 F1H1C104A143 C 0.1UF, K, 16V 1 C4519 F1H1C104A143 C 0.1UF, K, 16V 1 C4520 F1H1C104A143 C 0.1UF, K, 16V 1 C4521 F1H1C104A143 C 0.1UF, K, 16V 1 C4522 F1H1C104A143 C 0.1UF, K, 16V 1 C4523 F1H1C104A143 C 0.1UF, K, 16V 1 C4524 F1H1C104A143 C 0.1UF, K, 16V 1 C4525 F1H1C104A143 C 0.1UF, K, 16V 1 C4526 F1H1C104A143 C 0.1UF, K, 16V 1 C4527 F1H1C104A143 C 0.1UF, K, 16V 1 C4528 F1H1C104A143 C 0.1UF, K, 16V 1 C4529 F1H1C104A143 C 0.1UF, K, 16V 1 C4530 F1H1C104A143 C 0.1UF, K, 16V 1 C4531 ECJ2FB0J106K C 10UF, Z, 6.3V 1 C4532 ECJ2FB0J106K C 10UF, Z, 6.3V 1 C4533 F1H1C104A143 C 0.1UF, K, 16V 1 C4534 F1H1C104A143 C 0.1UF, K, 16V 1 C4535 F1H1C104A143 C 0.1UF, K, 16V 1 C4536 F1H1C104A143 C 0.1UF, K, 16V 1 C4537 F1H1C104A143 C 0.1UF, K, 16V 1 C4538 F1H1C104A143 C 0.1UF, K, 16V 1 C4539 ECJ2FB0J106K C 10UF, Z, 6.3V 1 C4540 ECJ2FB0J106K C 10UF, Z, 6.3V 1 C4541 F1H1C104A143 C 0.1UF, K, 16V 1 C4542 F1H1C104A143 C 0.1UF, K, 16V 1 C4543 F1H1C104A143 C 0.1UF, K, 16V 1 C4544 F1H1C104A143 C 0.1UF, K, 16V 1 C4545 F1H1C104A143 C 0.1UF, K, 16V 1 C4546 F1H1C104A143 C 0.1UF, K, 16V 1 C4547 F1H1C104A143 C 0.1UF, K, 16V 1 C4548 F1H1C104A143 C 0.1UF, K, 16V 1 C4549 F1H1C104A143 C 0.1UF, K, 16V 1 C4550 F1H1C104A143 C 0.1UF, K, 16V 1 C4551 F1H1C104A143 C 0.1UF, K, 16V 1 C4552 F1H1C104A143 C 0.1UF, K, 16V 1 C4553 F1H1C104A143 C 0.1UF, K, 16V 1 C4554 F1H1C104A143 C 0.1UF, K, 16V 1 C4555 F1H1C104A143 C 0.1UF, K, 16V 1 C4556 F1H1C104A143 C 0.1UF, K, 16V 1 安全 标记 参考号 部品号 部品名称 & 说明 件数 备注 C4557 F1H1C104A143 C 0.1UF, K, 16V 1 C4558 F1H1C104A143 C 0.1UF, K, 16V 1 C4559 F1H1C104A143 C 0.1UF, K, 16V 1 C4560 F1H1C104A143 C 0.1UF, K, 16V 1 C4561 F1H1C104A143 C 0.1UF, K, 16V 1 C4562 F1H1C104A143 C 0.1UF, K, 16V 1 C4563 F1H1C104A143 C 0.1UF, K, 16V 1 C4564 F1H1C104A143 C 0.1UF, K, 16V 1 C4565 F1H1C104A143 C 0.1UF, K, 16V 1 C4566 F1H1C104A143 C 0.1UF, K, 16V 1 C4567 F1H1C104A143 C 0.1UF, K, 16V 1 C4568 F1H1C104A143 C 0.1UF, K, 16V 1 C4569 F1H1C104A143 C 0.1UF, K, 16V 1 C4570 F1H1C104A143 C 0.1UF, K, 16V 1 C4571 F1H1C104A143 C 0.1UF, K, 16V 1 C4572 F1H1C104A143 C 0.1UF, K, 16V 1 C4573 F1H1C104A143 C 0.1UF, K, 16V 1 C4574 F1H1C104A143 C 0.1UF, K, 16V 1 C4575 F1H1C104A143 C 0.1UF, K, 16V 1 C4576 ECJ2FB0J106K C 10UF, Z, 6.3V 1 C4577 F1H1C104A143 C 0.1UF, K, 16V 1 C4578 ECJ2FB0J106K C 10UF, Z, 6.3V 1 C4579 ECJ2FB0J106K C 10UF, Z, 6.3V 1 C4580 F1H1C104A143 C 0.1UF, K, 16V 1 C4581 ECJ2FB0J106K C 10UF, Z, 6.3V 1 C4582 F1H1C104A143 C 0.1UF, K, 16V 1 C4583 ECJ2FB0J106K C 10UF, Z, 6.3V 1 C4584 F1H1C104A143 C 0.1UF, K, 16V 1 C4585 ECJ2FB0J106K C 10UF, Z, 6.3V 1 C4586 F1H1C104A143 C 0.1UF, K, 16V 1 C4587 ECJ2FB0J106K C 10UF, Z, 6.3V 1 C4588 F1H1C104A143 C 0.1UF, K, 16V 1 C4591 F1H1H9R0A972 C 9.0UF, K. 50V 1 C4592 F1H1H9R0A972 C 9.0UF, K. 50V 1 C4595 F1H1A1050032 C 10UF, 50V 1 C4596 ECJ2FB0J106K C 10UF, Z, 6.3V 1 C4597 F1H1C104A144 C 0.1UF, K, 16V 1 C4598 ECJ2FB0J106K C 10UF, Z, 6.3V 1 C4599 F1H1C104A144 C 0.1UF, K, 16V 1 C4600 F1H1A1050032 C 10UF, 50V 1 C4601 EEFCD0G560ER C 56UF, K, 4V 1 C4602 F1J0J106A020 C 0.010UF, K, 16V 1 C4603 F1J0J106A020 C 0.010UF, K, 16V 1 C4604 F1G1A104A012 C 0.01UF, K, 10V 1 C4605 F1G1A104A012 C 0.01UF, K, 10V 1 C4606 ECJ0EB1C103K C 0.010UF, K, 16V 1 C4609 F1G1A104A012 C 0.01UF, K, 10V 1 C4610 ECJ0EB1C103K C 0.010UF, K, 16V 1 C4613 F1G1A104A012 C 0.01UF, K, 10V 1 C4614 ECJ0EB1C103K C 0.010UF, K, 16V 1 C4617 F1G1A104A012 C 0.01UF, K, 10V 1 C4618 ECJ0EB1C103K C 0.010UF, K, 16V 1 C4621 F1G1A104A012 C 0.01UF, K, 10V 1 C4622 ECJ0EB1C103K C 0.010UF, K, 16V 1 C4625 F1G1A104A012 C 0.01UF, K, 10V 1 C4626 ECJ0EB1C103K C 0.010UF, K, 16V 1 C4629 F1G1A104A012 C 0.01UF, K, 10V 1 C4671 ECJ2FB0J106K C 10UF, Z, 6.3V 1 C4672 F1H1C104A143 C 0.1UF, K, 16V 1 C4673 F1H1C104A143 C 0.1UF, K, 16V 1 C4675 F1H1C104A143 C 0.1UF, K, 16V 1 C4676 F1H1C104A143 C 0.1UF, K, 16V 1 C4677 F1H1C104A143 C 0.1UF, K, 16V 1 C4678 F1H1C104A143 C 0.1UF, K, 16V 1 C4679 F1H1H150A971 C 15PF, K, 50V 1 C4680 F1H1H180A971 C 18PF, K, 50V 1 C4701 F1H1C104A144 C 0.1UF, K, 16V 1 C4702 F1H1C104A144 C 0.1UF, K, 16V 1 C4703 F1J1C1050030 C 1UF, Z, 16V 1 安全 标记 参考号 部品号 部品名称 & 说明 件数 备注 106 C4704 F1H1C104A144 C 0.1UF, K, 16V 1 C4705 F1H1C104A144 C 0.1UF, K, 16V 1 C4706 F1H1C104A144 C 0.1UF, K, 16V 1 C4707 F1H1C104A144 C 0.1UF, K, 16V 1 C4708 F1H1C104A144 C 0.1UF, K, 16V 1 C4709 F1H1C104A144 C 0.1UF, K, 16V 1 C4721 ECJ1VB1H102K C 1000PF, K, 50V 1 C4741 ECJ1VB1H102K C 1000PF, K, 50V 1 C4821 F1H1H101A971 C 100UF, 50V 1 C4886 F1H1C104A144 C 0.1UF, K, 16V 1 C4887 F1H1C104A144 C 0.1UF, K, 16V 1 C4891 F1J1C1050030 C 1UF, Z, 16V 1 C4892 F1H1C104A143 C 0.1UF, K, 16V 1 C4893 ECJ2FF1C475Z C 0.047UF, Z, 16V 1 C4894 F1H1C104A144 C 0.1UF, K, 16V 1 C4901 ECJ3YB1E106M C 10 UF, K, 25V 1 C4902 ECJ3YB1E106M C 10 UF, K, 25V 1 C4903 ECJ3YB1E106M C 10 UF, K, 25V 1 C4904 ECJ3YB1E106M C 10 UF, K, 25V 1 C4905 F1H1E104A129 C 0.1UF, 25V 1 C4906 F1H1H822A970 C 8200PF, K, 50V 1 C4907 F1H1H680A971 C 68PF, K, 50V 1 C4908 F1H1H181A971 C 180UF, K. 50V 1 C4909 F1H1H822A970 C 8200PF, K, 50V 1 C4910 F1H1H103A970 C 0.001UF, K, 50V 1 C4911 F1J1A475A039 C 4.7UF, K, 10V 1 C4912 ECJ1VB1H102K C 1000PF, K, 50V 1 C4913 F1H1E104A129 C 0.1UF, 25V 1 C4914 F1H1E104A129 C 0.1UF, 25V 1 C4915 ECGRL0G680ER C 68PF, J, 4V 1 C4916 ECGRL0G680ER C 68PF, J, 4V 1 C4918 F1J1A106A043 C 0.010UF, K, 10V 1 C4921 F1H1A1050032 C 10UF, 50V 1 C4922 F1H1C103A143 C 0.10UF, 16V 1 C4931 ECJ2FB0J106K C 10UF, Z, 6.3V 1 C4932 F1H1C104A144 C 0.1UF, K, 16V 1 C4933 ECJ2FB0J106K C 10UF, Z, 6.3V 1 C4937 F1H0J1050012 C 1UF, K, 16V 1 C4938 F1H1H103A970 C 0.001UF, K, 50V 1 C4940 ECJ2FB0J106K C 10UF, Z, 6.3V 1 C4941 F1H1H103A970 C 0.001UF, K, 50V 1 C4942 F1H1A1050032 C 10UF, 50V 1 C4943 F1H1C103A143 C 0.10UF, 16V 1 C8003 F1H1C104A144 C 0.1UF, K, 16V 1 C8005 F1H1H103A975 C 0.001UF, K, 50V 1 C8007 F1H1H101A971 C 100UF, 50V 1 C8009 ECJ3XB0J106M C 10UF, M,6.3V 1 C8013 F1H1C104A144 C 0.1UF, K, 16V 1 C8015 F1K1A1060006 C 0.010UF, K,6.3V 1 C8016 F1K1C475A011 C 47UF, Z, 50V 1 C8019 F1H1H103A970 C 0.001UF, K, 50V 1 C8021 F1K1C474A115 C 0.47UF, 16V 1 C8023 F1H1H103A970 C 0.001UF, K, 50V 1 C8027 F1H1E104A129 C 0.1UF, 25V 1 C8029 F1H1H103A975 C 0.001UF, K, 50V 1 C8030 F2G1C470A022 E 47UF, 16V 1 C8033 F1H1H102A971 C 1000PF, K, 50V 1 C8035 F1H1C104A144 C 0.1UF, K, 16V 1 C8038 F1H1H102A971 C 1000PF, K, 50V 1 C8045 F1J1C1050030 C 1UF, Z, 16V 1 C8049 F1H1H103A975 C 0.001UF, K, 50V 1 C8070 F1H1E104A129 C 0.1UF, 25V 1 C8072 F1K1A1060006 C 0.010UF, K,6.3V 1 C8073 F1K1A1060006 C 0.010UF, K,6.3V 1 C8074 F1H1H151A971 C 150UF, K. 50V 1 C8075 F1H1H102A971 C 1000PF, K, 50V 1 C8080 F1H1C104A144 C 0.1UF, K, 16V 1 C8081 F1H1C104A144 C 0.1UF, K, 16V 1 C8082 F1H1C104A144 C 0.1UF, K, 16V 1 安全 标记 参考号 部品号 部品名称 & 说明 件数 备注 C8083 F1H1C104A144 C 0.1UF, K, 16V 1 C8084 F1J1C1050030 C 1UF, Z, 16V 1 C8100 F2G1C470A022 E 47UF, 16V 1 C8101 F1H1H103A975 C 0.001UF, K, 50V 1 C8103 F2G1C470A022 E 47UF, 16V 1 C8106 F2G1C470A022 E 47UF, 16V 1 C8107 EEEHB1C471P C 470PF, J, 16V 1 C8109 F1H1C104A144 C 0.1UF, K, 16V 1 C8111 F1H1C104A144 C 0.1UF, K, 16V 1 C8112 F1H1C104A144 C 0.1UF, K, 16V 1 C8113 F1H1C104A144 C 0.1UF, K, 16V 1 C8114 ECJ3YB1E106M C 10 UF, K, 25V 1 C8115 ECJ3YB1E106M C 10 UF, K, 25V 1 C8122 F2G1C470A022 E 47UF, 16V 1 C8123 F1H1C104A144 C 0.1UF, K, 16V 1 C8181 F1H1H150A971 C 15PF, K, 50V 1 C8182 F1H1H150A971 C 15PF, K, 50V 1 C8183 F1H1C104A144 C 0.1UF, K, 16V 1 C8185 EECS5R5H155 E 1.5UF, 5.5V 1 C8200 F2G1C470A022 E 47UF, 16V 1 C9028 F1J1A106A043 C 0.010UF, K, 10V 1 C9029 F1J1A106A043 C 0.010UF, K, 10V 1 C9033 F1G1C104A119 C 0.10UF, K, 16V 1 C9034 F1G1C104A119 C 0.10UF, K, 16V 1 C9035 F1J1A106A043 C 0.010UF, K, 10V 1 C9036 F1J1A106A043 C 0.010UF, K, 10V 1 C9037 F1G1E103A123 C 0.010UF, K, 16V 1 C9039 F1J1A106A043 C 0.010UF, K, 10V 1 C9040 F1G1C104A119 C 0.10UF, K, 16V 1 C9044 F1J0J475A035 C 4.7UF, K, 16V 1 C9045 F1G1C104A119 C 0.10UF, K, 16V 1 C9046 F1G1C104A119 C 0.10UF, K, 16V 1 C9047 F1G1C104A119 C 0.10UF, K, 16V 1 C9048 F1G1C104A119 C 0.10UF, K, 16V 1 C9049 F1G1C104A119 C 0.10UF, K, 16V 1 C9050 F1G1C104A119 C 0.10UF, K, 16V 1 C9051 F1G1C104A119 C 0.10UF, K, 16V 1 C9052 F1G1C104A119 C 0.10UF, K, 16V 1 C9053 F1G1C104A119 C 0.10UF, K, 16V 1 C9055 F1G1C104A119 C 0.10UF, K, 16V 1 C9056 F1G1C104A119 C 0.10UF, K, 16V 1 C9057 F1G1C104A119 C 0.10UF, K, 16V 1 C9058 F1J1A106A043 C 0.010UF, K, 10V 1 C9061 F1G1C104A116 C 0.10UF, K, 16V 1 C9062 F1J0J475A035 C 4.7UF, K, 16V 1 C9063 F1G1C104A119 C 0.10UF, K, 16V 1 C9064 F1G1C104A119 C 0.10UF, K, 16V 1 C9065 F1G1C104A119 C 0.10UF, K, 16V 1 C9468 F1G1E103A123 C 0.010UF, K, 16V 1 C9469 F1G1C104A119 C 0.10UF, K, 16V 1 C9535 F1G1C104A116 C 0.10UF, K, 16V 1 C9536 F1G1C104A116 C 0.10UF, K, 16V 1 C9537 F1G1C104A116 C 0.10UF, K, 16V 1 C9538 F1G1C104A116 C 0.10UF, K, 16V 1 C9539 F1G1C104A116 C 0.10UF, K, 16V 1 C9540 F1G1C104A116 C 0.10UF, K, 16V 1 C9541 F1G1C104A116 C 0.10UF, K, 16V 1 C9542 F1G1C104A116 C 0.10UF, K, 16V 1 C9543 F1G1C104A116 C 0.10UF, K, 16V 1 C9544 F1G1C104A116 C 0.10UF, K, 16V 1 C9545 F1G1C104A116 C 0.10UF, K, 16V 1 C9546 F1G1C104A116 C 0.10UF, K, 16V 1 C9547 F1G1C104A116 C 0.10UF, K, 16V 1 C9548 F1G1C104A116 C 0.10UF, K, 16V 1 C9549 F1G1C104A116 C 0.10UF, K, 16V 1 C9550 F1G1C104A116 C 0.10UF, K, 16V 1 C9823 ECJ3YB1E106M C 10 UF, K, 25V 1 C9825 F1G1H101A731 C 100PF, K, 50V 1 C9832 F1J1A106A043 C 0.010UF, K, 10V 1 安全 标记 参考号 部品号 部品名称 & 说明 件数 备注 107 C9837 F1J1A106A043 C 0.010UF, K, 10V 1 C9840 F1G1E103A123 C 0.010UF, K, 16V 1 C9841 F1G1C104A119 C 0.10UF, K, 16V 1 C9842 F1G1C104A119 C 0.10UF, K, 16V 1 C9844 F1G1E103A123 C 0.010UF, K, 16V 1 C9845 F1G1C104A119 C 0.10UF, K, 16V 1 C9846 F1G1C104A119 C 0.10UF, K, 16V 1 C9858 ECJ3YB1E106M C 10 UF, K, 25V 1 C9859 F1G1E103A123 C 0.010UF, K, 16V 1 C9860 F1J0J475A035 C 4.7UF, K, 16V 1 C9861 F1H1E104A129 C 0.1UF, 25V 1 C9862 F1H1E104A129 C 0.1UF, 25V 1 C9863 F1J0J475A035 C 4.7UF, K, 16V 1 C9864 F1H1E104A129 C 0.1UF, 25V 1 C9865 ECGRL0G680ER C 68PF, J, 4V 1 C9866 ECGRL0G680ER C 68PF, J, 4V 1 C9867 ECJ3YB1E106M C 10 UF, K, 25V 1 C9868 ECJ3YB1E106M C 10 UF, K, 25V 1 C9869 ECJ3YB1E106M C 10 UF, K, 25V 1 C9870 ECJ3YB1E106M C 10 UF, K, 25V 1 C9871 ECJ3YB1E106M C 10 UF, K, 25V 1 C9872 ECJ3YB1E106M C 10 UF, K, 25V 1 C9873 ECGRL0G680ER C 68PF, J, 4V 1 C9874 F1G1H680A731 C 68UF, 50V 1 C9877 F1G1H680A731 C 68UF, 50V 1 C9878 F1G1E103A123 C 0.010UF, K, 16V 1 C9879 F1G1C153A116 C 0.015UF, K, 16V 1 C9880 F1G1A563A032 C 0.56UF, 10V 1 C9881 F1G1E103A123 C 0.010UF, K, 16V 1 C9882 F1G1C822A116 C 8200UF, K, 16V 1 C9883 F1G1H101A731 C 100PF, K, 50V 1 C9884 F1G1H102A730 C 1000UF, 50V 1 C9885 F1G1H102A730 C 1000UF, 50V 1 C9886 F1H1E104A129 C 0.1UF, 25V 1 C9887 F1H1E104A129 C 0.1UF, 25V 1 C9888 F1G1H361A731 C 360UF, 50V 1 C9889 F1J1A106A043 C 0.010UF, K, 10V 1 C9900 F1G1C104A116 C 0.10UF, K, 16V 1 C9901 F1G1C104A116 C 0.10UF, K, 16V 1 C9902 F1G1C104A116 C 0.10UF, K, 16V 1 C9903 F1G1C104A116 C 0.10UF, K, 16V 1 C9904 F1G1C104A116 C 0.10UF, K, 16V 1 C9905 F1G1C104A116 C 0.10UF, K, 16V 1 C9906 F1G1C104A116 C 0.10UF, K, 16V 1 C9907 F1G1C104A116 C 0.10UF, K, 16V 1 C9908 F1G1C104A116 C 0.10UF, K, 16V 1 C9909 F1G1C104A116 C 0.10UF, K, 16V 1 C9910 F1G1C104A116 C 0.10UF, K, 16V 1 C9911 F1G1C104A116 C 0.10UF, K, 16V 1 C9912 F1G1C104A116 C 0.10UF, K, 16V 1 C9913 F1G1C104A116 C 0.10UF, K, 16V 1 C9914 F1G1C104A116 C 0.10UF, K, 16V 1 C9915 F1G1C104A116 C 0.10UF, K, 16V 1 C9916 F1G1C104A116 C 0.10UF, K, 16V 1 C9917 F1G1C104A116 C 0.10UF, K, 16V 1 C9918 F1G1C104A116 C 0.10UF, K, 16V 1 C9919 F1G1C104A116 C 0.10UF, K, 16V 1 C9920 F1G1C104A116 C 0.10UF, K, 16V 1 C9921 F1G1C104A116 C 0.10UF, K, 16V 1 C9922 F1G1C104A116 C 0.10UF, K, 16V 1 C9923 F1G1C104A116 C 0.10UF, K, 16V 1 C9924 F1G1C104A116 C 0.10UF, K, 16V 1 C9925 F1G1C104A116 C 0.10UF, K, 16V 1 C9927 F1G1C104A116 C 0.10UF, K, 16V 1 C9928 F1G1C104A116 C 0.10UF, K, 16V 1 C9929 F1G1C104A116 C 0.10UF, K, 16V 1 C9930 F1G1C104A116 C 0.10UF, K, 16V 1 C9931 F1G1C104A116 C 0.10UF, K, 16V 1 C9932 F1G1C104A116 C 0.10UF, K, 16V 1 安全 标记 参考号 部品号 部品名称 & 说明 件数 备注 C9933 F1G1C104A116 C 0.10UF, K, 16V 1 C9934 F1G1C104A116 C 0.10UF, K, 16V 1 C9935 F1G1C104A116 C 0.10UF, K, 16V 1 C9936 F1G1C104A116 C 0.10UF, K, 16V 1 C9937 F1G1C104A116 C 0.10UF, K, 16V 1 C9938 F1G1C104A116 C 0.10UF, K, 16V 1 C9939 F1G1C104A116 C 0.10UF, K, 16V 1 C9940 F1G1C104A116 C 0.10UF, K, 16V 1 C9941 F1G1C104A116 C 0.10UF, K, 16V 1 C9942 F1G1C104A116 C 0.10UF, K, 16V 1 C9943 F1G1C104A116 C 0.10UF, K, 16V 1 C9944 F1G1C104A116 C 0.10UF, K, 16V 1 C9945 F1G1C104A116 C 0.10UF, K, 16V 1 C9946 F1G1C104A116 C 0.10UF, K, 16V 1 C9947 F1G1C104A116 C 0.10UF, K, 16V 1 C9948 F1G1C104A116 C 0.10UF, K, 16V 1 C9949 F1G1C104A116 C 0.10UF, K, 16V 1 C9950 F1G1C104A116 C 0.10UF, K, 16V 1 C9951 F1G1C104A116 C 0.10UF, K, 16V 1 C9952 F1G1C104A116 C 0.10UF, K, 16V 1 C9953 F1G1C104A116 C 0.10UF, K, 16V 1 C9954 F1G1C104A116 C 0.10UF, K, 16V 1 C9955 F1G1C104A116 C 0.10UF, K, 16V 1 C9956 F1G1C104A116 C 0.10UF, K, 16V 1 C9957 F1G1C104A116 C 0.10UF, K, 16V 1 C9958 F1G1C104A116 C 0.10UF, K, 16V 1 C9959 F1G1C104A116 C 0.10UF, K, 16V 1 C9961 F1J1A106A043 C 0.010UF, K, 10V 1 C9962 F1J1A106A043 C 0.010UF, K, 10V 1 C9965 F1G1C104A116 C 0.10UF, K, 16V 1 C9966 F1J1A106A043 C 0.010UF, K, 10V 1 C9967 F1G1C104A116 C 0.10UF, K, 16V 1 C9968 F1G1C104A116 C 0.10UF, K, 16V 1 C9970 F1G1C104A116 C 0.10UF, K, 16V 1 C9971 F1G1H180A731 C 18UF, 50V 1 C9972 F1G1H150A731 C 15UF, 50V 1 C9973 F1G1C104A116 C 0.10UF, K, 16V 1 C9974 F1G1C104A116 C 0.10UF, K, 16V 1 C9975 F1G1C104A116 C 0.10UF, K, 16V 1 C9976 F1G1C104A116 C 0.10UF, K, 16V 1 C9977 F1G1C104A116 C 0.10UF, K, 16V 1 C9978 F1G1C104A116 C 0.10UF, K, 16V 1 C9979 F1G1C104A116 C 0.10UF, K, 16V 1 C9980 F1G1C104A116 C 0.10UF, K, 16V 1 C14350 F1L2J1020001 C 1000UF, K,6.3V 1 C14901 F1J1H102A834 C 1000UF, 50V 1 C14902 F1J1C1050030 C 1UF, Z, 16V 1 C14904 F1J1C1050030 C 1UF, Z, 16V 1 C14906 F1J1C1050030 C 1UF, Z, 16V 1 C14907 F1L2J1020001 C 1000UF, K,6.3V 1 C14908 F1J1C1050030 C 1UF, Z, 16V 1 C14910 F1J1C1050030 C 1UF, Z, 16V 1 C14912 F1J1C1050030 C 1UF, Z, 16V 1 C14923 F1L2E104A028 E 1000UF, 25V 1 C14924 F1L2E104A028 E 1000UF, 25V 1 C14926 F1J1H104A835 C 0.10UF, 50V 1 C14931 F1J1H102A834 C 1000UF, 50V 1 C14932 F1L2E104A028 E 1000UF, 25V 1 C14933 F1L2E104A028 E 1000UF, 25V 1 C14934 F1L2E104A028 E 1000UF, 25V 1 C14935 F1L2E104A028 E 1000UF, 25V 1 C14936 F1J1H221A709 C 220UF, 50V 1 C14937 F1J1H221A709 C 220UF, 50V 1 C14938 F1J1H221A709 C 220UF, 50V 1 C14939 F1J1H221A709 C 220UF, 50V 1 C14940 F1J1H102A834 C 1000UF, 50V 1 C14941 F1J1H221A709 C 220UF, 50V 1 C14942 F1J1H221A709 C 220UF, 50V 1 C14943 F1L1E4750012 C 4.7UF, 25V 1 安全 标记 参考号 部品号 部品名称 & 说明 件数 备注 108 C14950 F1J1H221A709 C 220UF, 50V 1 C14952 F1J1C1050030 C 1UF, Z, 16V 1 C14955 F1J1C1050030 C 1UF, Z, 16V 1 C14957 F1J1C1050030 C 1UF, Z, 16V 1 C14958 F1J1C1050030 C 1UF, Z, 16V 1 C14961 F1J1C1050030 C 1UF, Z, 16V 1 C14963 F1J1C1050030 C 1UF, Z, 16V 1 C14969 F1J1H104A835 C 0.10UF, 50V 1 C14970 F1J1H221A709 C 220UF, 50V 1 C14971 F1J1H221A709 C 220UF, 50V 1 C14972 F1J1H221A709 C 220UF, 50V 1 C14973 F1J1H102A834 C 1000UF, 50V 1 C14974 F1L2E104A028 E 1000UF, 25V 1 C14975 F1L2E104A028 E 1000UF, 25V 1 C14976 F1J1H102A834 C 1000UF, 50V 1 C14977 F1L2E104A028 E 1000UF, 25V 1 C14978 F1L2E104A028 E 1000UF, 25V 1 C14981 F1J1H221A709 C 220UF, 50V 1 C14984 F1L2E104A028 E 1000UF, 25V 1 C14985 F1L2E104A028 E 1000UF, 25V 1 C14986 F1J1H101A836 C 100PF, K, 50V 1 C14987 F1J1H104A835 C 0.10UF, 50V 1 C14988 F1J1H104A835 C 0.10UF, 50V 1 C14989 F1J1H221A709 C 220UF, 50V 1 C14991 F1H1H100A971 C 10PF, K, 50V 1 C14992 F1H1C105A008 C 1UF, K, 16V 1 C14993 F1H1C105A008 C 1UF, K, 16V 1 C16001 F1L2J562A022 C 5600UF, K,6.3V 1 C16011 F2A2T251A004 E 250UF, 220V 1 C16012 F2A2T251A004 E 250UF, 220V 1 C16013 F2A2T251A004 E 250UF, 220V 1 C16015 F0C2E225A230 E 0.022UF, 250V 1 C16023 F1L2J562A022 C 5600UF, K,6.3V 1 C16041 F1H1H392A970 C 3900PF, K, 50V 1 C16071 F1L2J1020001 C 1000UF, K,6.3V 1 C16092 F1L2J1020001 C 1000UF, K,6.3V 1 C16131 F1L1E4750012 C 4.7UF, 25V 1 C16133 F1L1E4750012 C 4.7UF, 25V 1 C16135 F1K1E105A029 C 1UF, Z, 25V 1 C16151 F1K1E105A029 C 1UF, Z, 25V 1 C16152 F1L1E4750012 C 4.7UF, 25V 1 C16153 F1L1E4750012 C 4.7UF, 25V 1 C16154 F1L1E4750012 C 4.7UF, 25V 1 C16192 F1L1E4750012 C 4.7UF, 25V 1 C16194 F1L1E4750012 C 4.7UF, 25V 1 C16195 F1L1E4750012 C 4.7UF, 25V 1 C16197 F1L1E4750012 C 4.7UF, 25V 1 C16201 F0C2E405A232 E 0.040UF, 250V 1 C16202 F0C2E405A232 E 0.040UF, 250V 1 C16203 F0C2E405A232 E 0.040UF, 250V 1 C16241 F2A1A101A106 E 100UF, 10V 1 C16242 F1H1C105A008 C 1UF, K, 16V 1 C16243 F1J1H103A834 C 0.01UF, K, 50V 1 C16251 F1H1C105A008 C 1UF, K, 16V 1 C16252 F1K1E105A029 C 1UF, Z, 25V 1 C16261 F2A2A471A072 E 470UF, 100V 1 C16262 F2A2A471A072 E 470UF, 100V 1 C16272 F2A1E471A487 E 470UF, 25V 1 C16280 F1K1E105A029 C 1UF, Z, 25V 1 C16282 ECJ1VB1H104K C 0.1UF, K, 50V 1 C16283 ECJ1VB1H104K C 0.1UF, K, 50V 1 C16284 ECJ1VB1H104K C 0.1UF, K, 50V 1 C16285 ECJ1VB1H104K C 0.1UF, K, 50V 1 C16301 F2A1E470A454 E 47UF, 25V 1 C16302 F1H1H471A219 C 470UF, 50V 1 C16310 F2A2T251A004 E 250UF, 220V 1 C16311 F1H1A1050032 C 10UF, 50V 1 C16312 F1H1H472A970 C 4700PF, K, 50V 1 C16313 F1H1C105A008 C 1UF, K, 16V 1 安全 标记 参考号 部品号 部品名称 & 说明 件数 备注 C16321 F1L2E224A028 E 2200UF, 25V 1 C16322 F1L2E224A028 E 2200UF, 25V 1 C16323 F2A1E470A454 E 47UF, 25V 1 C16324 F2A1E471A487 E 470UF, 25V 1 C16326 F1L1E4750012 C 4.7UF, 25V 1 C16328 F2A2D221A092 E 220UF, 200V 1 C16336 F1H1H102A970 C 1000PF, K, 50V 1 C16337 ECJ1VB1H104K C 0.1UF, K, 50V 1 C16402 F1L2J562A022 C 5600UF, K,6.3V 1 C16411 F2A2T251A004 E 250UF, 220V 1 C16412 F2A2T251A004 E 250UF, 220V 1 C16414 F0C2E225A230 E 0.022UF, 250V 1 C16418 F2A2T251A004 E 250UF, 220V 1 C16419 F2A2T251A004 E 250UF, 220V 1 C16421 F1L2J562A022 C 5600UF, K,6.3V 1 C16441 F1H1H392A970 C 3900PF, K, 50V 1 C16471 F1L2J1020001 C 1000UF, K,6.3V 1 C16472 F1K1E105A029 C 1UF, Z, 25V 1 C16480 F1J1H104A835 C 0.10UF, 50V 1 C16491 F1L2J1020001 C 1000UF, K,6.3V 1 C16502 F1L1E4750012 C 4.7UF, 25V 1 C16504 F1L1E4750012 C 4.7UF, 25V 1 C16505 F1K1E105A029 C 1UF, Z, 25V 1 C16521 F1K1E105A029 C 1UF, Z, 25V 1 C16522 F1L1E4750012 C 4.7UF, 25V 1 C16524 F1L1E4750012 C 4.7UF, 25V 1 C16525 F1L1E4750012 C 4.7UF, 25V 1 C16562 F1H1C105A008 C 1UF, K, 16V 1 C16563 F2A1A101A106 E 100UF, 10V 1 C16564 F1H1C105A008 C 1UF, K, 16V 1 C16565 F1J1H103A834 C 0.01UF, K, 50V 1 C16566 F1J1H103A834 C 0.01UF, K, 50V 1 C16581 F1K1E105A029 C 1UF, Z, 25V 1 C16582 F1H1C105A008 C 1UF, K, 16V 1 C16593 F1J1H102A836 C 1000UF, 50V 1 C16603 F1K2J102A014 C 1000UF, K,6.3V 1 C16604 F1K2J102A014 C 1000UF, K,6.3V 1 C16605 F1L2J472A022 C 4700UF, K,6.3V 1 C16606 F1L2J472A022 C 4700UF, K,6.3V 1 C16608 F1H1H221A971 C 220UF, K, 50V 1 C16633 F0C2E405A232 E 0.040UF, 250V 1 C16634 F0C2E405A232 E 0.040UF, 250V 1 C16635 F0C2E405A232 E 0.040UF, 250V 1 C16641 ECQE2105RKB P 1UF, 250V 1 C16661 F1K2J102A014 C 1000UF, K,6.3V 1 C16662 F1K2J102A014 C 1000UF, K,6.3V 1 C16664 F1J1H680A836 C 68PF, K, 50V 1 C16665 F1J1H680A836 C 68PF, K, 50V 1 C16666 F1J1H680A836 C 68PF, K, 50V 1 C16691 ECA2CM101 E 100UF, 160V 1 C16708 F1J1H104A835 C 0.10UF, 50V 1 C16721 F2A1H101A493 E 100UF, 50V 1 C16723 F1L1E4750012 C 4.7UF, 25V 1 C16724 F1L1E4750012 C 4.7UF, 25V 1 C16725 F1L1E4750012 C 4.7UF, 25V 1 C16752 F1K1E105A029 C 1UF, Z, 25V 1 C16753 F1L1E4750012 C 4.7UF, 25V 1 C16755 F1L1E4750012 C 4.7UF, 25V 1 C16756 F1L1E4750012 C 4.7UF, 25V 1 C16773 F1L1E4750012 C 4.7UF, 25V 1 C16775 F1L1E4750012 C 4.7UF, 25V 1 C16791 F2A1E221A487 E 220UF, 25V 1 C16795 F2A1E471A487 E 470UF, 25V 1 C16806 ECA2CM101 E 100UF, 160V 1 C16812 F1L1E4750012 C 4.7UF, 25V 1 C16813 ECA2CM101 E 100UF, 160V 1 C16821 F1J1H104A835 C 0.10UF, 50V 1 C16822 F2A2G470A018 E 470UF, 400V 1 C16823 F1L2J562A022 C 5600UF, K,6.3V 1 安全 标记 参考号 部品号 部品名称 & 说明 件数 备注 109 C16832 F1J1H392A834 C 3900UF, 50V 1 C16842 ECA2CM101 E 100UF, 160V 1 C16843 F1J1H104A835 C 0.10UF, 50V 1 C16844 F1J1H104A835 C 0.10UF, 50V 1 C16855 F1H1C105A008 C 1UF, K, 16V 1 C16856 F1H1A1050032 C 10UF, 50V 1 C16857 F1H1H472A970 C 4700PF, K, 50V 1 C16858 F1H1C104A143 C 0.1UF, K, 16V 1 C16860 F1H1A1050032 C 10UF, 50V 1 C16861 F1H1H472A970 C 4700PF, K, 50V 1 C16862 F1H1C104A143 C 0.1UF, K, 16V 1 C16863 F1J1H103A834 C 0.01UF, K, 50V 1 C16864 F1J1H104A835 C 0.10UF, 50V 1 C16866 F1H1A1050032 C 10UF, 50V 1 C16867 F1H1H472A970 C 4700PF, K, 50V 1 C16868 F1H1C104A143 C 0.1UF, K, 16V 1 C16869 F1J1H104A835 C 0.10UF, 50V 1 C17111 F1H1A1050032 C 10UF, 50V 1 C17112 F1H1A1050032 C 10UF, 50V 1 C17113 F1L2E154A009 E 1500UF, 25V 1 C17114 F1L2E154A009 E 1500UF, 25V 1 C17121 F1H1A1050032 C 10UF, 50V 1 C17122 F1H1A1050032 C 10UF, 50V 1 C17123 F1L2E154A009 E 1500UF, 25V 1 C17124 F1L2E154A009 E 1500UF, 25V 1 C17131 F1H1A1050032 C 10UF, 50V 1 C17132 F1H1A1050032 C 10UF, 50V 1 C17133 F1L2E154A009 E 1500UF, 25V 1 C17134 F1L2E154A009 E 1500UF, 25V 1 C17141 F1H1A1050032 C 10UF, 50V 1 C17142 F1H1A1050032 C 10UF, 50V 1 C17143 F1L2E154A009 E 1500UF, 25V 1 C17144 F1L2E154A009 E 1500UF, 25V 1 C17151 F1H1A1050032 C 10UF, 50V 1 C17152 F1H1A1050032 C 10UF, 50V 1 C17153 F1L2E154A009 E 1500UF, 25V 1 C17154 F1L2E154A009 E 1500UF, 25V 1 C17161 F1H1A1050032 C 10UF, 50V 1 C17163 F1H1C104A143 C 0.1UF, K, 16V 1 C17165 F1H1C104A143 C 0.1UF, K, 16V 1 C17211 F1H1A1050032 C 10UF, 50V 1 C17212 F1H1A1050032 C 10UF, 50V 1 C17213 F1L2E154A009 E 1500UF, 25V 1 C17214 F1L2E154A009 E 1500UF, 25V 1 C17221 F1H1A1050032 C 10UF, 50V 1 C17222 F1H1A1050032 C 10UF, 50V 1 C17223 F1L2E154A009 E 1500UF, 25V 1 C17224 F1L2E154A009 E 1500UF, 25V 1 C17231 F1H1A1050032 C 10UF, 50V 1 C17232 F1H1A1050032 C 10UF, 50V 1 C17233 F1L2E154A009 E 1500UF, 25V 1 C17234 F1L2E154A009 E 1500UF, 25V 1 C17261 F1H1A1050032 C 10UF, 50V 1 C17262 F1H1C104A143 C 0.1UF, K, 16V 1 C17264 F1H1C104A143 C 0.1UF, K, 16V 1 C17266 F1H1C104A143 C 0.1UF, K, 16V 1 C17268 F1H1A1050032 C 10UF, 50V 1 C17311 F1H1A1050032 C 10UF, 50V 1 C17312 F1H1A1050032 C 10UF, 50V 1 C17313 F1L2E154A009 E 1500UF, 25V 1 C17314 F1L2E154A009 E 1500UF, 25V 1 C17321 F1H1A1050032 C 10UF, 50V 1 C17322 F1H1A1050032 C 10UF, 50V 1 C17323 F1L2E154A009 E 1500UF, 25V 1 C17324 F1L2E154A009 E 1500UF, 25V 1 C17331 F1H1A1050032 C 10UF, 50V 1 C17332 F1H1A1050032 C 10UF, 50V 1 C17333 F1L2E154A009 E 1500UF, 25V 1 C17334 F1L2E154A009 E 1500UF, 25V 1 安全 标记 参考号 部品号 部品名称 & 说明 件数 备注 C17361 F1H1A1050032 C 10UF, 50V 1 C17362 F1H1C104A143 C 0.1UF, K, 16V 1 C17364 F1H1C104A143 C 0.1UF, K, 16V 1 C17366 F1H1C104A143 C 0.1UF, K, 16V 1 C17368 F1H1C104A143 C 0.1UF, K, 16V 1 C17390 F1K2A105A006 C 1UF, 100V 1 CB1 K1MN68BA0052 68P 连接接头 1 CB2 K1MN68BA0052 68P 连接接头 1 CB3 K1MN68BA0052 68P 连接接头 1 CB4 K1MN68BA0052 68P 连接接头 1 CB5 K1MN68BA0052 68P 连接接头 1 CB6 K1MN68BA0052 68P 连接接头 1 CB7 K1MN68BA0052 68P 连接接头 1 CB8 K1MN68BA0052 68P 连接接头 1 CB9 K1MN68BA0052 68P 连接接头 1 CB10 K1MN68BA0052 68P 连接接头 1 CB11 K1MN68BA0052 68P 连接接头 1 D5 K1KB31BA0064 31P 连接接头 1 D6 K1KA20AA0009 20P 连接接头 1 D20 K1MN30BA0255 30P 连接接头 1 D25 K1KA13B00069 13P 连接接头 1 D31 K1MN55BA0266 55P 连接接头 1 D32 K1MN68BA0266 68P 连接接头 1 D801 B0JCME000037 二极管 1 D802 B0JCME000037 二极管 1 D803 B0JCPE000004 二极管 1 D804 B0JCPE000004 二极管 1 D805 B0JCPE000004 二极管 1 D806 B0JCPE000004 二极管 1 D807 B0JCPE000004 二极管 1 D808 B0JCPE000004 二极管 1 D809 B0JCPE000004 二极管 1 D810 B0JCPE000004 二极管 1 D811 B0BC01100001 稳压二极管 1 D812 B0BC4R700007 稳压二极管 1 D813 B0BC4R700007 稳压二极管 1 D814 B0BC6R600005 稳压二极管 1 D815 B0BC4R700007 稳压二极管 1 D816 B0BC4R700007 稳压二极管 1 D817 B0BC6R600005 稳压二极管 1 D818 B0BC4R700007 稳压二极管 1 D819 B0BC4R700007 稳压二极管 1 D821 B0BC6R600005 稳压二极管 1 D824 B0BC6R600005 稳压二极管 1 D825 B0BC6R600005 稳压二极管 1 D826 B0BC6R600005 稳压二极管 1 D1550 LNJ107W5PRW LED 1 D1551 MAZ80330LL 稳压二极管 1 D1554 MAZ80330LL 稳压二极管 1 D2301 B0JCME000037 二极管 1 D2302 B0JCME000037 二极管 1 D2303 B0JCME000037 二极管 1 D3001 MA2J11100L 二极管 1 D3003 MA2J11100L 二极管 1 D3004 MA2J11100L 二极管 1 D3302 MAZ81400ML 稳压二极管 1 D3304 MAZ81400ML 稳压二极管 1 D3306 MAZ81400ML 稳压二极管 1 D3307 MAZ81400ML 稳压二极管 1 D3308 MAZ81400ML 稳压二极管 1 D3309 MAZ81400ML 稳压二极管 1 D3310 MAZ81400ML 稳压二极管 1 D3311 MA3036H 稳压二极管 1 D3504 MA3056MTX 稳压二极管 1 D3507 MA8160H 稳压二极管 1 D3508 MA8160H 稳压二极管 1 D3509 MA8160H 稳压二极管 1 安全 标记 参考号 部品号 部品名称 & 说明 件数 备注 110 D3510 MA8160H 稳压二极管 1 D3511 B0HCMM000014 二极管 1 D3512 B0HCMM000014 二极管 1 D4351 B0JCME000037 二极管 1 D4352 MA3X152D0L 二极管 1 D4353 MA3X152D0L 二极管 1 D4356 MA2J11100L 二极管 1 D4701 MAZ303300L 稳压二极管 1 D4703 MA2J72800L 稳压二极管 1 D4712 MA2J72800L 稳压二极管 1 D4713 MA152K 二极管 1 D4714 MA152K 二极管 1 D4715 MA152K 二极管 1 D4716 MA152K 二极管 1 D4721 MA3036H 稳压二极管 1 D4732 MA152K 二极管 1 D4733 MA152K 二极管 1 D4734 MA152K 二极管 1 D4735 MA152K 二极管 1 D4901 B0JCME000037 二极管 1 D4902 B0JCPE000004 二极管 1 D4903 B0JCGD000002 二极管 1 D4904 B0JCGD000002 二极管 1 D4905 MA22D3900L 二极管 1 D4906 MA22D3900L 二极管 1 D8001 MA2J11100L 二极管 1 D8003 MA2J11100L 二极管 1 D8010 MA153A 二极管 1 D8011 MA153A 二极管 1 D8012 MA152K 二极管 1 D8013 MA152K 二极管 1 D8014 MA152K 二极管 1 D8015 MA152K 二极管 1 D8180 MA2J11100L 二极管 1 D8181 MAZ80560ML 稳压二极管 1 D8184 MAZ80560ML 稳压二极管 1 D8185 MAZ80560ML 稳压二极管 1 D8200 MAZ31600ML 稳压二极管 1 D8201 MA2J11100L 二极管 1 D8203 MAZ81000ML 稳压二极管 1 D8204 MA2J11100L 二极管 1 D8209 MA2J11100L 二极管 1 D8210 MAZ80680ML 稳压二极管 1 D8211 MA2J11100L 二极管 1 D8212 MAZ80560ML 稳压二极管 1 D8213 MA2J11100L 二极管 1 D9017 B0BC3R3A0273 稳压二极管 1 D9018 B0BC3R3A0273 稳压二极管 1 D9019 B0BC3R3A0273 稳压二极管 1 D9110 B0JCGD000002 二极管 1 D9807 B0JCCE000008 二极管 1 D9808 B0JCCE000008 二极管 1 D9812 MA22D3900L 二极管 1 D9813 B0JCGD000002 二极管 1 D9814 B0JCGD000002 二极管 1 D9815 B0JCGD000002 二极管 1 D9816 MA22D3900L 二极管 1 D9817 MA22D3900L 二极管 1 D14905 B0HCMM000013 二极管 1 D14906 B0HCMM000013 二极管 1 D14907 B0HCMM000013 二极管 1 D14909 MA3X152E0L 稳压二极管 1 D14910 MA2J11100L 二极管 1 D14953 B0HCMM000013 二极管 1 D14956 B0HCMM000013 二极管 1 D14957 B0HCMM000013 二极管 1 D14959 MA2J11100L 二极管 1 D14960 MA2J11100L 二极管 1 D14961 MA8056H 稳压二极管 1 安全 标记 参考号 部品号 部品名称 & 说明 件数 备注 D14962 MA2J11100L 二极管 1 D14971 MA2J11100L 二极管 1 D14974 MA3X152E0L 稳压二极管 1 D14975 MA2J11100L 二极管 1 D14976 MA2J11100L 二极管 1 D16001 B0FBCN000005 二极管 1 D16021 MA3DF30000LW 稳压二极管 1 D16032 MA2J11100L 二极管 1 D16040 B0ECKP000047 二极管 1 D16041 MA3DF46000LW 稳压二极管 1 D16042 MA3DF46000LW 稳压二极管 1 D16050 B0ECKP000047 二极管 1 D16051 B0FBCN000005 二极管 1 D16052 B0FBCN000005 二极管 1 D16102 MA22D3900L 二极管 1 D16104 MA22D3900L 二极管 1 D16131 B0ECKP000047 二极管 1 D16132 B0ECKP000047 二极管 1 D16151 B0ECKP000047 二极管 1 D16152 B0ECKP000047 二极管 1 D16153 B0ECKP000047 二极管 1 D16191 B0ECKP000047 二极管 1 D16192 B0ECKP000047 二极管 1 D16253 LNJ301MPUJA LED 1 D16255 MA2J11100L 二极管 1 D16280 MA2J11100L 二极管 1 D16281 MAZ80510LL 稳压二极管 1 D16282 MAZ80680ML 稳压二极管 1 D16283 MA3X152D0L 二极管 1 D16284 MA3X152D0L 二极管 1 D16300 B0ECKP000047 二极管 1 D16301 MA3X152E0L 稳压二极管 1 D16302 MA2J11100L 二极管 1 D16311 MAZ81500ML 稳压二极管 1 D16313 B0ECKP000047 二极管 1 D16321 B0ECKP000047 二极管 1 D16324 MA3X152D0L 二极管 1 D16331 B0ECHP000003 二极管 1 D16335 B0ECLM000006 二极管 1 D16401 B0FBCN000005 二极管 1 D16402 B0FBCN000005 二极管 1 D16407 MA22D3900L 二极管 1 D16421 MA3DF40000LW 稳压二极管 1 D16441 B0ECKP000047 二极管 1 D16451 B0ECKP000047 二极管 1 D16461 MA3DF46000LW 稳压二极管 1 D16462 MA3DF46000LW 稳压二极管 1 D16466 MA2J11100L 二极管 1 D16473 MA3X152D0L 二极管 1 D16475 MAZ80510LL 稳压二极管 1 D16478 B0HCKS000002 二极管 1 D16480 MA2J11100L 二极管 1 D16481 B0FBCN000005 二极管 1 D16482 B0FBCN000005 二极管 1 D16497 B0ECKP000047 二极管 1 D16501 B0ECKP000047 二极管 1 D16503 B0ECKP000047 二极管 1 D16521 B0ECKP000047 二极管 1 D16522 B0ECKP000047 二极管 1 D16523 B0ECKP000047 二极管 1 D16583 LNJ301MPUJA LED 1 D16585 MA2J11100L 二极管 1 D16601 MA3X152E0L 稳压二极管 1 D16602 MAZ81500ML 稳压二极管 1 D16604 MA2J11100L 二极管 1 D16605 MAZ80510LL 稳压二极管 1 D16606 B0ECKM000038 二极管 1 D16607 MA2J11100L 二极管 1 D16608 MA8120M 稳压二极管 1 安全 标记 参考号 部品号 部品名称 & 说明 件数 备注 111 D16609 MA2J11100L 二极管 1 D16610 MA2J11100L 二极管 1 D16618 B0ECKP000047 二极管 1 D16619 B0ECKP000047 二极管 1 D16621 B0HDSM000006 二极管 1 D16622 B0HDSM000006 二极管 1 D16631 MAZ82400ML 二极管 1 D16632 MAZ82400ML 二极管 1 D16641 B0HCKS000002 二极管 1 D16642 B0HCKS000002 二极管 1 D16643 MA2J11100L 二极管 1 D16644 B0HCKS000002 二极管 1 D16659 B0HCMM000014 二极管 1 D16660 B0HCMR000002 二极管 1 D16661 MA2J11100L 二极管 1 D16662 MA8330M 稳压二极管 1 D16663 MA8330M 稳压二极管 1 D16664 MA8330M 稳压二极管 1 D16665 MAZ80510LL 稳压二极管 1 D16667 MA2J11100L 二极管 1 D16668 MA3X152D0L 二极管 1 D16669 MA2J11100L 二极管 1 D16670 B0HCMR000002 二极管 1 D16671 MA2J11100L 二极管 1 D16710 MAZ81500ML 稳压二极管 1 D16711 B0HCMR000002 二极管 1 D16712 MAZ81500ML 稳压二极管 1 D16713 B0HCMR000002 二极管 1 D16714 MAZ81500ML 稳压二极管 1 D16715 B0HCMR000002 二极管 1 D16717 MA8330M 稳压二极管 1 D16718 MA2J11100L 二极管 1 D16719 B0ECKP000047 二极管 1 D16720 B0ECKP000047 二极管 1 D16721 B0HCKS000002 二极管 1 D16722 MA2J11100L 二极管 1 D16725 MA2J11100L 二极管 1 D16761 MA2J11100L 二极管 1 D16763 B0ECKP000047 二极管 1 D16764 B0HCKS000002 二极管 1 D16765 B0ECKP000047 二极管 1 D16766 B0ECKP000047 二极管 1 D16771 MAZ80510LL 稳压二极管 1 D16816 MAZ80510LL 稳压二极管 1 D16817 MAZ80680HL 稳压二极管 1 D16820 MA3X152E0L 稳压二极管 1 D16821 MAZ82000ML 稳压二极管 1 D16822 MA2J11100L 二极管 1 D16824 MA8330M 稳压二极管 1 D16825 MA8330M 稳压二极管 1 D16830 MA8056H 稳压二极管 1 D16836 MAZ81500ML 稳压二极管 1 D16837 MA2J11100L 二极管 1 D16838 B0BC027A0234 稳压二极管 1 D16839 B0ECKP000047 二极管 1 D16859 B0HCKS000002 二极管 1 D16860 B0HCKS000002 二极管 1 D16861 MA8330M 稳压二极管 1 D16862 MA8330M 稳压二极管 1 D16871 MAZ82400ML 二极管 1 D16873 MAZ82000ML 稳压二极管 1 D16874 MAZ80510LL 稳压二极管 1 D16875 MA2J11100L 二极管 1 DN1 K1MN68BA0266 68P 连接接头 1 DN2 K1MN68BA0266 68P 连接接头 1 DN4 K1KA14A00248 14P 连接接头 1 DN5 K1KB31BA0064 31P 连接接头 1 DN11 K1KA20AA0009 20P 连接接头 1 安全 标记 参考号 部品号 部品名称 & 说明 件数 备注 DN31 K1KA03AA0714 3P 连接接头 1 DN32 K1KA03AA0714 3P 连接接头 1 DS1 K1MN68BA0076 68P 连接接头 1 DS2 K1KA06AA0104 6P 连接接头 1 DS3 K1MN68BA0076 68P 连接接头 1 DS4 K1KA09AA0714 9P 连接接头 1 DS6 K1KA11AA0715 11P 连接接头 1 DS7 K1KA03AA0190 3P 连接接头 1 DS8 K1KA03AA0190 3P 连接接头 1 DS11 K1KB80B00024 80P 连接接头 1 DS12 K1KB80B00024 80P 连接接头 1 DS13 K1KB80B00024 80P 连接接头 1 DS14 K1KA15AA0194 15P 连接接头 1 DS15 K1KA03AA0104 3P 连接接头 1 FL3000 F1J1E104A148 C 0.10UF, Z, 25V 1 FL3001 F1J1E104A148 C 0.10UF, Z, 25V 1 FL3003 F1J1E104A148 C 0.10UF, Z, 25V 1 FL3004 F1J1E104A148 C 0.10UF, Z, 25V 1 FL3005 F1J1E104A148 C 0.10UF, Z, 25V 1 FL3008 F1J1E104A148 C 0.10UF, Z, 25V 1 FL3009 F1J1E104A148 C 0.10UF, Z, 25V 1 FL3010 F1J1E104A148 C 0.10UF, Z, 25V 1 FL3011 F1J1E104A148 C 0.10UF, Z, 25V 1 FL3012 F1J1E104A148 C 0.10UF, Z, 25V 1 FL3013 F1J1E104A148 C 0.10UF, Z, 25V 1 FL3014 F1J1E104A148 C 0.10UF, Z, 25V 1 FL3015 F1J1E104A148 C 0.10UF, Z, 25V 1 FL3510 TAXA0024 LC 滤波器 1 FL3511 TAXA0024 LC 滤波器 1 FL3512 TAXA0024 LC 滤波器 1 FL3513 TAXA0024 LC 滤波器 1 FL3514 TAXA0024 LC 滤波器 1 FL3515 TAXA0024 LC 滤波器 1 FL3516 TAXA0024 LC 滤波器 1 FL3517 TAXA0024 LC 滤波器 1 FL4001 J0MAB0000175 LC 滤波器 1 FL4114 J0JAD0000028 片状电感 1 FL4115 J0JAD0000028 片状电感 1 FL4116 J0JAD0000028 片状电感 1 FL4501 F1J1E104A148 C 0.10UF, Z, 25V 1 FL4502 F1J1E104A148 C 0.10UF, Z, 25V 1 FL4504 F1J1E104A148 C 0.10UF, Z, 25V 1 FL4901 F1J1E104A148 C 0.10UF, Z, 25V 1 FL4902 F1J1E104A148 C 0.10UF, Z, 25V 1 FL4903 F1J1E104A148 C 0.10UF, Z, 25V 1 FL4904 F1J1E104A148 C 0.10UF, Z, 25V 1 FL4905 F1J1E104A148 C 0.10UF, Z, 25V 1 FL8001 J0MAB0000140 LC 滤波器 1 FL9300 F1J1E104A148 C 0.10UF, Z, 25V 1 FL9301 F1J1E104A148 C 0.10UF, Z, 25V 1 FL9803 F1J1E104A148 C 0.10UF, Z, 25V 1 FL9805 F1J1E104A148 C 0.10UF, Z, 25V 1 FL9806 F1J1E104A148 C 0.10UF, Z, 25V 1 H0 K1KA08AA0714 8P 连接接头 1 H1 K1KA80B00037 80P 连接接头 1 H37 K1KA03AA0190 3P 连接接头 1 HX1 K1KA15AA0194 15P 连接接头 1 IC801 C0DBAYY00183 IC 1 IC802 C0DBAYY00183 IC 1 IC803 C0DBAYY00183 IC 1 IC804 C0CBCAC00275 IC 1 IC805 C0DBEYY00084 IC 1 IC2301 C1AB00002534 IC 1 IC2302 C1AB00002534 IC 1 安全 标记 参考号 部品号 部品名称 & 说明 件数 备注 112 IC2303 C1BB00001006 IC 1 IC2305 C0ABBA000168 IC 1 IC3001 C1AB00002530 IC 1 IC3002 C0JBBR000002 IC 1 IC3003 CXA1315M 线形 IC 1 IC3005 C1AB00002904 IC 1 IC3006 MC14052BF MOS IC (CMOS 门阵列 ) 1 IC3007 C0JBAS000215 IC 1 IC3153 C0JBAZ001120 IC 1 IC3301 CXA2089Q 线形 IC 1 IC3302 C0EBE0000066 IC 1 IC3303 C0CBCAC00275 IC 1 IC3304 C1AB00002487 IC 1 IC3305 C3ABMG000227 IC 1 IC3306 C0JBAZ002269 IC 1 IC3307 C0JBCZ000523 IC 1 IC3309 TVRP523 IC 1 IC3502 TVRQ019 IC 1 IC4001 C0FBAY000055 IC 1 IC4002 C0DBFFD00003 IC 1 IC4003 C0CBCAC00275 IC 1 IC4201 C1AB00002899 IC 1 IC4211 C0JBAA000377 IC 1 IC4212 C0JBAA000377 IC 1 IC4351 C0DBAZG00034 IC 1 IC4501 C1AB00002902 IC 1 IC4502 C3ABQY000032 IC 1 IC4514 C1ZBZ0003600 IC 1 IC4702 TVRP682-3 IC 1 IC4703 TVRP853 IC 1 IC4704 C0EBE0000120 IC 1 IC4712 C0JBAA000175 IC 1 IC4714 C0JBAZ000851 IC 1 IC4715 C0JBAS000215 IC 1 IC4716 C0JBAS000215 IC 1 IC4721 C1ZBZ0003577 IC 1 IC4901 C0DBAYY00274 IC 1 IC4903 C0DBZFF00004 IC 1 IC4904 C0DBZFG00055 IC 1 IC8005 C0JBAB000646 IC 1 IC8007 C0JBAR000419 IC 1 IC8008 C0JBAS000251 IC 1 IC8014 C0ZBZ0001361 IC 1 IC8017 C0JBAB000715 IC 1 IC8018 C0JBAB000715 IC 1 IC8181 C1DB00001208 IC 1 IC9001 TVRP858-2 IC 1 IC9002 C1ZBZ0003577 IC 1 IC9003 MN103SG4GPH3 IC 1 IC9011 C0EBF0000431 IC 1 IC9013 C0JBAZ002060 IC 1 IC9303 TVRP861-1 IC 1 IC9500 C1ZBZ0003759 IC 1 IC9802 C0JBAZ001120 IC 1 IC9803 C0JBAZ001120 IC 1 IC9805 C0DBAYY00274 IC 1 IC9806 C0DBAYY00273 IC 1 IC9900 MN84526 IC 1 IC9901 C3ABQY000032 IC 1 IC14901 AN16081A-VT IC 1 IC14902 AN16081A-VT IC 1 IC14903 AN16081A-VT IC 1 IC14904 AN16081A-VT IC 1 IC14905 AN16081A-VT IC 1 IC14906 AN16081A-VT IC 1 IC14951 AN16081A-VT IC 1 IC14952 AN16081A-VT IC 1 IC14953 AN16081A-VT IC 1 IC14954 AN16081A-VT IC 1 安全 标记 参考号 部品号 部品名称 & 说明 件数 备注 IC14955 AN16081A-VT IC 1 IC14956 AN16081A-VT IC 1 IC14961 C0JBAZ000994 IC 1 IC14962 C0JBAZ000994 IC 1 IC14963 C0JBAA000377 IC 1 IC16131 C0ZBZ0000895 IC 1 IC16151 C0ZBZ0001324 IC 1 IC16191 C0ZBZ0000895 IC 1 IC16241 C0JBAZ002811 IC 1 IC16251 C0BBBA000024 IC 1 IC16301 MIP9L02MBS IC 1 IC16302 C0CBALC00012 IC 1 IC16303 C0JBAC000363 IC 1 IC16471 C0DBEKA00003 IC 1 IC16472 C0JBAA000377 IC 1 IC16501 C0ZBZ0000895 IC 1 IC16521 C0ZBZ0001324 IC 1 IC16561 C0JBAZ002811 IC 1 IC16562 C0JBAZ002811 IC 1 IC16581 C0BBBA000024 IC 1 IC16724 C0CBADC00072 IC 1 IC16725 C0CBADC00072 IC 1 IC16752 C0ZBZ0001324 IC 1 IC16772 C0ZBZ0001325 IC 1 IC16784 MIP9L02MBS IC 1 IC16786 MIP9L02MBS IC 1 IC16787 C0DBEYY00078 IC 1 IC16788 MIP9L02MBS IC 1 IC16789 C0DBEYY00078 IC 1 IC16791 N0BF1FB00002 IC 1 IC17101 C0JBAZ001120 IC 1 IC17102 C0JBAZ001120 IC 1 IC17201 C0JBAZ001120 IC 1 IC17202 C0JBAZ001120 IC 1 IC17203 C0JBAZ001120 IC 1 IC17301 C0JBAZ001120 IC 1 IC17302 C0JBAZ001120 IC 1 IC17303 C0JBAZ001120 IC 1 IC17304 C0JBAZ001120 IC 1 JA1 D0GDR00Z0002 M 0 OHM, 1/10W 1 JA2 D0GDR00Z0002 M 0 OHM, 1/10W 1 JA3 D0GDR00Z0002 M 0 OHM, 1/10W 1 JA4 D0GDR00Z0002 M 0 OHM, 1/10W 1 JA5 D0GDR00Z0002 M 0 OHM, 1/10W 1 JA6 D0GDR00Z0002 M 0 OHM, 1/10W 1 JA7 D0GDR00Z0002 M 0 OHM, 1/10W 1 JA8 D0GDR00Z0002 M 0 OHM, 1/10W 1 JA9 D0GDR00Z0002 M 0 OHM, 1/10W 1 JA10 D0GDR00Z0002 M 0 OHM, 1/10W 1 JK3301 K1QBB1AB0008 连接接头 1 JK3302 K2HA204B0097 插孔 1 JK3303 K2HA204B0097 插孔 1 JK3304 K1CB106B0027 连接接头 1 JK3509 K1FA109B0062 连接接头 1 JK3511 K1FB115BA020 连接接头 1 JK3513 K2HC1YYB0049 插孔 1 JK8500 K4BC02B00013 AV 端子 1 L801 G1C330MA0363 感应线圈 1 L802 G1C330MA0363 感应线圈 1 L803 G1C330MA0363 感应线圈 1 L804 J0JHC0000078 片状电感 1 L805 J0JHC0000078 片状电感 1 L806 J0JHC0000078 片状电感 1 L807 J0JHC0000078 片状电感 1 L808 J0JHC0000078 片状电感 1 L809 J0JHC0000078 片状电感 1 安全 标记 参考号 部品号 部品名称 & 说明 件数 备注 113 L810 J0JHC0000078 片状电感 1 L811 J0JHC0000078 片状电感 1 L812 G1C220M00029 感应线圈 1 L813 J0JHC0000078 片状电感 1 L1501 J0JHC0000078 片状电感 1 L1502 J0JHC0000078 片状电感 1 L1503 J0JHC0000078 片状电感 1 L1505 J0JHC0000078 片状电感 1 L1506 J0JHC0000078 片状电感 1 L1507 J0JHC0000078 片状电感 1 L1508 J0JHC0000078 片状电感 1 L2330 G0A221ZA0041 扼流线圈 1 L2331 G0A221ZA0041 扼流线圈 1 L3002 G1C100K00020 感应线圈 1 L3005 G1C100K00020 感应线圈 1 L3006 G1C100K00020 感应线圈 1 L3050 G1C100K00020 感应线圈 1 L3140 J0JHC0000078 片状电感 1 L3301 EXC3BB221H 扼流线圈 1 L3302 EXC3BB221H 扼流线圈 1 L3303 EXC3BB221H 扼流线圈 1 L3304 EXC3BB221H 扼流线圈 1 L3305 EXC3BB221H 扼流线圈 1 L3306 EXC3BB221H 扼流线圈 1 L3307 EXC3BB221H 扼流线圈 1 L3308 G1C100K00020 感应线圈 1 L3309 G1C100K00020 感应线圈 1 L3310 J0JHC0000078 片状电感 1 L3311 J0JHC0000078 片状电感 1 L3312 G1C6R8MA0061 感应线圈 1 L3313 G1C6R8MA0061 感应线圈 1 L3314 J0JHC0000078 片状电感 1 L3315 J0JHC0000078 片状电感 1 L3316 J0JHC0000078 片状电感 1 L3317 J0JHC0000078 片状电感 1 L3318 J0JHC0000078 片状电感 1 L3319 J0JHC0000078 片状电感 1 L3320 J0JHC0000078 片状电感 1 L3526 ELJPA100KFB 片状电感 1 L3555 ELJPA100KFB 片状电感 1 L4001 J0JHC0000096 片状电感 1 L4003 J0JHC0000096 片状电感 1 L4004 D0GBR00Z0002 M 0 OHM J 1/16W 1 L4201 J0JHC0000096 片状电感 1 L4203 J0JHC0000096 片状电感 1 L4205 J0JHC0000096 片状电感 1 L4207 J0JHC0000096 片状电感 1 L4209 J0JHC0000096 片状电感 1 L4211 D0GBR00Z0002 M 0 OHM J 1/16W 1 L4212 D0GBR00Z0002 M 0 OHM J 1/16W 1 L4351 G1C101MA0363 感应线圈 1 L4501 J0JHC0000096 片状电感 1 L4503 J0JHC0000096 片状电感 1 L4505 J0JHC0000096 片状电感 1 L4507 J0JHC0000096 片状电感 1 L4508 J0JHC0000096 片状电感 1 L4509 J0JHC0000096 片状电感 1 L4511 J0JHC0000096 片状电感 1 L4512 J0JHC0000096 片状电感 1 L4513 J0JHC0000096 片状电感 1 L4514 J0JHC0000096 片状电感 1 L4515 J0JHC0000096 片状电感 1 L4516 J0JHC0000096 片状电感 1 L4521 J0JHC0000096 片状电感 1 L4523 J0JHC0000096 片状电感 1 L4701 J0JHC0000096 片状电感 1 L4702 J0JHC0000096 片状电感 1 L4901 G1C2R2Z00007 感应线圈 1 L4902 G1C1R5Z00006 感应线圈 1 安全 标记 参考号 部品号 部品名称 & 说明 件数 备注 L8003 G1C100K00020 感应线圈 1 L8005 G1C100K00020 感应线圈 1 L8101 J0JHC0000078 片状电感 1 L8102 J0JHC0000078 片状电感 1 L8103 J0JHC0000078 片状电感 1 L8104 J0JHC0000078 片状电感 1 L8105 J0JHC0000078 片状电感 1 L8106 J0JHC0000078 片状电感 1 L9800 G1C2R2Z00007 感应线圈 1 L9801 G1C1R5Z00006 感应线圈 1 L9802 G1C2R2Z00007 感应线圈 1 L9900 J0JHC0000078 片状电感 1 L9901 J0JHC0000078 片状电感 1 L9902 J0JHC0000078 片状电感 1 L9903 J0JHC0000078 片状电感 1 L16001 G0C1R6KA0119 校正线圈 1 L16002 G0C1R6KA0119 校正线圈 1 L16003 G0C1R6KA0119 校正线圈 1 L16004 G0C1R6KA0119 校正线圈 1 L16011 G0C1R6KA0119 校正线圈 1 L16012 G0C1R6KA0119 校正线圈 1 L16013 G0C1R6KA0119 校正线圈 1 L16014 G0C1R6KA0119 校正线圈 1 L16102 J0JJC0000015 片状电感 1 L16103 G0ZZ00002183 校正线圈 1 L16104 J0JJC0000015 片状电感 1 L16221 G0ZZ00002183 校正线圈 1 L16262 G0ZZ00002183 校正线圈 1 L16271 G0ZZ00002183 校正线圈 1 L16301 J0JHC0000031 片状电感 1 L16398 J0JJC0000015 片状电感 1 L16399 J0JJC0000015 片状电感 1 L16401 G0C1R4KA0118 校正线圈 1 L16402 G0C1R4KA0118 校正线圈 1 L16404 G0C1R4KA0118 校正线圈 1 L16411 G0C1R4KA0118 校正线圈 1 L16412 G0C1R4KA0118 校正线圈 1 L16414 G0C1R4KA0118 校正线圈 1 L16472 G0ZZ00002183 校正线圈 1 L16591 G0ZZ00002183 校正线圈 1 L16697 G0C102KA0187 校正线圈 1 L16698 G0C681KA0187 校正线圈 1 L16699 G0C331KA0187 校正线圈 1 L16801 G0ZZ00002183 校正线圈 1 PA801 K5H5022A0031 保险丝 1 PA4901 K5H4022A0031 保险丝 1 PA4902 K5H4022A0031 保险丝 1 PA9800 K5H4022A0031 保险丝 1 PA9900 K5H5022A0031 保险丝 1 PC14951 B3PBA0000457 IC 1 PC14952 B3PBA0000457 IC 1 PC16480 B3PBA0000223 IC 1 PC16601 B3PBA0000223 IC 1 PC16602 B3PBA0000443 IC 1 PC16603 B3PBA0000223 IC 1 PC16705 B3PBA0000456 IC 1 PC16710 B3PBA0000223 IC 1 PC16896 B3PBA0000223 IC 1 PC16897 B3PBA0000223 IC 1 PCB TXAUW01XLTC H3 电路板 ( 左 ) 1 PCB TXAUW01ZMTC H3 电路板 ( 右 ) 1 PCB TNPA4423 DS 电路板 1 PCB TNPA4489 HX 电路板 1 PPDS PCB TXNHU1VBTC HU 电路板 1 PCB TXNDN2VETC DN 电路板 1 PPDS PCB N0AE6JL00002 P 电路板 1 安全 标记 参考号 部品号 部品名称 & 说明 件数 备注 114 PCB TXNC11RQTC C1 电路板 1 PCB TXNC21RQTC C2 电路板 1 PCB TXNC31RQTC C3 电路板 1 PCB TXN/D1VETC D 电路板 1 PPDS PCB TXNSC1RQTC SC 电路板 1 PCB TXNSD1RQTC SD 电路板 1 PCB TXNSS1RQTC SS 电路板 1 PCB TXNSS21RQTC SS2 电路板 1 PCB TXNSS31RQTC SS3 电路板 1 PCB TXNSU1RQTC SU 电路板 1 PCB TXNV21VBTC V2 电路板 1 PCB TXNV11VBTC V1 电路板 1 PCB TXNS11VBTC S1 电路板 1 Q801 B1DHDC000028 FET 1 Q802 2SD0601ARL 三极管 1 Q803 B1DHDC000028 FET 1 Q804 2SD0601ARL 三极管 1 Q805 2SD0601ARL 三极管 1 Q806 2SD0601ARL 三极管 1 Q807 2SD0601ARL 三极管 1 Q1540 2SD0601ASL 三极管 1 Q2300 B1BBCF000028 三极管 1 Q2331 B1BBCF000028 三极管 1 Q2372 2SD0601ARL 三极管 1 Q3301 2SD0601ARL 三极管 1 Q3302 2SD0601ARL 三极管 1 Q3303 2SD0601ARL 三极管 1 Q3304 2SD0601ARL 三极管 1 Q3305 2SB0709ARL 三极管 1 Q3306 2SB0709ARL 三极管 1 Q3307 2SB0709ARL 三极管 1 Q3308 2SB0709ARL 三极管 1 Q3531 2SD0601ARL 三极管 1 Q3532 2SD0601ARL 三极管 1 Q4351 2SD0601ARL 三极管 1 Q4701 B1CBHD000002 FET 1 Q4702 2SD0601ARL 三极管 1 Q4703 2SD0601ARL 三极管 1 Q4704 2SD0601ARL 三极管 1 Q4705 2SD0601ARL 三极管 1 Q4706 2SD0601ARL 三极管 1 Q4707 2SD0601ARL 三极管 1 Q4708 2SD0601ARL 三极管 1 Q4709 2SD0601ARL 三极管 1 Q4710 2SD0601ARL 三极管 1 Q4711 2SD0601ARL 三极管 1 Q4713 2SD0601ARL 三极管 1 Q4714 2SD0601ARL 三极管 1 Q4715 2SD0601ARL 三极管 1 Q4717 2SD0601ARL 三极管 1 Q4718 2SD0601ARL 三极管 1 Q4901 B1DHDC000028 FET 1 Q4902 2SD0601ARL 三极管 1 Q4903 B1DHDC000028 FET 1 Q4904 2SD0601ARL 三极管 1 Q4905 2SD0601ARL 三极管 1 Q4906 2SD0601ARL 三极管 1 Q4911 B1MBDDA00003 FET 1 Q4912 B1MBDDA00015 FET 1 Q8002 2SD0601ARL 三极管 1 Q8010 2SD0601ARL 三极管 1 Q8011 2SB0709ARL 三极管 1 Q8012 2SD0601ARL 三极管 1 Q8013 2SB0709ARL 三极管 1 Q8019 2SD0601ARL 三极管 1 Q8020 2SD0601ARL 三极管 1 Q8021 2SD0601ARL 三极管 1 Q8022 2SD0601ARL 三极管 1 安全 标记 参考号 部品号 部品名称 & 说明 件数 备注 Q8023 2SD0601ARL 三极管 1 Q8183 B1CBHD000002 FET 1 Q8184 B1CBHD000002 FET 1 Q8200 2SD0601ARL 三极管 1 Q8201 2SD0601ARL 三极管 1 Q8202 2SD0601ARL 三极管 1 Q9010 2SD0601ARL 三极管 1 Q9301 2SD0601ARL 三极管 1 Q9302 2SD0601ARL 三极管 1 Q9805 2SD0601ARL 三极管 1 Q9806 2SD0601ARL 三极管 1 Q9807 B1MBDDA00003 FET 1 Q9808 B1MBDDA00015 FET 1 Q9809 B1MBDDA00003 FET 1 Q14961 2SD0601ARL 三极管 1 Q14962 2SD0601ARL 三极管 1 Q16001 B1JAEN000002 三极管 1 Q16002 B1JAEN000002 三极管 1 Q16021 B1JAEN000002 三极管 1 Q16022 B1JAEN000002 三极管 1 Q16041 B1JAEN000003 三极管 1 Q16051 B1JAEN000003 三极管 1 Q16102 2SK399800L FET 1 Q16104 2SK399800L FET 1 Q16141 B1HFPFA00001 三极管 1 Q16161 B1HFPFA00001 三极管 1 Q16171 B1ABRD000003 三极管 1 Q16172 B1ADRD000001 三极管 1 Q16181 B1ABRD000003 三极管 1 Q16182 B1ADRD000001 三极管 1 Q16191 B1HFPFA00001 三极管 1 Q16251 2SD0601ARL 三极管 1 Q16280 2SD0601ARL 三极管 1 Q16301 B1CBGD000001 FET 1 Q16302 B1CFNG000001 FET 1 Q16304 2SB0709ARL 三极管 1 Q16331 B1CERL000012 FET 1 Q16335 B1CERL000012 FET 1 Q16339 2SK417300L FET 1 Q16401 B1JAEN000002 三极管 1 Q16402 B1JAEN000002 三极管 1 Q16403 B1JAEN000002 三极管 1 Q16421 B1JAEP000002 三极管 1 Q16422 B1JAEP000002 三极管 1 Q16441 B1JAEN000003 三极管 1 Q16451 B1JAEP000003 三极管 1 Q16471 B1ABCF000231 三极管 1 Q16501 B1HFPFA00001 三极管 1 Q16521 B1HFPFA00001 三极管 1 Q16531 B1ABRD000003 三极管 1 Q16532 B1ADRD000001 三极管 1 Q16551 B1ABRD000003 三极管 1 Q16552 B1ADRD000001 三极管 1 Q16581 B1ABCF000231 三极管 1 Q16601 B1DEET000002 FET 1 Q16602 2SD0601AQL 三极管 1 Q16603 2SB0709ARL 三极管 1 Q16604 B1CHPM000001 FET 1 Q16605 2SB0709ARL 三极管 1 Q16606 2SD0601AQL 三极管 1 Q16607 B1CBGD000001 FET 1 Q16608 B1ABCF000231 三极管 1 Q16621 2SK399500L FET 1 Q16622 2SK399500L FET 1 Q16623 2SK399500L FET 1 Q16641 2SK4175000LZ FET 1 Q16642 2SK4175000LZ FET 1 Q16643 2SK4175000LZ FET 1 Q16644 2SK4175000LZ FET 1 安全 标记 参考号 部品号 部品名称 & 说明 件数 备注 115 Q16645 2SK4175000LZ FET 1 Q16661 B1JAER000003 三极管 1 Q16662 2SD0601AQL 三极管 1 Q16663 2SB0709ARL 三极管 1 Q16664 B1HFPFA00001 三极管 1 Q16665 B1ABCF000231 三极管 1 Q16762 B1ADNF000006 三极管 1 Q16781 B1HFPFA00001 三极管 1 Q16805 2SC3063000RL 三极管 1 Q16806 2SC1473AEA 三极管 1 Q16814 B1ABCN000007 三极管 1 Q16815 B1ABCN000007 三极管 1 Q16816 2SD0601AQL 三极管 1 Q16817 2SD0601AQL 三极管 1 Q16871 2SB0709ARL 三极管 1 Q16872 2SB0709ARL 三极管 1 Q16873 B1ABCF000231 三极管 1 Q16874 B1CBGD000001 FET 1 Q16875 B1ABCF000231 三极管 1 Q16876 B1ABCF000231 三极管 1 Q16879 B1ABCF000231 三极管 1 R802 ERJ3GEYJ4R7 M 4.7HM,J,1/16W 1 R804 ERJ3GEYJ203 M 20KOHM,J,1/16W 1 R805 D1BB4992A055 M49.9KOHM, 1/10W 1 R806 D1BB5621A055 M 5.62KOHM, 1/10W 1 R807 D0GB104JA041 M 100KOHM J 1/16W 1 R810 D0GB332JA041 M 3.3KOHM,J,1/16W 1 R811 ERJ3GEYJ4R7 M 4.7HM,J,1/16W 1 R812 D0GB103JA041 M 10K OHM J 1/16W 1 R813 D1BB4532A055 M4.53KOHM, 1/10W 1 R814 D1BB1002A055 M 10KOHM, 1/10W 1 R815 D0GB104JA041 M 100KOHM J 1/16W 1 R818 D0GB104JA041 M 100KOHM J 1/16W 1 R819 ERJ3GEYD512V M 5.1KOHM,J,1/16W 1 R820 D0GB682JA041 M 6.8KOHM,J,1/16W 1 R821 D1BB2612A055 M26.1KOHM, 1/10W 1 R822 D1BB1002A055 M 10KOHM, 1/10W 1 R823 ERJ3GEYJ223 M 22KOHM,J,1/16W 1 R825 D0GB103JA041 M 10K OHM J 1/16W 1 R827 ERJ3GEYJ4R7 M 4.7HM,J,1/16W 1 R829 D0GB332JA041 M 3.3KOHM,J,1/16W 1 R830 D0GB682JA041 M 6.8KOHM,J,1/16W 1 R831 D0GB104JA041 M 100KOHM J 1/16W 1 R832 ERJ3GEYJ4R7 M 4.7HM,J,1/16W 1 R833 ERJ3GEYJ273 M 27KOHM,J,1/16W 1 R834 D1BB6652A055 M66.5KOHM, 1/10W 1 R835 D1BB2871A055 M2.87KOHM, 1/10W 1 R836 D0GB393JA041 M 39KOHM,J,1/16W 1 R838 ERJ12YJ330U M 33 OHM,J, 1/2W 1 R840 ERJ3GEYJ223 M 22KOHM,J,1/16W 1 R843 ERJ12YJ101 M 100 OHM,J, 1/2W 1 R844 ERJ12YJ101 M 100 OHM,J, 1/2W 1 R845 D0GB103JA041 M 10K OHM J 1/16W 1 R848 D0GB103JA041 M 10K OHM J 1/16W 1 R849 D0GB103JA041 M 10K OHM J 1/16W 1 R850 D0GB123JA057 M 12K OHM J 1/16W 1 R851 D0GB103JA041 M 10K OHM J 1/16W 1 R852 D0GB102JA041 M 1KOHM,J,1/16W 1 R858 D0GB103JA041 M 10K OHM J 1/16W 1 R859 D0GB332JA041 M 3.3KOHM,J,1/16W 1 R860 D0GD331JA036 M 330 OHM,J,1/10W 1 R861 D0GD331JA036 M 330 OHM,J,1/10W 1 R862 D0GD331JA036 M 330 OHM,J,1/10W 1 R863 D0GD331JA036 M 330 OHM,J,1/10W 1 R1500 ERJ6GEYJ102V M 1K OHM J 1/10W 1 R1510 ERJ3GEYD222V M 2.2KOHM,J,1/16W 1 R1511 ERJ3GEYF302 M 3.0KOHM, 1/16W 1 R1512 ERJ3EKF4701 M 4.7KOHM, 1/16W 1 安全 标记 参考号 部品号 部品名称 & 说明 件数 备注 R1513 ERJ3GEYD822V M 8.2KOHM,J,1/16W 1 R1550 ERJ6GEYJ102V M 1K OHM J 1/10W 1 R1551 ERJ6GEYJ470V M 47 OHM,J,1/10W 1 R1552 ERJ6GEYJ224 M 220KOHM,J,1/10W 1 R1553 ERJ6GEYJ471 M 470 OHM,J,1/10W 1 R1554 ERJ6GEYJ271V M 270 OHM J 1/10W 1 R2351 D0GB103JA041 M 10K OHM J 1/16W 1 R2352 D0GB103JA041 M 10K OHM J 1/16W 1 R2353 D0GB103JA041 M 10K OHM J 1/16W 1 R2354 D0GB103JA041 M 10K OHM J 1/16W 1 R2355 ERDS1FJ2R2 C 2.2 OHM, J,1/2W 1 R2356 ERDS1FJ2R2 C 2.2 OHM, J,1/2W 1 R2357 ERDS1FJ2R2 C 2.2 OHM, J,1/2W 1 R2358 ERDS1FJ2R2 C 2.2 OHM, J,1/2W 1 R2359 ERDS1FJ2R2 C 2.2 OHM, J,1/2W 1 R2360 ERDS1FJ2R2 C 2.2 OHM, J,1/2W 1 R2361 D0GB103JA041 M 10K OHM J 1/16W 1 R2362 D0GB103JA041 M 10K OHM J 1/16W 1 R2363 D0GDR00Z0002 M 0 OHM, 1/10W 1 R2365 D0GDR00Z0002 M 0 OHM, 1/10W 1 R2367 ERJ3GEYJ560 M 56 OHM,J,1/16W 1 R2368 ERJ3GEYJ560 M 56 OHM,J,1/16W 1 R2369 ERJ6GEYJ100V M 10 OHM,J,1/10W 1 R2370 ERJ6GEYJ100V M 10 OHM,J,1/10W 1 R2383 ERJ3GEYJ472 M 4.7KOHM,J,1/16W 1 R2384 D0GB473JA057 M 47KOHM,J,1/16W 1 R2385 ERJ3GEYD153V M 15KOHM,J,1/16W 1 R2386 D0GB104JA041 M 100KOHM J 1/16W 1 R2387 D0GBR00Z0002 M 0 OHM J 1/16W 1 R2388 D0GBR00Z0002 M 0 OHM J 1/16W 1 R2389 D0GB103JA041 M 10K OHM J 1/16W 1 R2390 D0GB103JA041 M 10K OHM J 1/16W 1 R2391 D0GB103JA041 M 10K OHM J 1/16W 1 R2392 D0GB103JA041 M 10K OHM J 1/16W 1 R2393 ERJ3GEYJ220 M 22 OHM,J,1/16W 1 R2394 D0GB103JA041 M 10K OHM J 1/16W 1 R2395 D0GB103JA041 M 10K OHM J 1/16W 1 R2396 D0GB103JA041 M 10K OHM J 1/16W 1 R2397 ERJ3GEYD512V M 5.1KOHM,J,1/16W 1 R2398 D0GBR00Z0002 M 0 OHM J 1/16W 1 R2399 ERJ3GEYJ220 M 22 OHM,J,1/16W 1 R2400 ERJ3GEYJ220 M 22 OHM,J,1/16W 1 R2404 D0GB103JA041 M 10K OHM J 1/16W 1 R2405 D0GB103JA041 M 10K OHM J 1/16W 1 R2406 D0GB103JA041 M 10K OHM J 1/16W 1 R2407 D0GB103JA041 M 10K OHM J 1/16W 1 R2408 D0GDR00Z0002 M 0 OHM, 1/10W 1 R2409 D0GDR00Z0002 M 0 OHM, 1/10W 1 R2410 D0GDR00Z0002 M 0 OHM, 1/10W 1 R2411 D0GDR00Z0002 M 0 OHM, 1/10W 1 R2412 ERJ3GEYJ122 M 1.2KOHM,J,1/16W 1 R2413 D0GBR00Z0002 M 0 OHM J 1/16W 1 R2414 ERJ3GEYJ122 M 1.2KOHM,J,1/16W 1 R2415 ERJ3GEYJ122 M 1.2KOHM,J,1/16W 1 R2416 D0GBR00Z0002 M 0 OHM J 1/16W 1 R2417 ERJ3GEYJ122 M 1.2KOHM,J,1/16W 1 R2418 D0GB103JA041 M 10K OHM J 1/16W 1 R2419 D0GB103JA041 M 10K OHM J 1/16W 1 R2420 ERJ3GEYD153V M 15KOHM,J,1/16W 1 R2421 D0GB393JA041 M 39KOHM,J,1/16W 1 R2422 D0GB393JA041 M 39KOHM,J,1/16W 1 R2423 ERJ3GEYD153V M 15KOHM,J,1/16W 1 R2424 D0GBR00Z0002 M 0 OHM J 1/16W 1 R2425 D0GBR00Z0002 M 0 OHM J 1/16W 1 R2426 ERJ3GEYJ471 M 470 OHM,J,1/16W 1 R2448 D0GBR00Z0002 M 0 OHM J 1/16W 1 R2449 D0GBR00Z0002 M 0 OHM J 1/16W 1 R3004 D0GB101JA041 M 100 OHM,J,1/16W 1 R3025 D0GB101JA041 M 100 OHM,J,1/16W 1 安全 标记 参考号 部品号 部品名称 & 说明 件数 备注 116 R3028 D0GB103JA041 M 10K OHM J 1/16W 1 R3029 D0GB103JA041 M 10K OHM J 1/16W 1 R3030 D0GBR00Z0002 M 0 OHM J 1/16W 1 R3031 D0GBR00Z0002 M 0 OHM J 1/16W 1 R3032 D0GB101JA041 M 100 OHM,J,1/16W 1 R3033 D0GB101JA041 M 100 OHM,J,1/16W 1 R3034 ERJ3GEYJ331 M 330 OHM,J,1/16W 1 R3035 ERJ3GEYJ331 M 330 OHM,J,1/16W 1 R3036 ERJ3GEYJ331 M 330 OHM,J,1/16W 1 R3037 D0GBR00Z0002 M 0 OHM J 1/16W 1 R3038 D0GBR00Z0002 M 0 OHM J 1/16W 1 R3042 D0GBR00Z0002 M 0 OHM J 1/16W 1 R3043 D0GB101JA041 M 100 OHM,J,1/16W 1 R3044 D0GB103JA041 M 10K OHM J 1/16W 1 R3046 D0GB103JA041 M 10K OHM J 1/16W 1 R3048 ERJ3GEYJ334 M 330KOHM,J,1/16W 1 R3049 D0GB103JA041 M 10K OHM J 1/16W 1 R3050 ERJ3GEYJ560 M 56 OHM,J,1/16W 1 R3051 ERJ3GEYJ330 M 33 OHM,J,1/16W 1 R3053 ERJ3GEYJ560 M 56 OHM,J,1/16W 1 R3054 ERJ3GEYJ560 M 56 OHM,J,1/16W 1 R3055 D0GB103JA041 M 10K OHM J 1/16W 1 R3056 D0GB103JA041 M 10K OHM J 1/16W 1 R3057 ERJ3GEYJ560 M 56 OHM,J,1/16W 1 R3058 ERJ3GEYJ560 M 56 OHM,J,1/16W 1 R3059 D0GB101JA041 M 100 OHM,J,1/16W 1 R3062 D0GB101JA041 M 100 OHM,J,1/16W 1 R3064 ERJ3GEYJ560 M 56 OHM,J,1/16W 1 R3065 ERJ3GEYJ560 M 56 OHM,J,1/16W 1 R3066 ERJ3GEYJ560 M 56 OHM,J,1/16W 1 R3067 ERJ3GEYJ560 M 56 OHM,J,1/16W 1 R3068 ERJ3GEYJ560 M 56 OHM,J,1/16W 1 R3069 ERJ3GEYJ560 M 56 OHM,J,1/16W 1 R3070 ERJ6RED750 M 75 OHM, 1/10W 1 R3071 ERJ6RED750 M 75 OHM, 1/10W 1 R3072 ERJ6RED750 M 75 OHM, 1/10W 1 R3073 ERJ6RED750 M 75 OHM, 1/10W 1 R3074 ERJ6RED750 M 75 OHM, 1/10W 1 R3075 ERJ6RED750 M 75 OHM, 1/10W 1 R3076 ERJ3GEYJ560 M 56 OHM,J,1/16W 1 R3077 ERJ3GEYJ560 M 56 OHM,J,1/16W 1 R3078 ERJ3GEYJ560 M 56 OHM,J,1/16W 1 R3079 ERJ3GEYJ560 M 56 OHM,J,1/16W 1 R3080 ERJ3GEYJ560 M 56 OHM,J,1/16W 1 R3081 ERJ3GEYJ560 M 56 OHM,J,1/16W 1 R3082 D0GB101JA041 M 100 OHM,J,1/16W 1 R3083 D0GBR00Z0002 M 0 OHM J 1/16W 1 R3084 D0GBR00Z0002 M 0 OHM J 1/16W 1 R3085 D0GBR00Z0002 M 0 OHM J 1/16W 1 R3086 D0GBR00Z0002 M 0 OHM J 1/16W 1 R3087 D0GBR00Z0002 M 0 OHM J 1/16W 1 R3088 ERJ6RED750 M 75 OHM, 1/10W 1 R3089 ERJ6RED750 M 75 OHM, 1/10W 1 R3090 ERJ6RED750 M 75 OHM, 1/10W 1 R3091 ERJ6RED750 M 75 OHM, 1/10W 1 R3092 ERJ6RED750 M 75 OHM, 1/10W 1 R3093 ERJ6RED750 M 75 OHM, 1/10W 1 R3094 D0GBR00Z0002 M 0 OHM J 1/16W 1 R3095 ERJ3GEYJ562 M 5.6KOHM,J,1/16W 1 R3096 ERJ3GEYJ562 M 5.6KOHM,J,1/16W 1 R3102 D0GDR00Z0002 M 0 OHM, 1/10W 1 R3107 ERJ3GEYJ560 M 56 OHM,J,1/16W 1 R3108 ERJ3GEYJ560 M 56 OHM,J,1/16W 1 R3119 D0GBR00Z0002 M 0 OHM J 1/16W 1 R3121 D0GBR00Z0002 M 0 OHM J 1/16W 1 R3140 D0GB473JA057 M 47KOHM,J,1/16W 1 R3141 D0GB473JA057 M 47KOHM,J,1/16W 1 R3143 D0GB101JA041 M 100 OHM,J,1/16W 1 R3144 D0GB101JA041 M 100 OHM,J,1/16W 1 安全 标记 参考号 部品号 部品名称 & 说明 件数 备注 R3150 D0GB101JA041 M 100 OHM,J,1/16W 1 R3151 D0GB101JA041 M 100 OHM,J,1/16W 1 R3152 D0GBR00Z0002 M 0 OHM J 1/16W 1 R3153 D0GBR00Z0002 M 0 OHM J 1/16W 1 R3160 D0GBR00Z0002 M 0 OHM J 1/16W 1 R3161 D0GBR00Z0002 M 0 OHM J 1/16W 1 R3163 D0GB102JA041 M 1KOHM,J,1/16W 1 R3188 ERJ6RED750 M 75 OHM, 1/10W 1 R3189 ERJ6RED750 M 75 OHM, 1/10W 1 R3190 ERJ6RED750 M 75 OHM, 1/10W 1 R3195 D0GB101JA041 M 100 OHM,J,1/16W 1 R3196 D0GB101JA041 M 100 OHM,J,1/16W 1 R3197 D0GB123JA057 M 12K OHM J 1/16W 1 R3198 D0GB123JA057 M 12K OHM J 1/16W 1 R3199 D0GB103JA041 M 10K OHM J 1/16W 1 R3201 D0GBR00Z0002 M 0 OHM J 1/16W 1 R3202 D0GBR00Z0002 M 0 OHM J 1/16W 1 R3203 D0GBR00Z0002 M 0 OHM J 1/16W 1 R3204 D0GBR00Z0002 M 0 OHM J 1/16W 1 R3205 D0GBR00Z0002 M 0 OHM J 1/16W 1 R3206 D0GBR00Z0002 M 0 OHM J 1/16W 1 R3210 D0GB101JA041 M 100 OHM,J,1/16W 1 R3211 D0GB101JA041 M 100 OHM,J,1/16W 1 R3212 ERJ3GEYJ472 M 4.7KOHM,J,1/16W 1 R3213 ERJ3GEYJ472 M 4.7KOHM,J,1/16W 1 R3214 ERJ3GEYJ472 M 4.7KOHM,J,1/16W 1 R3215 ERJ3GEYJ472 M 4.7KOHM,J,1/16W 1 R3216 ERJ6GEYJ3R3V M 3.3KOHM,J,1/10W 1 R3217 ERJ6GEYJ3R3V M 3.3KOHM,J,1/10W 1 R3218 ERJ6GEYJ3R3V M 3.3KOHM,J,1/10W 1 R3219 ERJ6GEYJ3R3V M 3.3KOHM,J,1/10W 1 R3230 D0GB101JA041 M 100 OHM,J,1/16W 1 R3231 D0GB101JA041 M 100 OHM,J,1/16W 1 R3301 ERJ6RED750 M 75 OHM, 1/10W 1 R3302 ERJ6RED750 M 75 OHM, 1/10W 1 R3303 ERJ6RED750 M 75 OHM, 1/10W 1 R3304 ERJ6GEYJ223 M 22KOHM,J,1/10W 1 R3305 ERJ6GEYJ223 M 22KOHM,J,1/10W 1 R3306 ERJ6GEYJ223 M 22KOHM,J,1/10W 1 R3307 ERJ6GEYJ223 M 22KOHM,J,1/10W 1 R3308 D0GB102JA057 M 1KOHM,J,1/16W 1 R3309 ERJ3GEYJ221 M 220 OHM,J,1/16W 1 R3310 ERJ3GEYJ221 M 220 OHM,J,1/16W 1 R3312 ERJ3GEYJ221 M 220 OHM,J,1/16W 1 R3314 ERJ3GEYJ221 M 220 OHM,J,1/16W 1 R3315 ERJ3GEYJ221 M 220 OHM,J,1/16W 1 R3316 ERJ3GEYJ221 M 220 OHM,J,1/16W 1 R3317 ERJ3GEYJ221 M 220 OHM,J,1/16W 1 R3318 ERJ3GEYJ101 M 100 OHM,J,1/16W 1 R3319 ERJ3GEYJ101 M 100 OHM,J,1/16W 1 R3320 ERJ3GEYJ333 M 33KOHM,J,1/16W 1 R3321 D0GB473JA057 M 47KOHM,J,1/16W 1 R3322 ERJ3GEYJ333 M 33KOHM,J,1/16W 1 R3323 D0GB473JA057 M 47KOHM,J,1/16W 1 R3324 ERJ3GEYJ101 M 100 OHM,J,1/16W 1 R3325 ERJ3GEYJ101 M 100 OHM,J,1/16W 1 R3326 ERJ3EKF3300 M 330 OHM, 1/16W 1 R3327 ERJ3EKF3300 M 330 OHM, 1/16W 1 R3328 ERJ6GEYJ102V M 1K OHM J 1/10W 1 R3329 ERJ6GEYJ102V M 1K OHM J 1/10W 1 R3330 ERJ3GEYJ101 M 100 OHM,J,1/16W 1 R3331 ERJ3GEYJ101 M 100 OHM,J,1/16W 1 R3332 ERJ3EKF1270 M 127 OHM, 1/16W 1 R3333 ERJ3EKF1270 M 127 OHM, 1/16W 1 R3334 ERJ3EKF4300 M 430 OHM, 1/16W 1 R3335 ERJ3EKF4300 M 430 OHM, 1/16W 1 R3336 ERJ3GEYJ101 M 100 OHM,J,1/16W 1 R3337 ERJ3GEYJ101 M 100 OHM,J,1/16W 1 R3338 ERJ6GEYJ102V M 1K OHM J 1/10W 1 安全 标记 参考号 部品号 部品名称 & 说明 件数 备注 117 R3339 ERJ6GEYJ102V M 1K OHM J 1/10W 1 R3340 D0GB151JA057 M 150 OHM J 1/16W 1 R3341 D0GB151JA057 M 150 OHM J 1/16W 1 R3342 ERJ3GEYJ100 M 10 OHM,J,1/16W 1 R3343 ERJ3GEYJ100 M 10 OHM,J,1/16W 1 R3344 D0GB102JA057 M 1KOHM,J,1/16W 1 R3345 ERJ3GEYJ331 M 330 OHM,J,1/16W 1 R3346 ERJ3GEYJ331 M 330 OHM,J,1/16W 1 R3347 ERJ3GEYJ221 M 220 OHM,J,1/16W 1 R3348 ERJ3GEYJ221 M 220 OHM,J,1/16W 1 R3349 ERJ3GEYJ220 M 22 OHM,J,1/16W 1 R3350 ERJ3GEYJ104 M 100KOHM,J,1/16W 1 R3351 D0GB473JA057 M 47KOHM,J,1/16W 1 R3352 D0GB473JA057 M 47KOHM,J,1/16W 1 R3353 ERJ3GEYJ222 M 2.2KOHM,J,1/16W 1 R3354 D0GB112JA057 M 1.1KOHM J 1/16W 1 R3355 ERJ3GEYJ100 M 10 OHM,J,1/16W 1 R3356 ERJ3GEYJ100 M 10 OHM,J,1/16W 1 R3358 D0GB103JA057 M 10K OHM J 1/16W 1 R3359 ERJ3GEYJ272 M 2.7KOHM,J,1/16W 1 R3360 ERJ3GEYJ222 M 2.2KOHM,J,1/16W 1 R3361 D0GB112JA057 M 1.1KOHM J 1/16W 1 R3362 ERJ3GEYJ272 M 2.7KOHM,J,1/16W 1 R3363 ERJ3GEYJ100 M 10 OHM,J,1/16W 1 R3364 ERJ3GEYJ100 M 10 OHM,J,1/16W 1 R3365 ERJ3GEYJ100 M 10 OHM,J,1/16W 1 R3366 ERJ3GEYJ220 M 22 OHM,J,1/16W 1 R3367 EXB38V220JV 电阻阵列 1 R3368 EXB38V220JV 电阻阵列 1 R3369 EXB38V220JV 电阻阵列 1 R3370 D0GB103JA057 M 10K OHM J 1/16W 1 R3371 EXB38V220JV 电阻阵列 1 R3372 ERJ3GEYJ220 M 22 OHM,J,1/16W 1 R3373 ERJ3GEYJ220 M 22 OHM,J,1/16W 1 R3374 ERJ3GEYJ220 M 22 OHM,J,1/16W 1 R3375 D0GB103JA057 M 10K OHM J 1/16W 1 R3376 D0GB103JA057 M 10K OHM J 1/16W 1 R3377 D0GB103JA057 M 10K OHM J 1/16W 1 R3378 EXB38V220JV 电阻阵列 1 R3379 EXB38V220JV 电阻阵列 1 R3380 EXB38V220JV 电阻阵列 1 R3381 ERJ3GEYJ220 M 22 OHM,J,1/16W 1 R3382 ERJ3GEYJ220 M 22 OHM,J,1/16W 1 R3383 ERJ3GEYJ220 M 22 OHM,J,1/16W 1 R3384 EXB38V220JV 电阻阵列 1 R3385 EXB38V220JV 电阻阵列 1 R3386 EXB38V220JV 电阻阵列 1 R3389 ERJ3GEYJ220 M 22 OHM,J,1/16W 1 R3390 ERJ3GEYJ220 M 22 OHM,J,1/16W 1 R3392 D0GB103JA057 M 10K OHM J 1/16W 1 R3399 D0GB103JA057 M 10K OHM J 1/16W 1 R3400 D0GD103JA036 M 10KOHM,J,0.25W 1 R3403 ERJ3GEYJ220 M 22 OHM,J,1/16W 1 R3404 ERJ3GEYJ220 M 22 OHM,J,1/16W 1 R3405 ERJ3GEYJ472 M 4.7KOHM,J,1/16W 1 R3406 ERJ3GEYJ472 M 4.7KOHM,J,1/16W 1 R3408 D0GB103JA057 M 10K OHM J 1/16W 1 R3411 D0GB102JA057 M 1KOHM,J,1/16W 1 R3413 ERJ3GEYJ220 M 22 OHM,J,1/16W 1 R3414 ERJ3GEYJ220 M 22 OHM,J,1/16W 1 R3416 ERJ3GEY0R00 M 0 OHM, 1/16W 1 R3417 ERJ3GEYJ100 M 10 OHM,J,1/16W 1 R3508 D0GD472JA036 M 4.7KOHM,J,0.25W 1 R3509 D0GD472JA036 M 4.7KOHM,J,0.25W 1 R3510 D0GD101JA036 M 100 OHM,J,0.25W 1 R3511 D0GD101JA036 M 100 OHM,J,0.25W 1 R3529 D0GD184JA036 M 180KOHM,J,1/10W 1 R3530 D0GD184JA036 M 180KOHM,J,1/10W 1 R3547 D0GD101JA036 M 100 OHM,J,0.25W 1 安全 标记 参考号 部品号 部品名称 & 说明 件数 备注 R3548 D0GD101JA036 M 100 OHM,J,0.25W 1 R3585 D0GD560JA036 M 56 OHM,J,1/10W 1 R3586 D0GD560JA036 M 56 OHM,J,1/10W 1 R3589 D0GD473JA036 M 47KOHM,J,1/10W 1 R3590 D0GD560JA036 M 56 OHM,J,1/10W 1 R3591 D0GDR00Z0002 M 0 OHM, 1/10W 1 R3592 D0GDR00Z0002 M 0 OHM, 1/10W 1 R3593 D0GDR00Z0002 M 0 OHM, 1/10W 1 R3653 D0GD333JA036 M 33KOHM,J,1/10W 1 R3654 D0GD683JA036 M 68KOHM,J,1/10W 1 R3655 D0GD333JA036 M 33KOHM,J,1/10W 1 R3656 D0GD683JA036 M 68KOHM,J,1/10W 1 R3663 D0GD102JA036 M 1.0KOHM,J,0.25W 1 R3664 D0GD102JA036 M 1.0KOHM,J,0.25W 1 R3668 D0GD101JA036 M 100 OHM,J,0.25W 1 R3672 D0GD101JA036 M 100 OHM,J,0.25W 1 R3776 D0GD101JA036 M 100 OHM,J,0.25W 1 R3777 D0GD101JA036 M 100 OHM,J,0.25W 1 R3778 D0GD473JA036 M 47KOHM,J,1/10W 1 R3790 D0GD101JA036 M 100 OHM,J,0.25W 1 R3791 D0GD101JA036 M 100 OHM,J,0.25W 1 R4001 D0GDR00Z0002 M 0 OHM, 1/10W 1 R4002 ERJ6RED750 M 75 OHM, 1/10W 1 R4003 D0GDR00Z0002 M 0 OHM, 1/10W 1 R4004 ERJ6RED750 M 75 OHM, 1/10W 1 R4005 D0GDR00Z0002 M 0 OHM, 1/10W 1 R4006 ERJ6RED750 M 75 OHM, 1/10W 1 R4011 D0GB103JA041 M 10K OHM J 1/16W 1 R4012 ERJ3GEYJ470 M 47 OHM,J,1/16W 1 R4013 ERJ3GEYJ472 M 4.7KOHM,J,1/16W 1 R4015 ERJ3GEYJ470 M 47 OHM,J,1/16W 1 R4016 ERJ3GEYJ470 M 47 OHM,J,1/16W 1 R4017 ERJ3GEYJ560 M 56 OHM,J,1/16W 1 R4018 EXB28V680JX 电阻阵列 1 R4019 EXB2HV680J 电阻阵列 1 R4020 EXB2HV680J 电阻阵列 1 R4021 EXB2HV680J 电阻阵列 1 R4022 ERJ3GEYJ680 M 68 OHM,J,1/16W 1 R4023 ERJ3GEYJ680 M 68 OHM,J,1/16W 1 R4024 ERJ3GEYJ220 M 22 OHM,J,1/16W 1 R4025 ERJ3GEYJ220 M 22 OHM,J,1/16W 1 R4026 D0GB103JA041 M 10K OHM J 1/16W 1 R4027 D0GB103JA041 M 10K OHM J 1/16W 1 R4028 D0GB103JA041 M 10K OHM J 1/16W 1 R4029 D0GB152JA057 M 1.5KOHM J 1/16W 1 R4041 D0GDR00Z0002 M 0 OHM, 1/10W 1 R4043 D0GBR00Z0002 M 0 OHM J 1/16W 1 R4044 D0GBR00Z0002 M 0 OHM J 1/16W 1 R4045 D0GDR00Z0002 M 0 OHM, 1/10W 1 R4201 D0GB101JA041 M 100 OHM,J,1/16W 1 R4202 D0GB101JA041 M 100 OHM,J,1/16W 1 R4203 D0GB101JA041 M 100 OHM,J,1/16W 1 R4204 D0GB101JA041 M 100 OHM,J,1/16W 1 R4205 D0GB101JA041 M 100 OHM,J,1/16W 1 R4206 D0GB101JA041 M 100 OHM,J,1/16W 1 R4207 D0GB101JA041 M 100 OHM,J,1/16W 1 R4208 D0GB101JA041 M 100 OHM,J,1/16W 1 R4209 D0GB101JA041 M 100 OHM,J,1/16W 1 R4210 D0GB101JA041 M 100 OHM,J,1/16W 1 R4211 D0GB101JA041 M 100 OHM,J,1/16W 1 R4212 D0GB101JA041 M 100 OHM,J,1/16W 1 R4213 D0GB101JA041 M 100 OHM,J,1/16W 1 R4214 D0GB101JA041 M 100 OHM,J,1/16W 1 R4215 D0GB101JA041 M 100 OHM,J,1/16W 1 R4216 D0GB101JA041 M 100 OHM,J,1/16W 1 R4217 D0GB101JA041 M 100 OHM,J,1/16W 1 R4218 D0GB101JA041 M 100 OHM,J,1/16W 1 R4219 D0GB101JA041 M 100 OHM,J,1/16W 1 R4220 D0GB101JA041 M 100 OHM,J,1/16W 1 安全 标记 参考号 部品号 部品名称 & 说明 件数 备注 118 R4221 D0GB101JA041 M 100 OHM,J,1/16W 1 R4222 D0GB101JA041 M 100 OHM,J,1/16W 1 R4231 D0GBR00Z0002 M 0 OHM J 1/16W 1 R4232 D0GBR00Z0002 M 0 OHM J 1/16W 1 R4233 ERJ3GEYJ470 M 47 OHM,J,1/16W 1 R4234 ERJ3GEYJ470 M 47 OHM,J,1/16W 1 R4235 ERJ3GEYJ470 M 47 OHM,J,1/16W 1 R4241 EXB2HV101J 电阻阵列 1 R4242 D0GB101JA041 M 100 OHM,J,1/16W 1 R4243 D0GB101JA041 M 100 OHM,J,1/16W 1 R4244 EXB2HV101J 电阻阵列 1 R4245 D0GB101JA041 M 100 OHM,J,1/16W 1 R4246 D0GB101JA041 M 100 OHM,J,1/16W 1 R4247 EXB2HV101J 电阻阵列 1 R4248 D0GB101JA041 M 100 OHM,J,1/16W 1 R4249 D0GB101JA041 M 100 OHM,J,1/16W 1 R4250 D0GBR00Z0002 M 0 OHM J 1/16W 1 R4251 D0GBR00Z0002 M 0 OHM J 1/16W 1 R4252 ERJ3GEYJ470 M 47 OHM,J,1/16W 1 R4253 ERJ3GEYJ470 M 47 OHM,J,1/16W 1 R4254 ERJ3GEYJ470 M 47 OHM,J,1/16W 1 R4255 EXB2HV101J 电阻阵列 1 R4256 D0GB101JA041 M 100 OHM,J,1/16W 1 R4257 D0GB101JA041 M 100 OHM,J,1/16W 1 R4258 EXB2HV101J 电阻阵列 1 R4259 D0GB101JA041 M 100 OHM,J,1/16W 1 R4260 D0GB101JA041 M 100 OHM,J,1/16W 1 R4261 EXB2HV101J 电阻阵列 1 R4262 D0GB101JA041 M 100 OHM,J,1/16W 1 R4263 D0GB101JA041 M 100 OHM,J,1/16W 1 R4264 ERJ3GEYJ470 M 47 OHM,J,1/16W 1 R4265 ERJ3GEYJ470 M 47 OHM,J,1/16W 1 R4266 ERJ3GEYJ470 M 47 OHM,J,1/16W 1 R4267 ERJ3GEYJ470 M 47 OHM,J,1/16W 1 R4268 ERJ3GEYJ470 M 47 OHM,J,1/16W 1 R4270 D0GD101JA036 M 100 OHM,J,0.25W 1 R4271 ERJ3GEYJ470 M 47 OHM,J,1/16W 1 R4272 ERJ3GEYJ470 M 47 OHM,J,1/16W 1 R4273 D0GBR00Z0002 M 0 OHM J 1/16W 1 R4274 D0GBR00Z0002 M 0 OHM J 1/16W 1 R4275 D0GBR00Z0002 M 0 OHM J 1/16W 1 R4301 D0GB101JA041 M 100 OHM,J,1/16W 1 R4303 D0GBR00Z0002 M 0 OHM J 1/16W 1 R4305 D0GB101JA041 M 100 OHM,J,1/16W 1 R4307 D0GBR00Z0002 M 0 OHM J 1/16W 1 R4351 D0GDR00Z0002 M 0 OHM, 1/10W 1 R4352 ERJ3GEYJ223 M 22KOHM,J,1/16W 1 R4353 ERJ3GEYJ471 M 470 OHM,J,1/16W 1 R4354 D0GB473JA057 M 47KOHM,J,1/16W 1 R4355 ERJ6ENF3301 M 3.3KOHM, 1/10W 1 R4356 ERJ6ENF6341 M6.34KOHM, 1/10W 1 R4357 ERJ6ENF9100 M 910 OHM, 1/10W 1 R4358 D0GDR00Z0002 M 0 OHM, 1/10W 1 R4359 D1BD1002A044 M10.0KOHM, 1/10W 1 R4360 D0GDR00Z0002 M 0 OHM, 1/10W 1 R4361 D0GDR00Z0002 M 0 OHM, 1/10W 1 R4362 D0GBR00Z0002 M 0 OHM J 1/16W 1 R4363 ERJ6GEYJ222V M 2.2K OHM J 1/10W 1 R4365 ERJ3GEYJ472 M 4.7KOHM,J,1/16W 1 R4366 ERJ3GEYJ472 M 4.7KOHM,J,1/16W 1 R4381 D0GDR00Z0002 M 0 OHM, 1/10W 1 R4382 D0GDR00Z0002 M 0 OHM, 1/10W 1 R4401 D0GB103JA041 M 10K OHM J 1/16W 1 R4403 ERJ3GEYJ223 M 22KOHM,J,1/16W 1 R4404 ERJ3GEYJ223 M 22KOHM,J,1/16W 1 R4405 D0GB102JA041 M 1KOHM,J,1/16W 1 R4407 D0GB101JA041 M 100 OHM,J,1/16W 1 R4411 D0GB332JA041 M 3.3KOHM,J,1/16W 1 R4412 D0GB332JA041 M 3.3KOHM,J,1/16W 1 安全 标记 参考号 部品号 部品名称 & 说明 件数 备注 R4413 D0GB101JA041 M 100 OHM,J,1/16W 1 R4414 D0GB103JA041 M 10K OHM J 1/16W 1 R4415 D0GBR00Z0002 M 0 OHM J 1/16W 1 R4416 D0GB101JA041 M 100 OHM,J,1/16W 1 R4417 D0GBR00Z0002 M 0 OHM J 1/16W 1 R4418 D0GB103JA041 M 10K OHM J 1/16W 1 R4419 D0GB101JA041 M 100 OHM,J,1/16W 1 R4420 D0GB101JA041 M 100 OHM,J,1/16W 1 R4421 D0GB103JA041 M 10K OHM J 1/16W 1 R4422 D0GB103JA041 M 10K OHM J 1/16W 1 R4423 D0GB103JA041 M 10K OHM J 1/16W 1 R4424 ERJ3GEYJ562 M 5.6KOHM,J,1/16W 1 R4425 D0GB101JA041 M 100 OHM,J,1/16W 1 R4426 D0GB101JA041 M 100 OHM,J,1/16W 1 R4427 D0GB101JA041 M 100 OHM,J,1/16W 1 R4428 D0GB103JA041 M 10K OHM J 1/16W 1 R4429 D0GB103JA041 M 10K OHM J 1/16W 1 R4431 D0GB103JA041 M 10K OHM J 1/16W 1 R4432 ERJ3GEYJ223 M 22KOHM,J,1/16W 1 R4433 D0GB101JA041 M 100 OHM,J,1/16W 1 R4436 D0GB101JA041 M 100 OHM,J,1/16W 1 R4438 D0GB101JA041 M 100 OHM,J,1/16W 1 R4439 D0GB102JA041 M 1KOHM,J,1/16W 1 R4440 D0GB103JA041 M 10K OHM J 1/16W 1 R4441 D0GB103JA041 M 10K OHM J 1/16W 1 R4442 D0GB101JA041 M 100 OHM,J,1/16W 1 R4456 D0GB101JA041 M 100 OHM,J,1/16W 1 R4457 D0GB101JA041 M 100 OHM,J,1/16W 1 R4458 D0GB101JA041 M 100 OHM,J,1/16W 1 R4459 D0GB101JA041 M 100 OHM,J,1/16W 1 R4460 D0GB101JA041 M 100 OHM,J,1/16W 1 R4462 D0GB101JA041 M 100 OHM,J,1/16W 1 R4465 D0GB101JA041 M 100 OHM,J,1/16W 1 R4467 D0GBR00Z0002 M 0 OHM J 1/16W 1 R4468 D0GBR00Z0002 M 0 OHM J 1/16W 1 R4469 D0GBR00Z0002 M 0 OHM J 1/16W 1 R4470 D0GBR00Z0002 M 0 OHM J 1/16W 1 R4471 D0GBR00Z0002 M 0 OHM J 1/16W 1 R4472 D0GB101JA041 M 100 OHM,J,1/16W 1 R4473 D0GBR00Z0002 M 0 OHM J 1/16W 1 R4474 D0GBR00Z0002 M 0 OHM J 1/16W 1 R4475 D0GB101JA041 M 100 OHM,J,1/16W 1 R4476 D0GB101JA041 M 100 OHM,J,1/16W 1 R4477 D0GB101JA041 M 100 OHM,J,1/16W 1 R4482 D0GB103JA041 M 10K OHM J 1/16W 1 R4483 D0GB103JA041 M 10K OHM J 1/16W 1 R4484 D0GB101JA041 M 100 OHM,J,1/16W 1 R4485 D0GB103JA041 M 10K OHM J 1/16W 1 R4486 D0GB103JA041 M 10K OHM J 1/16W 1 R4487 D0GB102JA041 M 1KOHM,J,1/16W 1 R4488 D0GB101JA041 M 100 OHM,J,1/16W 1 R4491 D0GBR00Z0002 M 0 OHM J 1/16W 1 R4494 D0GBR00Z0002 M 0 OHM J 1/16W 1 R4496 D0GBR00Z0002 M 0 OHM J 1/16W 1 R4497 D0GBR00Z0002 M 0 OHM J 1/16W 1 R4498 D0GBR00Z0002 M 0 OHM J 1/16W 1 R4501 ERJ3GEYJ821 M820 OHM,J,1/16W 1 R4503 D0GB103JA041 M 10K OHM J 1/16W 1 R4504 D0GBR00Z0002 M 0 OHM J 1/16W 1 R4506 D0GB103JA041 M 10K OHM J 1/16W 1 R4508 D0GB103JA041 M 10K OHM J 1/16W 1 R4510 D0GB103JA041 M 10K OHM J 1/16W 1 R4512 D0GB103JA041 M 10K OHM J 1/16W 1 R4514 D0GB103JA041 M 10K OHM J 1/16W 1 R4517 D0GBR00Z0002 M 0 OHM J 1/16W 1 R4518 D0GB103JA041 M 10K OHM J 1/16W 1 R4520 EXB2HV103JV 电阻阵列 1 R4521 D0GBR00Z0002 M 0 OHM J 1/16W 1 R4522 D0GBR00Z0002 M 0 OHM J 1/16W 1 安全 标记 参考号 部品号 部品名称 & 说明 件数 备注 119 R4523 D0GBR00Z0002 M 0 OHM J 1/16W 1 R4525 D0GBR00Z0002 M 0 OHM J 1/16W 1 R4526 D0GBR00Z0002 M 0 OHM J 1/16W 1 R4527 D0GBR00Z0002 M 0 OHM J 1/16W 1 R4533 D0GBR00Z0002 M 0 OHM J 1/16W 1 R4541 EXB28V220J 电阻阵列 1 R4542 EXB28V220J 电阻阵列 1 R4543 ERJ3GEYJ220 M 22 OHM,J,1/16W 1 R4544 ERJ3GEYJ220 M 22 OHM,J,1/16W 1 R4545 EXB28V220J 电阻阵列 1 R4546 EXB28V220J 电阻阵列 1 R4547 ERJ3GEYJ220 M 22 OHM,J,1/16W 1 R4548 ERJ3GEYJ220 M 22 OHM,J,1/16W 1 R4549 EXB28V220J 电阻阵列 1 R4550 EXB28V220J 电阻阵列 1 R4551 ERJ3GEYJ220 M 22 OHM,J,1/16W 1 R4552 ERJ3GEYJ220 M 22 OHM,J,1/16W 1 R4553 EXB28V220J 电阻阵列 1 R4554 EXB28V220J 电阻阵列 1 R4555 ERJ3GEYJ220 M 22 OHM,J,1/16W 1 R4556 ERJ3GEYJ220 M 22 OHM,J,1/16W 1 R4557 EXB2HV220JV 电阻阵列 1 R4558 EXB28V220J 电阻阵列 1 R4559 EXB28V220J 电阻阵列 1 R4560 ERJ3GEYJ220 M 22 OHM,J,1/16W 1 R4561 ERJ3GEYJ220 M 22 OHM,J,1/16W 1 R4562 ERJ3GEYJ220 M 22 OHM,J,1/16W 1 R4563 ERJ3GEYJ220 M 22 OHM,J,1/16W 1 R4564 ERJ3GEYJ220 M 22 OHM,J,1/16W 1 R4565 EXB38V103JV 电阻阵列 1 R4570 D1BB1000A055 M 100 OHM, 1/10W 1 R4571 D1BB1000A055 M 100 OHM, 1/10W 1 R4572 D1BB6800A055 M 680 OHM, 1/10W 1 R4573 D1BB1000A055 M 100 OHM, 1/10W 1 R4574 D1BB3600A055 M 360 OHM, 1/10W 1 R4575 D1BB33R0A055 M 33 OHM, 1/10W 1 R4581 ERJ2GEJ101 M 100 OHM, J,0.063W 1 R4582 ERJ2GEJ101 M 100 OHM, J,0.063W 1 R4583 ERJ2GEJ101 M 100 OHM, J,0.063W 1 R4584 ERJ2GEJ101 M 100 OHM, J,0.063W 1 R4585 ERJ2GEJ101 M 100 OHM, J,0.063W 1 R4586 ERJ2GEJ101 M 100 OHM, J,0.063W 1 R4601 D1BB1001A055 M 1KOHM, 1/16W 1 R4602 D1BB1001A055 M 1KOHM, 1/16W 1 R4603 D0GBR00Z0002 M 0 OHM J 1/16W 1 R4662 D0GB103JA041 M 10K OHM J 1/16W 1 R4664 D0GB103JA041 M 10K OHM J 1/16W 1 R4666 D0GB103JA041 M 10K OHM J 1/16W 1 R4667 ERJ3GEYJ470 M 47 OHM,J,1/16W 1 R4668 ERJ3GEYJ470 M 47 OHM,J,1/16W 1 R4669 D0GB103JA041 M 10K OHM J 1/16W 1 R4670 D0GB102JA041 M 1KOHM,J,1/16W 1 R4701 D0GBR00Z0002 M 0 OHM J 1/16W 1 R4702 EXB38V101JV 电阻阵列 1 R4703 D0GB103JA041 M 10K OHM J 1/16W 1 R4705 D0GB393JA041 M 39KOHM,J,1/16W 1 R4706 D0GB103JA041 M 10K OHM J 1/16W 1 R4707 D0GB101JA041 M 100 OHM,J,1/16W 1 R4708 D0GB103JA041 M 10K OHM J 1/16W 1 R4709 D0GB101JA041 M 100 OHM,J,1/16W 1 R4710 D0GB102JA041 M 1KOHM,J,1/16W 1 R4711 D0GB123JA057 M 12K OHM J 1/16W 1 R4712 D0GB101JA041 M 100 OHM,J,1/16W 1 R4713 D0GB101JA041 M 100 OHM,J,1/16W 1 R4721 D0GB101JA041 M 100 OHM,J,1/16W 1 R4722 D0GB101JA041 M 100 OHM,J,1/16W 1 R4724 D0GB101JA041 M 100 OHM,J,1/16W 1 R4726 D0GB104JA041 M 100KOHM J 1/16W 1 R4728 D0GB103JA041 M 10K OHM J 1/16W 1 安全 标记 参考号 部品号 部品名称 & 说明 件数 备注 R4730 D0GB103JA041 M 10K OHM J 1/16W 1 R4732 D0GB101JA041 M 100 OHM,J,1/16W 1 R4734 D0GB101JA041 M 100 OHM,J,1/16W 1 R4735 D0GB103JA041 M 10K OHM J 1/16W 1 R4737 D0GB103JA041 M 10K OHM J 1/16W 1 R4738 D0GB101JA041 M 100 OHM,J,1/16W 1 R4739 D0GB103JA041 M 10K OHM J 1/16W 1 R4742 D0GB101JA041 M 100 OHM,J,1/16W 1 R4743 ERJ3GEYJ272 M 2.7KOHM,J,1/16W 1 R4745 D0GB103JA041 M 10K OHM J 1/16W 1 R4746 D0GB101JA041 M 100 OHM,J,1/16W 1 R4749 D0GB101JA041 M 100 OHM,J,1/16W 1 R4752 D0GB103JA041 M 10K OHM J 1/16W 1 R4753 D0GB103JA041 M 10K OHM J 1/16W 1 R4754 ERJ3GEYJ222 M 2.2KOHM,J,1/16W 1 R4755 ERJ3GEYJ332 M 3.3KOHM,J,1/16W 1 R4756 D0GB101JA041 M 100 OHM,J,1/16W 1 R4759 D0GB473JA057 M 47KOHM,J,1/16W 1 R4760 D0GB102JA041 M 1KOHM,J,1/16W 1 R4761 D0GB103JA041 M 10K OHM J 1/16W 1 R4762 D0GB101JA041 M 100 OHM,J,1/16W 1 R4763 D0GB103JA041 M 10K OHM J 1/16W 1 R4764 D0GB101JA041 M 100 OHM,J,1/16W 1 R4765 D0GB103JA041 M 10K OHM J 1/16W 1 R4766 D0GB101JA041 M 100 OHM,J,1/16W 1 R4767 D0GB103JA041 M 10K OHM J 1/16W 1 R4768 D0GB101JA041 M 100 OHM,J,1/16W 1 R4769 D0GB103JA041 M 10K OHM J 1/16W 1 R4772 D0GB101JA041 M 100 OHM,J,1/16W 1 R4773 D0GB101JA041 M 100 OHM,J,1/16W 1 R4774 D0GB103JA041 M 10K OHM J 1/16W 1 R4775 D0GB102JA041 M 1KOHM,J,1/16W 1 R4776 D0GB104JA041 M 100KOHM J 1/16W 1 R4777 D0GB102JA041 M 1KOHM,J,1/16W 1 R4778 D0GB104JA041 M 100KOHM J 1/16W 1 R4779 D0GB103JA041 M 10K OHM J 1/16W 1 R4780 D0GB103JA041 M 10K OHM J 1/16W 1 R4781 D0GB103JA041 M 10K OHM J 1/16W 1 R4783 D0GB101JA041 M 100 OHM,J,1/16W 1 R4784 D0GB103JA041 M 10K OHM J 1/16W 1 R4785 D0GB103JA041 M 10K OHM J 1/16W 1 R4786 D0GB101JA041 M 100 OHM,J,1/16W 1 R4791 D0GB103JA041 M 10K OHM J 1/16W 1 R4793 D0GB103JA041 M 10K OHM J 1/16W 1 R4796 D0GBR00Z0002 M 0 OHM J 1/16W 1 R4797 EXB38V103JV 电阻阵列 1 R4798 D0GB103JA041 M 10K OHM J 1/16W 1 R4801 ERJ3GEYJ470 M 47 OHM,J,1/16W 1 R4802 ERJ3GEYJ470 M 47 OHM,J,1/16W 1 R4803 ERJ3GEYJ220 M 22 OHM,J,1/16W 1 R4804 ERJ3GEYJ220 M 22 OHM,J,1/16W 1 R4805 ERJ3GEYJ220 M 22 OHM,J,1/16W 1 R4806 ERJ3GEYJ220 M 22 OHM,J,1/16W 1 R4807 ERJ3GEYJ220 M 22 OHM,J,1/16W 1 R4808 ERJ3GEYJ220 M 22 OHM,J,1/16W 1 R4809 ERJ3GEYJ272 M 2.7KOHM,J,1/16W 1 R4810 ERJ3GEYJ272 M 2.7KOHM,J,1/16W 1 R4811 ERJ3GEYJ272 M 2.7KOHM,J,1/16W 1 R4812 ERJ3GEYJ272 M 2.7KOHM,J,1/16W 1 R4813 ERJ3GEYJ562 M 5.6KOHM,J,1/16W 1 R4814 ERJ3GEYJ562 M 5.6KOHM,J,1/16W 1 R4815 ERJ3GEYJ272 M 2.7KOHM,J,1/16W 1 R4816 ERJ3GEYJ272 M 2.7KOHM,J,1/16W 1 R4818 ERJ3GEYJ220 M 22 OHM,J,1/16W 1 R4819 ERJ3GEYJ220 M 22 OHM,J,1/16W 1 R4821 EXB38V103JV 电阻阵列 1 R4822 D0GBR00Z0002 M 0 OHM J 1/16W 1 R4823 ERJ3GEYJ220 M 22 OHM,J,1/16W 1 R4824 ERJ3GEYJ220 M 22 OHM,J,1/16W 1 安全 标记 参考号 部品号 部品名称 & 说明 件数 备注 120 R4825 EXB38V220JV 电阻阵列 1 R4826 EXB38V220JV 电阻阵列 1 R4827 EXB38VR000V 电阻阵列 1 R4828 D0GB103JA041 M 10K OHM J 1/16W 1 R4829 D0GB103JA041 M 10K OHM J 1/16W 1 R4830 D0GBR00Z0002 M 0 OHM J 1/16W 1 R4831 D0GB103JA041 M 10K OHM J 1/16W 1 R4832 D0GBR00Z0002 M 0 OHM J 1/16W 1 R4834 EXB38VR000V 电阻阵列 1 R4835 EXB38VR000V 电阻阵列 1 R4836 D0GB222JA041 M 2.2KOHM,J,1/16W 1 R4837 D0GB101JA041 M 100 OHM,J,1/16W 1 R4838 D0GB101JA041 M 100 OHM,J,1/16W 1 R4839 D0GB101JA041 M 100 OHM,J,1/16W 1 R4840 D0GB101JA041 M 100 OHM,J,1/16W 1 R4841 D0GB101JA041 M 100 OHM,J,1/16W 1 R4842 D0GB101JA041 M 100 OHM,J,1/16W 1 R4843 D0GB101JA041 M 100 OHM,J,1/16W 1 R4844 D0GB101JA041 M 100 OHM,J,1/16W 1 R4845 D0GB101JA041 M 100 OHM,J,1/16W 1 R4846 D0GB101JA041 M 100 OHM,J,1/16W 1 R4848 D0GBR00Z0002 M 0 OHM J 1/16W 1 R4849 EXB38VR000V 电阻阵列 1 R4851 EXB2HV100JV 电阻阵列 1 R4852 EXB2HV100JV 电阻阵列 1 R4853 EXB38V100J 电阻阵列 1 R4854 D0GBR00Z0002 M 0 OHM J 1/16W 1 R4855 D0GBR00Z0002 M 0 OHM J 1/16W 1 R4856 D0GBR00Z0002 M 0 OHM J 1/16W 1 R4857 EXB2HV100JV 电阻阵列 1 R4858 EXB2HV100JV 电阻阵列 1 R4859 D0GB103JA041 M 10K OHM J 1/16W 1 R4861 ERJ3GEYJ392 M 3.9KOHM,J,1/16W 1 R4862 ERJ3GEYJ682 M 6.8KOHM,J,1/16W 1 R4863 D0GB103JA041 M 10K OHM J 1/16W 1 R4864 D0GB473JA057 M 47KOHM,J,1/16W 1 R4865 D0GB103JA041 M 10K OHM J 1/16W 1 R4866 D0GB103JA041 M 10K OHM J 1/16W 1 R4867 D0GB473JA057 M 47KOHM,J,1/16W 1 R4868 D0GB103JA041 M 10K OHM J 1/16W 1 R4869 D0GB102JA041 M 1KOHM,J,1/16W 1 R4870 D0GB473JA057 M 47KOHM,J,1/16W 1 R4871 D0GB103JA041 M 10K OHM J 1/16W 1 R4872 D0GB102JA041 M 1KOHM,J,1/16W 1 R4873 D0GB473JA057 M 47KOHM,J,1/16W 1 R4874 D0GB103JA041 M 10K OHM J 1/16W 1 R4875 ERJ3GEYJ562 M 5.6KOHM,J,1/16W 1 R4876 ERJ3GEYJ562 M 5.6KOHM,J,1/16W 1 R4877 ERJ3GEYJ331 M 330 OHM,J,1/16W 1 R4878 D0GB102JA041 M 1KOHM,J,1/16W 1 R4879 D0GB123JA057 M 12K OHM J 1/16W 1 R4880 D0GB102JA041 M 1KOHM,J,1/16W 1 R4881 D0GB103JA041 M 10K OHM J 1/16W 1 R4882 D0GB103JA041 M 10K OHM J 1/16W 1 R4883 D0GB103JA041 M 10K OHM J 1/16W 1 R4886 D0GBR00Z0002 M 0 OHM J 1/16W 1 R4887 D0GB103JA041 M 10K OHM J 1/16W 1 R4890 ERJ3GEYJ562 M 5.6KOHM,J,1/16W 1 R4892 D0GBR00Z0002 M 0 OHM J 1/16W 1 R4896 ERJ3GEYJ682 M 6.8KOHM,J,1/16W 1 R4898 D0GB103JA041 M 10K OHM J 1/16W 1 R4899 D0GB103JA041 M 10K OHM J 1/16W 1 R4901 D0GDR00Z0002 M 0 OHM, 1/10W 1 R4902 D1BB4702A055 M 47KOHM, 1/10W 1 R4903 D1BB1272A055 M12.7KOHM, 1/10W 1 R4904 D1BB1102A055 M 11KOHM, 1/10W 1 R4905 D1BB5602A055 M 56KOHM, 1/10W 1 R4906 D1BB1102A055 M 11KOHM, 1/10W 1 R4907 D1BB5602A055 M 56KOHM, 1/10W 1 安全 标记 参考号 部品号 部品名称 & 说明 件数 备注 R4908 D1BB2052A055 M20.5KOHM, 1/10W 1 R4909 D1BB1302A055 M 13KOHM, 1/10W 1 R4912 D0GB103JA041 M 10K OHM J 1/16W 1 R4913 D0GB104JA041 M 100KOHM J 1/16W 1 R4915 D0GBR00Z0002 M 0 OHM J 1/16W 1 R4916 D0GDR00Z0002 M 0 OHM, 1/10W 1 R4917 D0GDR00Z0002 M 0 OHM, 1/10W 1 R4918 D0GDR00Z0002 M 0 OHM, 1/10W 1 R4923 D0GDR00Z0002 M 0 OHM, 1/10W 1 R4924 ERJ3GEYJ472 M 4.7KOHM,J,1/16W 1 R4925 ERJ3GEYJ472 M 4.7KOHM,J,1/16W 1 R4926 D0GB103JA041 M 10K OHM J 1/16W 1 R4927 ERJ3GEYJ223 M 22KOHM,J,1/16W 1 R4928 D0GBR00Z0002 M 0 OHM J 1/16W 1 R4931 D0GDR00Z0002 M 0 OHM, 1/10W 1 R4934 D0GDR00Z0002 M 0 OHM, 1/10W 1 R4935 D0GB103JA041 M 10K OHM J 1/16W 1 R4936 D0GB103JA041 M 10K OHM J 1/16W 1 R4937 ERJ3GEYJ223 M 22KOHM,J,1/16W 1 R4938 D0GB103JA041 M 10K OHM J 1/16W 1 R4940 D0GBR00Z0002 M 0 OHM J 1/16W 1 R4942 D0GDR00Z0002 M 0 OHM, 1/10W 1 R4943 D0GBR00Z0002 M 0 OHM J 1/16W 1 R4944 D0GDR00Z0002 M 0 OHM, 1/10W 1 R4945 D0GDR00Z0002 M 0 OHM, 1/10W 1 R4948 D0GDR00Z0002 M 0 OHM, 1/10W 1 R4949 D0GB103JA041 M 10K OHM J 1/16W 1 R4950 ERJ3GEYJ272 M 2.7KOHM,J,1/16W 1 R4951 D0GB103JA041 M 10K OHM J 1/16W 1 R4952 ERJ3GEYJ223 M 22KOHM,J,1/16W 1 R4970 D0GBR00Z0002 M 0 OHM J 1/16W 1 R8001 D0GBR00Z0002 M 0 OHM J 1/16W 1 R8002 D0GBR00Z0002 M 0 OHM J 1/16W 1 R8003 D0GBR00Z0002 M 0 OHM J 1/16W 1 R8004 D0GBR00Z0002 M 0 OHM J 1/16W 1 R8007 D0GDR00Z0002 M 0 OHM, 1/10W 1 R8009 D0GBR00Z0002 M 0 OHM J 1/16W 1 R8010 D0GBR00Z0002 M 0 OHM J 1/16W 1 R8011 D0GBR00Z0002 M 0 OHM J 1/16W 1 R8012 D0GBR00Z0002 M 0 OHM J 1/16W 1 R8017 D0GBR00Z0002 M 0 OHM J 1/16W 1 R8021 ERJ3GEYJ222 M 2.2KOHM,J,1/16W 1 R8025 D0GBR00Z0002 M 0 OHM J 1/16W 1 R8026 ERJ3GEYJ331 M 330 OHM,J,1/16W 1 R8029 ERJ6ENF3001 M 3KOHM, 1/10W 1 R8031 ERJ6ENF2201 M 2.2KOHM, 1/10W 1 R8035 ERJ6ENF3300 M 330 OHM, 1/10W 1 R8036 ERJ6ENF1500 M 150 OHM, 1/10W 1 R8037 ERJ6ENF4701 M 4.7KOHM, 1/10W 1 R8039 ERJ6ENF4701 M 4.7KOHM, 1/10W 1 R8041 D0GBR00Z0002 M 0 OHM J 1/16W 1 R8045 ERJ3GEYJ222 M 2.2KOHM,J,1/16W 1 R8047 ERJ3GEYJ271 M 270 OHM,J,1/16W 1 R8048 ERJ3GEYJ222 M 2.2KOHM,J,1/16W 1 R8050 ERJ3GEYJ222 M 2.2KOHM,J,1/16W 1 R8051 D0GB103JA041 M 10K OHM J 1/16W 1 R8054 D0GBR00Z0002 M 0 OHM J 1/16W 1 R8055 D0GB101JA041 M 100 OHM,J,1/16W 1 R8056 D0GB101JA041 M 100 OHM,J,1/16W 1 R8057 D0GB102JA041 M 1KOHM,J,1/16W 1 R8060 D0GBR00Z0002 M 0 OHM J 1/16W 1 R8065 ERJ3GEYJ911 M 910 OHM,J,1/16W 1 R8067 D0GB151JA057 M 150 OHM J 1/16W 1 R8069 ERJ6GEYJ222V M 2.2K OHM J 1/10W 1 R8072 D0GBR00Z0002 M 0 OHM J 1/16W 1 R8088 D0GBR00Z0002 M 0 OHM J 1/16W 1 R8089 D0GB181JA057 M 180 OHM,J,1/16W 1 R8093 D0GB101JA041 M 100 OHM,J,1/16W 1 R8094 D0GDR00Z0002 M 0 OHM, 1/10W 1 安全 标记 参考号 部品号 部品名称 & 说明 件数 备注 121 R8096 D0GDR00Z0002 M 0 OHM, 1/10W 1 R8099 D0GB102JA041 M 1KOHM,J,1/16W 1 R8102 ERJ3GEYJ273 M 27KOHM,J,1/16W 1 R8103 D0GB183JA057 M 18K OHM J 1/16W 1 R8104 ERJ3GEYJ222 M 2.2KOHM,J,1/16W 1 R8105 ERJ3GEYJ222 M 2.2KOHM,J,1/16W 1 R8106 D0GB103JA041 M 10K OHM J 1/16W 1 R8107 D0GB103JA041 M 10K OHM J 1/16W 1 R8108 ERJ3GEYJ472 M 4.7KOHM,J,1/16W 1 R8109 ERJ3GEYJ222 M 2.2KOHM,J,1/16W 1 R8110 D0GB103JA041 M 10K OHM J 1/16W 1 R8111 ERJ3GEYJ122 M 1.2KOHM,J,1/16W 1 R8112 D0GBR00Z0002 M 0 OHM J 1/16W 1 R8114 ERJ3GEYJ222 M 2.2KOHM,J,1/16W 1 R8115 D0GB103JA041 M 10K OHM J 1/16W 1 R8117 D0GBR00Z0002 M 0 OHM J 1/16W 1 R8118 D0GBR00Z0002 M 0 OHM J 1/16W 1 R8119 D0GBR00Z0002 M 0 OHM J 1/16W 1 R8120 D0GBR00Z0002 M 0 OHM J 1/16W 1 R8121 ERJ3GEYJ272 M 2.7KOHM,J,1/16W 1 R8122 ERJ3GEYJ272 M 2.7KOHM,J,1/16W 1 R8124 D0GB101JA041 M 100 OHM,J,1/16W 1 R8125 D0GB101JA041 M 100 OHM,J,1/16W 1 R8126 D0GB101JA041 M 100 OHM,J,1/16W 1 R8127 D0GB101JA041 M 100 OHM,J,1/16W 1 R8129 D0GDR00Z0002 M 0 OHM, 1/10W 1 R8180 ERJ8GEYJ820V M 82 OHM, J,1/8W 1 R8181 D0GB101JA041 M 100 OHM,J,1/16W 1 R8182 D0GB101JA041 M 100 OHM,J,1/16W 1 R8183 D0GBR00Z0002 M 0 OHM J 1/16W 1 R8184 D0GBR00Z0002 M 0 OHM J 1/16W 1 R8187 ERJ3GEYJ560 M 56 OHM,J,1/16W 1 R8188 ERJ3GEYJ560 M 56 OHM,J,1/16W 1 R8189 D0GBR00Z0002 M 0 OHM J 1/16W 1 R8190 D0GBR00Z0002 M 0 OHM J 1/16W 1 R8200 ERJ3GEYJ563 M 56KOHM,J,1/16W 1 R8201 D0GB473JA057 M 47KOHM,J,1/16W 1 R8202 ERJ3GEYJ223 M 22KOHM,J,1/16W 1 R8203 D0GB103JA041 M 10K OHM J 1/16W 1 R8204 D0GB104JA041 M 100KOHM J 1/16W 1 R8205 D0GB753JA057 M 75KOHM,J,1/16W 1 R8206 D0GB393JA041 M 39KOHM,J,1/16W 1 R9062 ERJ2GEJ101 M 100 OHM, J,0.063W 1 R9063 ERJ2GEJ101 M 100 OHM, J,0.063W 1 R9064 ERJ2GEJ101 M 100 OHM, J,0.063W 1 R9065 ERJ2GEJ101 M 100 OHM, J,0.063W 1 R9066 ERJ2GEJ101 M 100 OHM, J,0.063W 1 R9067 ERJ2GEJ101 M 100 OHM, J,0.063W 1 R9068 ERJ2GEJ103 M 10KOHM, J,0.063W 1 R9070 ERJ2GEJ103 M 10KOHM, J,0.063W 1 R9071 ERJ2GEJ223 M 22KOHM, J,0.063W 1 R9072 ERJ2GEJ102X M 1K OHM J 1/4W 1 R9073 ERJ2GEJ472 M 4.7KOHM, J,0.063W 1 R9105 ERJ2GEJ103 M 10KOHM, J,0.063W 1 R9107 ERJ2GEJ332 M 3.3KOHM, J,0.063W 1 R9110 ERJ2GEJ101 M 100 OHM, J,0.063W 1 R9115 ERJ2GEJ101 M 100 OHM, J,0.063W 1 R9116 ERJ2GEJ101 M 100 OHM, J,0.063W 1 R9119 EXB38V470J 电阻阵列 1 R9120 ERJ2GEJ101 M 100 OHM, J,0.063W 1 R9121 ERJ2GEJ104 M 100KOHM, J,0.063W 1 R9122 EXB38V103JV 电阻阵列 1 R9123 ERJ2GEJ102X M 1K OHM J 1/4W 1 R9124 ERJ2GEJ470 M 47 OHM, J,0.063W 1 R9125 ERJ2GEJ102X M 1K OHM J 1/4W 1 R9126 ERJ2GEJ102X M 1K OHM J 1/4W 1 R9129 ERJ2GEJ683 M 68KOHM, J,0.063W 1 R9130 ERJ2GEJ470 M 47 OHM, J,0.063W 1 R9131 ERJ2GEJ472 M 4.7KOHM, J,0.063W 1 安全 标记 参考号 部品号 部品名称 & 说明 件数 备注 R9132 ERJ2GEJ472 M 4.7KOHM, J,0.063W 1 R9133 ERJ2GEJ102X M 1K OHM J 1/4W 1 R9141 ERJ2GEJ101 M 100 OHM, J,0.063W 1 R9142 ERJ2GEJ101 M 100 OHM, J,0.063W 1 R9145 ERJ2GEJ101 M 100 OHM, J,0.063W 1 R9149 ERJ2GEJ472 M 4.7KOHM, J,0.063W 1 R9150 ERJ2GEJ220 M 22 OHM, J,0.063W 1 R9151 ERJ2GEJ220 M 22 OHM, J,0.063W 1 R9154 ERJ2GEJ472 M 4.7KOHM, J,0.063W 1 R9155 ERJ2GEJ472 M 4.7KOHM, J,0.063W 1 R9158 ERJ2GEJ103 M 10KOHM, J,0.063W 1 R9159 ERJ2GEJ103 M 10KOHM, J,0.063W 1 R9162 ERJ2GEJ103 M 10KOHM, J,0.063W 1 R9163 ERJ2GEJ103 M 10KOHM, J,0.063W 1 R9164 ERJ2GEJ103 M 10KOHM, J,0.063W 1 R9166 ERJ2GEJ103 M 10KOHM, J,0.063W 1 R9170 D0GA393JA015 M 39KOHM,J,0.063W 1 R9171 D0GA393JA015 M 39KOHM,J,0.063W 1 R9172 D0GA393JA015 M 39KOHM,J,0.063W 1 R9185 ERJ2GEJ220 M 22 OHM, J,0.063W 1 R9186 ERJ2GEJ220 M 22 OHM, J,0.063W 1 R9187 ERJ2GEJ472 M 4.7KOHM, J,0.063W 1 R9188 ERJ2GEJ472 M 4.7KOHM, J,0.063W 1 R9189 ERJ2GEJ103 M 10KOHM, J,0.063W 1 R9194 D0YAR0000007 M 0 OHM 1/4W 1 R9198 ERJ2GEJ103 M 10KOHM, J,0.063W 1 R9199 ERJ2GEJ103 M 10KOHM, J,0.063W 1 R9200 ERJ2GEJ100 M 10 OHM, J,0.063W 1 R9201 ERJ2GEJ100 M 10 OHM, J,0.063W 1 R9203 ERJ2GEJ223 M 22KOHM, J,0.063W 1 R9204 ERJ2GEJ103 M 10KOHM, J,0.063W 1 R9205 ERJ2GEJ333 M 33KOHM, J,0.063W 1 R9206 ERJ2GED563X M 56KOHM ,J,0.063W 1 R9207 ERJ2GEJ243 M 24KOHM, J,0.063W 1 R9215 ERJ2GEJ104 M 100KOHM, J,0.063W 1 R9223 ERJ2RHD272 M 27KOHM, J, 2W 1 R9225 ERJ2RHD272 M 27KOHM, J, 2W 1 R9317 ERJ2GEJ102X M 1K OHM J 1/4W 1 R9347 EXB2HV220JV 电阻阵列 1 R9348 EXB2HV220JV 电阻阵列 1 R9350 ERJ2GEJ220 M 22 OHM, J,0.063W 1 R9351 ERJ2GEJ220 M 22 OHM, J,0.063W 1 R9352 EXB2HV220JV 电阻阵列 1 R9353 EXB2HV220JV 电阻阵列 1 R9354 EXB2HV220JV 电阻阵列 1 R9355 EXB2HV220JV 电阻阵列 1 R9356 EXB2HV220JV 电阻阵列 1 R9357 EXB2HV220JV 电阻阵列 1 R9358 EXB2HV330JV 电阻阵列 1 R9359 EXB2HV330JV 电阻阵列 1 R9360 ERJ2GEJ332 M 3.3KOHM, J,0.063W 1 R9361 ERJ2GEJ220 M 22 OHM, J,0.063W 1 R9362 ERJ2GEJ220 M 22 OHM, J,0.063W 1 R9363 ERJ2GEJ103 M 10KOHM, J,0.063W 1 R9369 ERJ2GEJ472 M 4.7KOHM, J,0.063W 1 R9370 ERJ2GEJ103 M 10KOHM, J,0.063W 1 R9371 ERJ2GEJ104 M 100KOHM, J,0.063W 1 R9385 ERJ2GEJ472 M 4.7KOHM, J,0.063W 1 R9391 ERJ2GEJ104 M 100KOHM, J,0.063W 1 R9396 ERJ2GEJ220 M 22 OHM, J,0.063W 1 R9397 ERJ2GEJ220 M 22 OHM, J,0.063W 1 R9398 ERJ2GEJ220 M 22 OHM, J,0.063W 1 R9399 ERJ2GEJ220 M 22 OHM, J,0.063W 1 R9401 ERJ2GEJ102X M 1K OHM J 1/4W 1 R9402 ERJ2GEJ470 M 47 OHM, J,0.063W 1 R9403 EXB2HV103JV 电阻阵列 1 R9404 EXB2HV103JV 电阻阵列 1 R9405 EXB2HV103JV 电阻阵列 1 R9406 EXB2HV103JV 电阻阵列 1 安全 标记 参考号 部品号 部品名称 & 说明 件数 备注 122 R9578 ERJ2GEJ472 M 4.7KOHM, J,0.063W 1 R9586 ERJ2GEJ470 M 47 OHM, J,0.063W 1 R9587 ERJ2GEJ470 M 47 OHM, J,0.063W 1 R9588 ERJ2GEJ472 M 4.7KOHM, J,0.063W 1 R9598 ERJ2GEJ470 M 47 OHM, J,0.063W 1 R9600 ERJ2GEJ680 M 68 OHM, J,0.063W 1 R9601 ERJ2GEJ680 M 68 OHM, J,0.063W 1 R9604 ERJ2GEJ103 M 10KOHM, J,0.063W 1 R9608 EXB2HV470JV 电阻阵列 1 R9609 EXB2HV470JV 电阻阵列 1 R9610 EXB2HV470JV 电阻阵列 1 R9611 ERJ2GEJ680 M 68 OHM, J,0.063W 1 R9616 ERJ2GEJ470 M 47 OHM, J,0.063W 1 R9618 ERJ2GEJ331 M 330 OHM, J,0.063W 1 R9824 ERJ2GEJ101 M 100 OHM, J,0.063W 1 R9825 ERJ2GEJ101 M 100 OHM, J,0.063W 1 R9826 ERJ2GEJ101 M 100 OHM, J,0.063W 1 R9827 ERJ2GEJ101 M 100 OHM, J,0.063W 1 R9839 EXB38V101JV 电阻阵列 1 R9840 ERJ2GEJ220 M 22 OHM, J,0.063W 1 R9846 EXB2HV103JV 电阻阵列 1 R9847 EXB2HV103JV 电阻阵列 1 R9848 EXB2HV470JV 电阻阵列 1 R9849 EXB2HV470JV 电阻阵列 1 R9851 D0YAR0000007 M 0 OHM 1/4W 1 R9854 ERJ2GEJ101 M 100 OHM, J,0.063W 1 R9859 EXB38V101JV 电阻阵列 1 R9868 ERJ2GEJ104 M 100KOHM, J,0.063W 1 R9869 ERJ2GEJ103 M 10KOHM, J,0.063W 1 R9870 ERJ2GEJ103 M 10KOHM, J,0.063W 1 R9871 ERJ2GEJ103 M 10KOHM, J,0.063W 1 R9878 D1BB1502A055 M 15KOHM, 1/10W 1 R9879 D1BB1302A055 M 13KOHM, 1/10W 1 R9886 D1BB4702A055 M 47KOHM, 1/10W 1 R9887 D1BB5102A055 M 51KOHM, 1/10W 1 R9888 D1BB1502A055 M 15KOHM, 1/10W 1 R9889 D1BB1822A055 M18.2KOHM, 1/10W 1 R9890 D1BB4752A055 M47.5KOHM, 1/10W 1 R9891 D1BB1272A055 M12.7KOHM, 1/10W 1 R9892 ERJ2GEJ104 M 100KOHM, J,0.063W 1 R9893 D1BB4302A055 M 43KOHM, 1/10W 1 R9894 D1BB2002A055 M 20KOHM, 1/10W 1 R9895 ERJ2GEJ104 M 100KOHM, J,0.063W 1 R9896 D1BB1822A055 M18.2KOHM, 1/10W 1 R9897 D1BB4752A055 M47.5KOHM, 1/10W 1 R9903 EXB2HV470JV 电阻阵列 1 R9905 ERJ2RKD330 M 33 OHM, J, 2W 1 R9906 EXB38V470J 电阻阵列 1 R9907 ERJ2GEJ151 M 150 OHM, J,0.063W 1 R9936 D1BB1001A055 M 1KOHM, 1/16W 1 R9937 D1BB1001A055 M 1KOHM, 1/16W 1 R9938 D1BB1001A055 M 1KOHM, 1/16W 1 R9939 D1BB1001A055 M 1KOHM, 1/16W 1 R9940 ERJ2RKD330 M 33 OHM, J, 2W 1 R9943 EXB2HV470JV 电阻阵列 1 R9944 EXB38V470J 电阻阵列 1 R9945 EXB38V470J 电阻阵列 1 R9946 EXB38V470J 电阻阵列 1 R9947 EXB38V470J 电阻阵列 1 R9948 EXB38V470J 电阻阵列 1 R9949 EXB38V470J 电阻阵列 1 R9950 EXB38V470J 电阻阵列 1 R9951 EXB38V470J 电阻阵列 1 R9952 ERJ2GEJ470 M 47 OHM, J,0.063W 1 R9953 ERJ2GEJ470 M 47 OHM, J,0.063W 1 R9954 ERJ2GEJ470 M 47 OHM, J,0.063W 1 R9955 ERJ2GEJ470 M 47 OHM, J,0.063W 1 R9964 ERJ2GEJ103 M 10KOHM, J,0.063W 1 R9966 ERJ2GEJ471 M 470 OHM, J,0.063W 1 安全 标记 参考号 部品号 部品名称 & 说明 件数 备注 R9967 ERJ2GEJ470 M 47 OHM, J,0.063W 1 R9968 ERJ2GEJ470 M 47 OHM, J,0.063W 1 R9969 ERJ2GEJ470 M 47 OHM, J,0.063W 1 R9970 ERJ2GEJ470 M 47 OHM, J,0.063W 1 R9972 ERJ2GEJ103 M 10KOHM, J,0.063W 1 R9973 ERJ2GEJ103 M 10KOHM, J,0.063W 1 R9974 ERJ2GEJ103 M 10KOHM, J,0.063W 1 R9975 ERJ2GEJ470 M 47 OHM, J,0.063W 1 R9976 ERJ2GEJ102X M 1K OHM J 1/4W 1 R9977 ERJ2GEJ470 M 47 OHM, J,0.063W 1 R9983 ERJ2GEJ470 M 47 OHM, J,0.063W 1 R9986 ERJ2GEJ102X M 1K OHM J 1/4W 1 R9987 ERJ2GEJ470 M 47 OHM, J,0.063W 1 R9988 ERJ2GEJ470 M 47 OHM, J,0.063W 1 R9989 ERJ2GEJ470 M 47 OHM, J,0.063W 1 R9991 D0YAR0000007 M 0 OHM 1/4W 1 R14349 D0GD103JA036 M 10KOHM,J,0.25W 1 R14901 D0GD101JA036 M 100 OHM,J,0.25W 1 R14902 ERJ6GEYJ221V M 220 OHM,J,1/10W 1 R14903 ERJ6GEYJ221V M 220 OHM,J,1/10W 1 R14904 ERJ6GEYJ221V M 220 OHM,J,1/10W 1 R14905 ERJ6GEYJ221V M 220 OHM,J,1/10W 1 R14906 ERJ6GEYJ221V M 220 OHM,J,1/10W 1 R14907 ERJ3GEYJ220 M 22 OHM,J,1/16W 1 R14908 ERJ3GEYJ220 M 22 OHM,J,1/16W 1 R14909 ERJ3GEYJ220 M 22 OHM,J,1/16W 1 R14910 ERJ3GEYJ220 M 22 OHM,J,1/16W 1 R14911 D0GD103JA036 M 10KOHM,J,0.25W 1 R14912 D0GD103JA036 M 10KOHM,J,0.25W 1 R14913 D0GD103JA036 M 10KOHM,J,0.25W 1 R14914 D0GD103JA036 M 10KOHM,J,0.25W 1 R14915 ERJ3GEYJ220 M 22 OHM,J,1/16W 1 R14916 D0GD103JA036 M 10KOHM,J,0.25W 1 R14917 ERJ3GEYJ220 M 22 OHM,J,1/16W 1 R14919 ERJ3GEYJ220 M 22 OHM,J,1/16W 1 R14920 ERJ3GEYJ220 M 22 OHM,J,1/16W 1 R14921 ERJ8GEYJ224V M 220KOHM, J,1/8W 1 R14923 D0GD103JA036 M 10KOHM,J,0.25W 1 R14924 D0GD103JA036 M 10KOHM,J,0.25W 1 R14925 D0GD103JA036 M 10KOHM,J,0.25W 1 R14926 D0GD103JA036 M 10KOHM,J,0.25W 1 R14927 ERJ3GEYJ220 M 22 OHM,J,1/16W 1 R14943 ERJ6GEYJ470V M 47 OHM,J,1/10W 1 R14944 ERJ6GEYJ100V M 10 OHM,J,1/10W 1 R14945 D0GDR00Z0002 M 0 OHM, 1/10W 1 R14946 D0GDR00Z0002 M 0 OHM, 1/10W 1 R14947 D0GDR00Z0002 M 0 OHM, 1/10W 1 R14948 D0GDR00Z0002 M 0 OHM, 1/10W 1 R14949 ERJ6GEYJ203 M 20KOHM,J,1/10W 1 R14950 D0GD103JA036 M 10KOHM,J,0.25W 1 R14951 ERJ6GEYJ221V M 220 OHM,J,1/10W 1 R14952 ERJ6GEYJ221V M 220 OHM,J,1/10W 1 R14953 ERJ6GEYJ221V M 220 OHM,J,1/10W 1 R14954 ERJ6GEYJ221V M 220 OHM,J,1/10W 1 R14955 ERJ6GEYJ221V M 220 OHM,J,1/10W 1 R14956 ERJ3GEYJ220 M 22 OHM,J,1/16W 1 R14957 ERJ3GEYJ220 M 22 OHM,J,1/16W 1 R14958 ERJ3GEYJ220 M 22 OHM,J,1/16W 1 R14959 ERJ3GEYJ220 M 22 OHM,J,1/16W 1 R14960 ERJ3GEYJ220 M 22 OHM,J,1/16W 1 R14961 ERJ6GEYJ331V M 330 OHM J 1/10W 1 R14962 ERJ6GEYJ331V M 330 OHM J 1/10W 1 R14963 ERJ6GEYJ331V M 330 OHM J 1/10W 1 R14964 ERJ3GEYJ220 M 22 OHM,J,1/16W 1 R14965 ERJ6GEYJ331V M 330 OHM J 1/10W 1 R14966 ERJ3GEYJ220 M 22 OHM,J,1/16W 1 R14967 ERJ3GEYJ220 M 22 OHM,J,1/16W 1 R14968 D0GD103JA036 M 10KOHM,J,0.25W 1 R14969 ERJ6GEYJ332V M 3.3K OHM J 1/10W 1 安全 标记 参考号 部品号 部品名称 & 说明 件数 备注 123 R14970 ERJ6GEYJ472V M 4.7K OHM J 1/10W 1 R14971 ERJT06J103V M 10KOHM,F,0.25W 1 R14972 ERJT06J103V M 10KOHM,F,0.25W 1 R14973 ERJ3GEYJ470 M 47 OHM,J,1/16W 1 R14974 ERJ3GEYJ470 M 47 OHM,J,1/16W 1 R14975 ERJ3GEYJ470 M 47 OHM,J,1/16W 1 R14976 ERJ3GEYJ470 M 47 OHM,J,1/16W 1 R14977 ERJ6GEYJ222V M 2.2K OHM J 1/10W 1 R14978 ERJ6GEYJ222V M 2.2K OHM J 1/10W 1 R14979 ERJ6GEYJ222V M 2.2K OHM J 1/10W 1 R14980 ERJ6GEYJ221V M 220 OHM,J,1/10W 1 R14981 D0GD103JA036 M 10KOHM,J,0.25W 1 R14982 D0GD103JA036 M 10KOHM,J,0.25W 1 R14984 D0GD103JA036 M 10KOHM,J,0.25W 1 R14986 ERJ8GEYJ224V M 220KOHM, J,1/8W 1 R14987 ERJ3GEYJ470 M 47 OHM,J,1/16W 1 R14988 ERJ6GEYJ222V M 2.2K OHM J 1/10W 1 R14989 ERJ6ENF1502 M 15KOHM, 1/10W 1 R14990 D0GD103JA036 M 10KOHM,J,0.25W 1 R14991 ERJ3GEYJ220 M 22 OHM,J,1/16W 1 R14992 ERJ3GEYJ470 M 47 OHM,J,1/16W 1 R14993 ERJ3GEYJ470 M 47 OHM,J,1/16W 1 R14994 ERJ3GEYJ470 M 47 OHM,J,1/16W 1 R14995 D0GD103JA036 M 10KOHM,J,0.25W 1 R14996 D0GD103JA036 M 10KOHM,J,0.25W 1 R14997 D0GD103JA036 M 10KOHM,J,0.25W 1 R14998 D0GD103JA036 M 10KOHM,J,0.25W 1 R16001 ERJT08J7R5V M 7.5OHM,J, 0.33W 1 R16002 ERJT08J7R5V M 7.5OHM,J, 0.33W 1 R16021 ERJT08J7R5V M 7.5OHM,J, 0.33W 1 R16022 ERJT08J7R5V M 7.5OHM,J, 0.33W 1 R16031 ERJ6ENF8202 M 82KOHM, 1/10W 1 R16032 ERJ6ENF8202 M 82KOHM, 1/10W 1 R16033 ERJ6ENF5602 M 56KOHM, 1/10W 1 R16034 ERJ6ENF2702 M 27KOHM, 1/10W 1 R16041 ERJT08J5R6V M 5.6 OHM,F,0.33W 1 R16051 ERJT08J5R6V M 5.6 OHM,F,0.33W 1 R16102 ERJT06J221V M 220 OHM,F,0.25W 1 R16104 ERJT06J221V M 220 OHM,F,0.25W 1 R16109 ERJT06J100V M 10 OHM,F,0.25W 1 R16110 ERJ6GEYF473 M 47KOHM,J,1/10W 1 R16116 ERJ6GEYF473 M 47KOHM,J,1/10W 1 R16131 D0GD101JA036 M 100 OHM,J,0.25W 1 R16132 D0GD101JA036 M 100 OHM,J,0.25W 1 R16134 ERJT06J750V M 75 OHM,F,0.25W 1 R16137 ERJT08J1R0V M 1.8OHM,J, 0.33W 1 R16138 ERJT08J1R0V M 1.8OHM,J, 0.33W 1 R16141 ERJT06J100V M 10 OHM,F,0.25W 1 R16142 ERJ6GEYF473 M 47KOHM,J,1/10W 1 R16143 ERJ6GEYF473 M 47KOHM,J,1/10W 1 R16151 D0GD101JA036 M 100 OHM,J,0.25W 1 R16152 D0GD101JA036 M 100 OHM,J,0.25W 1 R16154 ERJT06J750V M 75 OHM,F,0.25W 1 R16155 ERJT08J1R0V M 1.8OHM,J, 0.33W 1 R16159 ERJT08J1R0V M 1.8OHM,J, 0.33W 1 R16161 ERJT06J100V M 10 OHM,F,0.25W 1 R16162 ERJ6GEYF473 M 47KOHM,J,1/10W 1 R16163 ERJ6GEYF473 M 47KOHM,J,1/10W 1 R16171 ERJT06J100V M 10 OHM,F,0.25W 1 R16172 ERJ6GEYF473 M 47KOHM,J,1/10W 1 R16173 ERJ6GEYF473 M 47KOHM,J,1/10W 1 R16181 ERJT06J100V M 10 OHM,F,0.25W 1 R16182 ERJ6GEYF473 M 47KOHM,J,1/10W 1 R16183 ERJ6GEYF473 M 47KOHM,J,1/10W 1 R16191 D0GD101JA036 M 100 OHM,J,0.25W 1 R16192 D0GD101JA036 M 100 OHM,J,0.25W 1 R16193 ERJT06J750V M 75 OHM,F,0.25W 1 R16194 ERJT08J1R0V M 1.8OHM,J, 0.33W 1 R16195 ERJT08J1R0V M 1.8OHM,J, 0.33W 1 安全 标记 参考号 部品号 部品名称 & 说明 件数 备注 R16220 ERJ6GEYJ470V M 47 OHM,J,1/10W 1 R16221 ERJ6GEYJ472V M 4.7K OHM J 1/10W 1 R16230 ERJ6GEYJ470V M 47 OHM,J,1/10W 1 R16231 ERJ6GEYJ472V M 4.7K OHM J 1/10W 1 R16241 EXB38V470J 电阻阵列 1 R16242 EXB38V472JV 电阻阵列 1 R16251 ERJ6ENF1201 M 1.2KOHM, 1/10W 1 R16252 ERJ6ENF3902 M 39KOHM, 1/10W 1 R16253 ERJ6ENF3902 M 39KOHM, 1/10W 1 R16254 ERJ6ENF8201 M 8.2KOHM, 1/10W 1 R16255 ERJ6ENF1001 M 1KOHM, 1/10W 1 R16256 ERJ6ENF1801 M 1.8KOHM, 1/10W 1 R16257 D0GD103JA036 M 10KOHM,J,0.25W 1 R16258 ERJ6GEYJ222V M 2.2K OHM J 1/10W 1 R16260 ERJ6GEYJ222V M 2.2K OHM J 1/10W 1 R16261 ERJ6GEYJ104V M 100KOHM,J,1/10W 1 R16280 ERJ6GEYJ222V M 2.2K OHM J 1/10W 1 R16281 D0GD103JA036 M 10KOHM,J,0.25W 1 R16282 ERJ6GEYJ221V M 220 OHM,J,1/10W 1 R16283 ERJ6GEYF473 M 47KOHM,J,1/10W 1 R16284 ERJ6GEYJ224 M 220KOHM,J,1/10W 1 R16285 ERJ6GEYJ623V M 62KOHM,J,1/10W 1 R16286 ERJT08J334V M 330KOHM,F,0.33W 1 R16287 ERJ6GEYJ623V M 62KOHM,J,1/10W 1 R16288 ERJT08J334V M 330KOHM,F,0.33W 1 R16289 ERJ6GEYJ623V M 62KOHM,J,1/10W 1 R16290 ERJT08J334V M 330KOHM,F,0.33W 1 R16291 ERJ6GEYJ623V M 62KOHM,J,1/10W 1 R16292 ERJT08J334V M 330KOHM,F,0.33W 1 R16300 ERJT08J102V M 1KOHM,J, 0.33W 1 R16301 ERJ6GEYJ472V M 4.7K OHM J 1/10W 1 R16302 ERJ8GEYJ105V M 1MOHM, J,1/8W 1 R16303 D0GD101JA036 M 100 OHM,J,0.25W 1 R16304 ERJT08J681V M 680 OHM,F,0.33W 1 R16305 ERJ6GEYJ271V M 270 OHM J 1/10W 1 R16306 D0GD101JA036 M 100 OHM,J,0.25W 1 R16307 D0GD101JA036 M 100 OHM,J,0.25W 1 R16308 D0GD101JA036 M 100 OHM,J,0.25W 1 R16309 ERJ6GEYJ472V M 4.7K OHM J 1/10W 1 R16310 ERJ6GEYJ562V M 5.6KOHM,J,1/10W 1 R16311 ERJ6GEYJ124V M 120KOHM,J,1/10W 1 R16312 ERJ6GEYJ124V M 120KOHM,J,1/10W 1 R16313 ERJ6ENF4752 M47.5KOHM, 1/10W 1 R16314 ERJ6ENF5602 M 56KOHM, 1/10W 1 R16315 ERJ6ENF1241 M1.24KOHM, 1/10W 1 R16317 D0GDR00Z0002 M 0 OHM, 1/10W 1 R16321 ERJ6GEYF473 M 47KOHM,J,1/10W 1 R16322 ERJ6GEYF561 M 560 OHM,F,1/10W 1 R16323 ERJ6GEYJ223 M 22KOHM,J,1/10W 1 R16324 D0GD103JA036 M 10KOHM,J,0.25W 1 R16325 D0GDR00Z0002 M 0 OHM, 1/10W 1 R16331 ERJT06J101V M 100 OHM,F,0.25W 1 R16333 ERJ6ENF3303 M 330KOHM, 1/10W 1 R16334 ERJT06J101V M 100 OHM,F,0.25W 1 R16336 ERJT08J1R0V M 1.8OHM,J, 0.33W 1 R16338 ERJT06J101V M 100 OHM,F,0.25W 1 R16339 ERJ6ENF3303 M 330KOHM, 1/10W 1 R16340 ERJT06J152V M 1.5KOHM,F,0.25W 1 R16401 ERJT08J7R5V M 7.5OHM,J, 0.33W 1 R16402 ERJT08J7R5V M 7.5OHM,J, 0.33W 1 R16403 ERJT08J7R5V M 7.5OHM,J, 0.33W 1 R16421 ERJT08J7R5V M 7.5OHM,J, 0.33W 1 R16422 ERJT08J7R5V M 7.5OHM,J, 0.33W 1 R16441 ERJT08J5R6V M 5.6 OHM,F,0.33W 1 R16451 ERJT08J5R6V M 5.6 OHM,F,0.33W 1 R16465 ERJ6ENF2702 M 27KOHM, 1/10W 1 R16466 ERJ6ENF5602 M 56KOHM, 1/10W 1 R16467 ERJ6ENF8202 M 82KOHM, 1/10W 1 R16468 ERJ6ENF8202 M 82KOHM, 1/10W 1 安全 标记 参考号 部品号 部品名称 & 说明 件数 备注 124 R16471 ERJ6GEYG392 M 3.9KOHM,J,1/10W 1 R16472 ERJ6GEYJ222V M 2.2K OHM J 1/10W 1 R16473 ERJ6GEYF561 M 560 OHM,F,1/10W 1 R16474 ERJ6GEYJ102V M 1K OHM J 1/10W 1 R16475 ERJ6GEYJ472V M 4.7K OHM J 1/10W 1 R16476 ERJ6GEYJ472V M 4.7K OHM J 1/10W 1 R16477 D0GBR00Z0002 M 0 OHM J 1/16W 1 R16478 ERJ6GEYJ562V M 5.6KOHM,J,1/10W 1 R16479 D0GD103JA036 M 10KOHM,J,0.25W 1 R16480 ERJ6GEYJ472V M 4.7K OHM J 1/10W 1 R16501 D0GD101JA036 M 100 OHM,J,0.25W 1 R16502 D0GD101JA036 M 100 OHM,J,0.25W 1 R16503 ERJT06J100V M 10 OHM,F,0.25W 1 R16504 ERJT06J750V M 75 OHM,F,0.25W 1 R16506 ERJT06J100V M 10 OHM,F,0.25W 1 R16507 ERJT08J1R0V M 1.8OHM,J, 0.33W 1 R16508 ERJT08J1R0V M 1.8OHM,J, 0.33W 1 R16509 ERJT08J1R0V M 1.8OHM,J, 0.33W 1 R16510 ERJT08J1R0V M 1.8OHM,J, 0.33W 1 R16511 ERJ6GEYF473 M 47KOHM,J,1/10W 1 R16512 ERJ6GEYF473 M 47KOHM,J,1/10W 1 R16516 ERJ6GEYF473 M 47KOHM,J,1/10W 1 R16517 ERJ6GEYF473 M 47KOHM,J,1/10W 1 R16521 D0GD101JA036 M 100 OHM,J,0.25W 1 R16522 D0GD101JA036 M 100 OHM,J,0.25W 1 R16523 ERJT06J750V M 75 OHM,F,0.25W 1 R16531 ERJT06J100V M 10 OHM,F,0.25W 1 R16532 ERJ6GEYF473 M 47KOHM,J,1/10W 1 R16533 ERJ6GEYF473 M 47KOHM,J,1/10W 1 R16551 ERJT06J100V M 10 OHM,F,0.25W 1 R16552 ERJ6GEYF473 M 47KOHM,J,1/10W 1 R16553 ERJ6GEYF473 M 47KOHM,J,1/10W 1 R16561 EXB38V470J 电阻阵列 1 R16562 EXB38V470J 电阻阵列 1 R16563 EXB38V470J 电阻阵列 1 R16564 EXB38V470J 电阻阵列 1 R16565 EXB38V472JV 电阻阵列 1 R16566 EXB38V472JV 电阻阵列 1 R16567 EXB38V472JV 电阻阵列 1 R16568 EXB38V472JV 电阻阵列 1 R16580 ERJ6GEYJ222V M 2.2K OHM J 1/10W 1 R16582 ERJ6ENF3902 M 39KOHM, 1/10W 1 R16583 ERJ6ENF3902 M 39KOHM, 1/10W 1 R16584 ERJ6ENF8201 M 8.2KOHM, 1/10W 1 R16585 ERJ6ENF1001 M 1KOHM, 1/10W 1 R16586 ERJ6ENF1801 M 1.8KOHM, 1/10W 1 R16587 ERJ6GEYJ222V M 2.2K OHM J 1/10W 1 R16588 D0GD103JA036 M 10KOHM,J,0.25W 1 R16590 ERJ6GEYJ221V M 220 OHM,J,1/10W 1 R16591 EXB38V472JV 电阻阵列 1 R16592 ERJ6GEYJ472V M 4.7K OHM J 1/10W 1 R16593 ERJ6ENF1201 M 1.2KOHM, 1/10W 1 R16600 D0GD103JA036 M 10KOHM,J,0.25W 1 R16601 ERJ6GEYJ472V M 4.7K OHM J 1/10W 1 R16602 ERJ6GEYJ102V M 1K OHM J 1/10W 1 R16603 ERJ6GEYJ331V M 330 OHM J 1/10W 1 R16604 ERJ6GEYJ331V M 330 OHM J 1/10W 1 R16605 ERJ6GEYG182 M 1.8KOHM,J,1/10W 1 R16606 D0GD103JA036 M 10KOHM,J,0.25W 1 R16607 ERJ6ENF6651 M6.65KOHM, 1/10W 1 R16608 ERJT08J102V M 1KOHM,J, 0.33W 1 R16609 ERJT08J102V M 1KOHM,J, 0.33W 1 R16610 ERJ6GEYJ104V M 100KOHM,J,1/10W 1 R16611 ERG2FJS473D M 47KOHM, J, 2W 1 R16612 ERJT06J470V M 47 OHM,F,0.25W 1 R16613 ERG1FJS104D M 100KOHM, J, 1W 1 R16615 ERJ6ENF1131 M1.13KOHM, 1/10W 1 R16616 D0GDR00Z0002 M 0 OHM, 1/10W 1 R16617 ERJ6GEYJ222V M 2.2K OHM J 1/10W 1 安全 标记 参考号 部品号 部品名称 & 说明 件数 备注 R16621 ERJ6GEYJ221V M 220 OHM,J,1/10W 1 R16622 ERJ6GEYJ221V M 220 OHM,J,1/10W 1 R16623 ERJ6GEYJ221V M 220 OHM,J,1/10W 1 R16632 D0GD103JA036 M 10KOHM,J,0.25W 1 R16633 ERJ6GEYJ223 M 22KOHM,J,1/10W 1 R16634 ERJ6GEYJ471 M 470 OHM,J,1/10W 1 R16635 D0GD103JA036 M 10KOHM,J,0.25W 1 R16636 ERJ6GEYJ472V M 4.7K OHM J 1/10W 1 R16638 ERJT08J1R0V M 1.8OHM,J, 0.33W 1 R16639 ERJT08J1R0V M 1.8OHM,J, 0.33W 1 R16641 ERJT06J330V M 33 OHM,F,0.25W 1 R16642 ERJT06J330V M 33 OHM,F,0.25W 1 R16643 ERJT06J330V M 33 OHM,F,0.25W 1 R16644 ERJT06J330V M 33 OHM,F,0.25W 1 R16645 ERJT06J330V M 33 OHM,F,0.25W 1 R16657 ERJ6GEYG682 M 6.8KOHM,J,1/10W 1 R16658 D0D1101JA009 M 100 OHM,J,1W 1 R16659 ERJ6GEYJ224 M 220KOHM,J,1/10W 1 R16660 ERJ6GEYJ224 M 220KOHM,J,1/10W 1 R16661 ERJ6GEYG182 M 1.8KOHM,J,1/10W 1 R16662 ERJ6ENF3001 M 3KOHM, 1/10W 1 R16663 D0GD103JA036 M 10KOHM,J,0.25W 1 R16664 ERJT08J102V M 1KOHM,J, 0.33W 1 R16665 ERJT06J330V M 33 OHM,F,0.25W 1 R16666 ERJ6GEYJ104V M 100KOHM,J,1/10W 1 R16667 ERJ6GEYJ471 M 470 OHM,J,1/10W 1 R16668 ERJ6GEYF473 M 47KOHM,J,1/10W 1 R16669 ERJ6GEYJ472V M 4.7K OHM J 1/10W 1 R16670 ERJT06J470V M 47 OHM,F,0.25W 1 R16671 ERJ6GEYF473 M 47KOHM,J,1/10W 1 R16672 ERJ6GEYJ102V M 1K OHM J 1/10W 1 R16675 ERJT08J102V M 1KOHM,J, 0.33W 1 R16680 ERJT06J100V M 10 OHM,F,0.25W 1 R16681 ERJT06J100V M 10 OHM,F,0.25W 1 R16682 ERJT06J100V M 10 OHM,F,0.25W 1 R16696 ERF5TK2R2 W 2.2 OHM, K, 5W 1 R16700 ERJ6GEYJ472V M 4.7K OHM J 1/10W 1 R16701 D0GD103JA036 M 10KOHM,J,0.25W 1 R16702 ERJ6GEYJ332V M 3.3K OHM J 1/10W 1 R16703 D0GD103JA036 M 10KOHM,J,0.25W 1 R16704 D0GD103JA036 M 10KOHM,J,0.25W 1 R16705 D0GD101JA036 M 100 OHM,J,0.25W 1 R16706 D0GD101JA036 M 100 OHM,J,0.25W 1 R16707 ERJ6GEYJ471 M 470 OHM,J,1/10W 1 R16717 ERJ6GEYJ222V M 2.2K OHM J 1/10W 1 R16720 ERJ3GEYJ220 M 22 OHM,J,1/16W 1 R16721 ERJ3GEYJ220 M 22 OHM,J,1/16W 1 R16722 ERJ3GEYJ220 M 22 OHM,J,1/16W 1 R16723 ERJ3GEYJ220 M 22 OHM,J,1/16W 1 R16729 ERJ6GEYF473 M 47KOHM,J,1/10W 1 R16730 ERJ6GEYF473 M 47KOHM,J,1/10W 1 R16731 ERG1FJS823D M 82KOHM, J, 1W 1 R16732 ERJ6GEYG392 M 3.9KOHM,J,1/10W 1 R16733 ERJ6GEYJ474 M 470KOHM,J,1/10W 1 R16734 ERJ6ENF4991 M4.99KOHM, 1/10W 1 R16735 ERJ6ENF2213 M 221KOHM, 1/10W 1 R16736 ERJ6ENF2213 M 221KOHM, 1/10W 1 R16737 ERJ6ENF2003 M 200KOHM, 1/10W 1 R16738 ERG1FJS823D M 82KOHM, J, 1W 1 R16740 ERJ6GEYJ104V M 100KOHM,J,1/10W 1 R16744 ERJ6ENF2003 M 200KOHM, 1/10W 1 R16749 D0GD103JA036 M 10KOHM,J,0.25W 1 R16750 ERJT06J223V M 22 KOHM,F,0.25W 1 R16751 ERJT06J224V M 220KOHM,F,0.25W 1 R16752 ERJ6GEYJ472V M 4.7K OHM J 1/10W 1 R16753 ERJ6GEYF473 M 47KOHM,J,1/10W 1 R16756 ERJT06J223V M 22 KOHM,F,0.25W 1 R16757 D0GDR00Z0002 M 0 OHM, 1/10W 1 R16761 ERJT06J100V M 10 OHM,F,0.25W 1 安全 标记 参考号 部品号 部品名称 & 说明 件数 备注 125 R16762 ERJ6GEYF473 M 47KOHM,J,1/10W 1 R16765 ERJT08J1R0V M 1.8OHM,J, 0.33W 1 R16766 ERJT06J750V M 75 OHM,F,0.25W 1 R16768 ERJT08J1R0V M 1.8OHM,J, 0.33W 1 R16769 ERJT06J750V M 75 OHM,F,0.25W 1 R16771 ERJ6GEYG182 M 1.8KOHM,J,1/10W 1 R16774 ERG1SJ683 M 68KOHM, J, 1W 1 R16775 ERJ6GEYJ472V M 4.7K OHM J 1/10W 1 R16776 D0GD101JA036 M 100 OHM,J,0.25W 1 R16777 ERJT06J151V M 150 OHM,F,0.25W 1 R16778 ERJ6GEYG182 M 1.8KOHM,J,1/10W 1 R16781 ERJT06J470V M 47 OHM,F,0.25W 1 R16782 ERJ6GEYF473 M 47KOHM,J,1/10W 1 R16785 ERJ6ENF8202 M 82KOHM, 1/10W 1 R16786 ERJ6ENF8202 M 82KOHM, 1/10W 1 R16787 ERJ6ENF3302 M 33KOHM, 1/10W 1 R16788 ERJT06J154V M 150KOHM,F,0.25W 1 R16789 D0GD103JA036 M 10KOHM,J,0.25W 1 R16794 ERJ6ENF2003 M 200KOHM, 1/10W 1 R16795 ERJ6ENF2003 M 200KOHM, 1/10W 1 R16796 ERJ6ENF5602 M 56KOHM, 1/10W 1 R16822 ERJ6ENF8202 M 82KOHM, 1/10W 1 R16823 ERJ6ENF8202 M 82KOHM, 1/10W 1 R16824 ERJ6ENF3302 M 33KOHM, 1/10W 1 R16825 ERJT06J154V M 150KOHM,F,0.25W 1 R16826 D0GD103JA036 M 10KOHM,J,0.25W 1 R16827 D0GDR00Z0002 M 0 OHM, 1/10W 1 R16838 ERJ14YJ563U M 56KOHM, 1/2W 1 R16841 ERJ14YJ563U M 56KOHM, 1/2W 1 R16844 ERJ6ENF1241 M1.24KOHM, 1/10W 1 R16845 ERJ6ENF6202 M 62KOHM, 1/10W 1 R16846 ERJ6ENF6042 M60.4KOHM, 1/10W 1 R16850 ERJ6GEYJ472V M 4.7K OHM J 1/10W 1 R16851 ERJ6GEYJ104V M 100KOHM,J,1/10W 1 R16852 D0GD103JA036 M 10KOHM,J,0.25W 1 R16855 ERG1FJS103D M 10KOHM, J, 1W 1 R16856 ERQ12AJW560E F 56 OHM, J,1/2W 1 R16857 ERJ12YJ124U M 120KOHM, 1/2W 1 R16858 ERJ6ENF1001 M 1KOHM, 1/10W 1 R16860 D0D28R2JA021 M 8.2 OHM,J,2W 1 R16870 ERG2FJS333D M 33KOHM, J, 2W 1 R16871 ERJ6GEYG392 M 3.9KOHM,J,1/10W 1 R16872 ERJ6GEYJ332V M 3.3K OHM J 1/10W 1 R16873 ERJ6ENF2491 M2.49KOHM, 1/10W 1 R16874 ERJ6ENF7322 M73.2KOHM, 1/10W 1 R16875 ERJ6ENF7152 M71.5KOHM, 1/10W 1 R16886 ERJ6GEYJ224 M 220KOHM,J,1/10W 1 R16887 ERJ6GEYJ224 M 220KOHM,J,1/10W 1 R16888 ERJ6GEYJ224 M 220KOHM,J,1/10W 1 R17111 EXB38V471J 电阻阵列 1 R17112 EXB38V471J 电阻阵列 1 R17116 D0GZ6R8JA020 M 6.8 OHM,J, 0.5W 1 R17117 D0GZ6R8JA020 M 6.8 OHM,J, 0.5W 1 R17121 EXB38V471J 电阻阵列 1 R17122 EXB38V471J 电阻阵列 1 R17126 D0GZ6R8JA020 M 6.8 OHM,J, 0.5W 1 R17127 D0GZ6R8JA020 M 6.8 OHM,J, 0.5W 1 R17131 EXB38V471J 电阻阵列 1 R17132 EXB38V561J 电阻阵列 1 PPDS R17136 D0GZ6R8JA020 M 6.8 OHM,J, 0.5W 1 R17137 D0GZ6R8JA020 M 6.8 OHM,J, 0.5W 1 R17141 EXB38V471J 电阻阵列 1 R17142 EXB38V471J 电阻阵列 1 R17146 D0GZ6R8JA020 M 6.8 OHM,J, 0.5W 1 R17147 D0GZ6R8JA020 M 6.8 OHM,J, 0.5W 1 R17151 EXB38V471J 电阻阵列 1 R17152 EXB38V471J 电阻阵列 1 R17156 D0GZ6R8JA020 M 6.8 OHM,J, 0.5W 1 R17157 D0GZ6R8JA020 M 6.8 OHM,J, 0.5W 1 安全 标记 参考号 部品号 部品名称 & 说明 件数 备注 R17161 D0GDR00Z0002 M 0 OHM, 1/10W 1 R17162 EXB38V220JV 电阻阵列 1 R17163 EXB38V220JV 电阻阵列 1 R17164 EXB38V102J 电阻阵列 1 R17165 EXB38V220JV 电阻阵列 1 R17166 EXB38V470J 电阻阵列 1 R17167 EXB38V102J 电阻阵列 1 R17170 D0GB102JA041 M 1KOHM,J,1/16W 1 R17171 ERJ3GEYJ470 M 47 OHM,J,1/16W 1 R17172 ERJ3GEYJ470 M 47 OHM,J,1/16W 1 R17191 D0GF472JA047 M 4.7KOHM,J, 0.33W 1 R17211 EXB38V471J 电阻阵列 1 R17212 EXB38V471J 电阻阵列 1 R17216 D0GZ6R8JA020 M 6.8 OHM,J, 0.5W 1 R17217 D0GZ6R8JA020 M 6.8 OHM,J, 0.5W 1 R17221 EXB38V471J 电阻阵列 1 R17222 EXB38V471J 电阻阵列 1 R17226 D0GZ6R8JA020 M 6.8 OHM,J, 0.5W 1 R17227 D0GZ6R8JA020 M 6.8 OHM,J, 0.5W 1 R17231 EXB38V471J 电阻阵列 1 R17232 EXB38V471J 电阻阵列 1 R17236 D0GZ6R8JA020 M 6.8 OHM,J, 0.5W 1 R17237 D0GZ6R8JA020 M 6.8 OHM,J, 0.5W 1 R17261 D0GDR00Z0002 M 0 OHM, 1/10W 1 R17262 EXB38V470J 电阻阵列 1 R17263 EXB38V470J 电阻阵列 1 R17264 EXB38V102J 电阻阵列 1 R17265 EXB38V470J 电阻阵列 1 R17266 EXB38V470J 电阻阵列 1 R17267 EXB38V222J 电阻阵列 1 R17268 ERJ3GEYJ222 M 2.2KOHM,J,1/16W 1 R17271 EXB38V470J 电阻阵列 1 R17272 EXB38V470J 电阻阵列 1 R17273 EXB38V222J 电阻阵列 1 R17274 EXB38V222J 电阻阵列 1 R17275 D0GDR00Z0002 M 0 OHM, 1/10W 1 R17316 D0GZ6R8JA020 M 6.8 OHM,J, 0.5W 1 R17317 D0GZ6R8JA020 M 6.8 OHM,J, 0.5W 1 R17326 D0GZ6R8JA020 M 6.8 OHM,J, 0.5W 1 R17327 D0GZ6R8JA020 M 6.8 OHM,J, 0.5W 1 R17336 D0GZ6R8JA020 M 6.8 OHM,J, 0.5W 1 R17337 D0GZ6R8JA020 M 6.8 OHM,J, 0.5W 1 R17361 D0GDR00Z0002 M 0 OHM, 1/10W 1 R17362 ERJ6GEYJ102V M 1K OHM J 1/10W 1 R17363 EXB38V220JV 电阻阵列 1 R17364 EXB38V220JV 电阻阵列 1 R17365 ERJ3GEYJ470 M 47 OHM,J,1/16W 1 R17366 ERJ3GEYJ470 M 47 OHM,J,1/16W 1 R17367 EXB38V102J 电阻阵列 1 R17368 EXB38V470J 电阻阵列 1 R17369 EXB38V470J 电阻阵列 1 R17371 EXB38V471J 电阻阵列 1 R17372 EXB38V471J 电阻阵列 1 R17373 EXB38V470J 电阻阵列 1 R17374 EXB38V470J 电阻阵列 1 R17375 EXB38V471J 电阻阵列 1 R17376 EXB38V471J 电阻阵列 1 R17377 EXB38V470J 电阻阵列 1 R17378 EXB38V470J 电阻阵列 1 R17379 EXB38V471J 电阻阵列 1 R17380 EXB38V471J 电阻阵列 1 R17390 ERJ6GEYJ224 M 220KOHM,J,1/10W 1 R17391 D0GF472JA047 M 4.7KOHM,J, 0.33W 1 RM001 PNA4701M05TV 远程接收器 1 S34 K1KA03AA0193 3P 连接接头 1 SC2 K1KA02A00676 2P 连接接头 1 安全 标记 参考号 部品号 部品名称 & 说明 件数 备注 126 SC20 K1MN30BA0255 30P 连接接头 1 SC30 K1KA08AA0190 8P 连接接头 1 SC41 K1KA23AA0733 23P 连接接头 1 SC42 K1KA23AA0733 23P 连接接头 1 SC46 K1KA09A00239 9P 连接接头 1 SCMM1 TMME047 线夹 1 SD1 K1MN96BA0260 96P 连接接头 1 SD2 K1MN96BA0260 96P 连接接头 1 SD3 K1MN96BA0260 96P 连接接头 1 SD4 K1MN96BA0260 96P 连接接头 1 SD11 K1MN20BA0231 20P 连接接头 1 SD42 K1KB23AA0234 23P 连接接头 1 SD46 K1KY09AA0607 9P 连接接头 1 SS02 K1KB07AA0087 7P 连接接头 1 SS03 K1KB07AA0087 7P 连接接头 1 SS11 K1KA02A00676 2P 连接接头 1 SS12 K1KA10AA0194 10P 连接接头 1 SS21 K1KA07A00170 7P 连接接头 1 SS22 K1KA07A00170 7P 连接接头 1 SS23 K1KA12AA0194 12P 连接接头 1 SS34 K1KA03AA0193 3P 连接接头 1 SS52 K1MN13B00091 13P 连接接头 1 SS54 K1MN13B00091 13P 连接接头 1 SS55 K1MN13B00091 13P 连接接头 1 SS57 K1MN13B00091 13P 连接接头 1 SSMM2 TMM17434-2 线夹 1 SSMM3 TMM7464-2 线夹 1 SSMM4 TMM7464-2 线夹 1 SU1 K1MN96BA0260 96P 连接接头 1 SU2 K1MN96BA0260 96P 连接接头 1 SU3 K1MN96BA0260 96P 连接接头 1 SU4 K1MN96BA0260 96P 连接接头 1 SU11 K1MN20BA0266 20P 连接接头 1 SU41 K1KB23AA0234 23P 连接接头 1 SW061 K0F162B00002 开关 1 SW1550 EVQPLHA15 开关 1 SW1551 EVQPLHA15 开关 1 SW1552 EVQPLHA15 开关 1 SW1553 EVQPLHA15 开关 1 SW1554 EVQPLHA15 开关 1 T16301A ETS19AB249AC 转接变压器 1 V2 K1KA06BA0047 6P 连接接头 1 V15 K1KA03BA0047 3P 连接接头 1 VR16000 EVMEASA00B54 控制 50KOHMB 0.3W 1 VR16600 EVMEASA00B54 控制 50KOHMB 0.3W 1 VR16602 EVMEASA00B33 控制 3KOHMB 0.3W 1 X2301 H0J184500026 晶体 1 X3301 H1A2705B0032 晶体 1 X4501 H0J360500017 晶体 1 X4502 H0J200500076 晶体 1 X8181 H0J327200114 晶体 1 X9000 H2D100500004 晶体 1 X9900 H0J200500076 晶体 1 ZA3001 K4CD01000011 AV 端子 1 ZA3001 K4ZZ01000206 端子 1 ZA3002 K4CD01000011 AV 端子 1 ZA3003 K4CD01000013 AV 端子 1 ZA3004 K4CD01000013 AV 端子 1 安全 标记 参考号 部品号 部品名称 & 说明 件数 备注 ZA3005 K4CD01000013 AV 端子 1 ZA3006 K4CD01000013 AV 端子 1 ZA3007 K4CD01000013 AV 端子 1 ZA3008 K4CD01000011 AV 端子 1 ZA3009 K4CD01000011 AV 端子 1 ZA4001 K4CD01000011 AV 端子 1 ZA4002 K4CD01000011 AV 端子 1 ZA9001 K4CD01000011 AV 端子 1 ZA14901 K4AD01Z00003 端子 1 ZA14902 K4AD01Z00003 端子 1 ZA14951 K4AD01Z00003 端子 1 ZA14952 K4AD01Z00003 端子 1 ZA16001 K4CD01000011 AV 端子 1 ZA16002 K4CD01000011 AV 端子 1 ZA16003 K4CD01000011 AV 端子 1 ZA16401 K4CD01000011 AV 端子 1 ZA16402 K4CD01000011 AV 端子 1 ZA16403 K4CD01000011 AV 端子 1 ZA17101 K4AD01Z00001 端子 1 ZA17102 K4AD01Z00001 端子 1 ZA17103 K4AD01Z00001 端子 1 ZA17104 K4AD01Z00001 端子 1 ZA17105 K4AD01Z00001 端子 1 ZA17106 K4AD01Z00001 端子 1 ZA17201 K4AD01Z00001 端子 1 ZA17202 K4AD01Z00001 端子 1 ZA17203 K4AD01Z00001 端子 1 ZA17204 K4AD01Z00001 端子 1 ZA17301 K4AD01Z00001 端子 1 ZA17302 K4AD01Z00001 端子 1 ZA17303 K4AD01Z00001 端子 1 ZA17304 K4AD01Z00001 端子 1 安全 标记 参考号 部品号 部品名称 & 说明 件数 备注 127 重要安全提示 ��������� � ���������������������� � ������������������������� ������������PPDS������PPDS���������PAVC-CSG��� 128 14.2. 零件位置和机械部件更换清单 129 130 131 132 133 机械部件更换清单 FLE20080600002 安全 标记 参考号 部品号 部品名称 & 说明 件数 备注 1 K2CK3DH00028 AC 电源线 1 2 L6FAYYYH0050 风扇 (80MM) 2 3 MD-50GH11E1 50HD11 PDP 屏 1 N0AE6JL00002 P 线路板 1 4 N2QAYB000277 遥控器 1 R6PND/2SP PANASONIC 干电池 (中 文) 2 5 TBMA227 PANASONIC 标牌 1 TBXA52203 操作开关 1 6 TBXA54001 电源按钮 1 7 TESD031 电源开关弹簧 1 8 TKGA5437-1 前面玻璃 1 9 TKKC5286 LED 屏 1 10 TKKC5287 遥控器受光屏 1 11 TKKL5273-1 插槽盖 2 12 TKRA66301 后盖把手 2 13 TKUX15801 后盖 1 14 TKYA35501 面框 1 15 TMKG608 海绵 (面框 上下) 2 16 TMKG610 海绵 (面框 左右) 2 17 TMKG717 海绵 (风扇) 2 TMKG669 TMKG789 海绵 (D20-SC20) 1 18 TMME203 扎带 1 19 TMME226 AC 电源线夹 1 20 TMMX153 M8 垫片 4 21 TMMX183 电源线夹 B 1 22 TMWC022 电源按钮托架 1 TPCC02006 包装箱本体 1 TPCC02101 包装箱底部 1 TPDA1601-1 顶面缓冲材 1 TPDA1602-2 底面缓冲材 1 TPDF0764-1 附属品盒 (ROHS) 1 TPDF1935 顶盖 1 TPDX0035 箱扣 (ROHS) 4 TPEH343 顶面保护片 (ROHS) 4 TPEH344 整机保护袋 (ROHS) 1 TQZF163 保修证 1 23 TQZK109-1 说明书 1 24 TSXL518 FFC(C22-C23) 1 25 TSXL519 FFC(C10-C20/SU11- SD11) 2 26 TSXL562 FFC(D31-C11) 1 TSXL513 27 TSXL600 FFC(D32-C21) 1 28 TSXL632 FFC(DS1-DN1/DS3-DN2) 2 29 TSXL656 FFC(D20-SC20) 1 30 TXALK01VETC AC 接入口组件 1 TXAUW01XLTC H3 线路板 (L) 1 TXAUW01ZMTC H3 线路板 (R) 1 TXAUW02VBTC 插槽块组件 1 31 TXFMZ010VET 台座安装块 2 TXJ/P2RQTU 线束 (SC2-P2) 1 TXJ/V20VET 线束 (DS2-V2) 1 TXJD250VET 线束 (D25-P25) 1 TXJDN50VBT 线束 (DN6-D5) 1 TXJDS4VETU 线束 (DS4-P7) 1 TXJDS6VETU 线束 (DS6-P6) 1 TXJFA1VETU 线束 (DN-FAN) 1 TXJFA2VETU 线束 (DN-FAN) 1 TXJHX1VBTU 线束 (DS14-HX1) 1 TXJP11RQTU 线束 (P11-SS11) 1 TXJP12RQTU 线束 (P12-SS12) 1 TXJS23RQTU 线束 (SS23-C33) 1 TXJS340XDT 线束 (SS34-S34) 1 TXJSPLVETU 线束 (DS8-H37) 1 TXJSPRVETU 线束 (DS7-H37) 1 TXJV150VET 线束 (DS15-V15) 1 TXN/D1VETC D 线路板 1 TXNC11RQTC C1 线路板 1 TXNC21RQTC C2 线路板 1 TXNC31RQTC C3 线路板 1 TXNDN2VETC DN 线路板 1 TXNHU1VBTC HU 线路板 1 TXNS11VBTC S1 线路板 1 TXNSC1RQTC SC 线路板 1 TXNSD1RQTC SD 线路板 1 TXNSS1RQTC SS 线路板 1 TXNSS21RQTC SS2 线路板 1 TXNSS31RQTC SS3 线路板 1 TXNSU1RQTC SU 线路板 1 TXNV11VBTC V1 线路板 1 TXNV21VBTC V2 线路板 1 安全 标记 参考号 部品号 部品名称 & 说明 件数 备注

标签:

版权声明

1. 本站所有素材,仅限学习交流,仅展示部分内容,如需查看完整内容,请下载原文件。
2. 会员在本站下载的所有素材,只拥有使用权,著作权归原作者所有。
3. 所有素材,未经合法授权,请勿用于商业用途,会员不得以任何形式发布、传播、复制、转售该素材,否则一律封号处理。
4. 如果素材损害你的权益请联系客服QQ:77594475 处理。